Abstract
In order to fulfil the environmental goals set for the coming years, industrial companies are motivated to look for clean technologies and green solutions. Replacing common fuels in the transport sector can also contribute to the reduction of emissions. In this work, we focus on four alternative fuels. The main raw materials are hydrogen together with carbon dioxide or used cooking oil. We analysed seven technologies for low-emission hydrogen production. However, in such types of production, there are often problems with combining the environmental side with the economic one because they are usually in conflict. The solution can be found using multi-criteria decision analysis (MCDA). Individual fuels were compared, as well as hydrogen production processes, using three criteria: minimum selling price, carbon footprint, and maturity of technology, in order to find the most suitable alternative. The main advantage of our MCDA approach is the objectivity of the final ranking. On the other hand, the complexity of this method also provides the possibility of the subjective choice of criteria preferences, which allows each decision maker to focus on their target of interest. Data-driven decision making also provides an opportunity to incorporate sensitivity analysis into our study.
1. Introduction
Trends across the last three decades show an increase in the production of greenhouse gas (GHG) emissions by more than 25% [1]. A visible decrease was caused by the COVID-19 pandemic, which testifies to the need for human intervention in several of the current directions of our ways of life and industrial production. European Union statistics show the main contributors to the production of GHG emissions as being the energy sector (industry and the final energy consumers) and transport. These sectors represent more than three quarters of emissions production [2,3]. The transport sector affects us as individuals (daily travel by cars or buses) but also as consumers (transport of products). Since it is expected that the transportation demands will increase in the future, it is necessary to look for alternative solutions in this direction and to replace commonly used fuels with environmental low-emission substitutes.
2. Materials and Method
2.1. Alternatives
Four alternative fuels were evaluated by principle of multi-criteria analysis: e-methanol, e-methane, hydrotreated vegetable oil (HVO) and sustainable aviation fuel (SAF). The first three fuels can be used as a substitute for common fuel in cars or trucks, and SAF is used in aviation.
One of the raw materials used for the production of these products is hydrogen, which is produced in a low-emission way in order to reduce the environmental footprint of the whole process. Three technologies based on electrolysis were used. The other four types of production represented different types of biogas or biomethane reforming. While using the reforming method, it is necessary to ensure that the raw feedstock has a negative carbon footprint. Possible feedstocks for biogas and biomethane production are, for example, manure or sludge waste [4]. Electrolysis uses green electricity (with zero carbon footprint) and other production steps together with reforming alternatives such as grid electricity. Individual production technologies differ in operating conditions (e.g., temperature, pressure) and type of process, which allowed us to create seven representative production alternatives. Table 1 summarizes the characterization of nomenclature of individual hydrogen production alternatives that were evaluated in the study.
Table 1.
Characterization of hydrogen production alternatives.
Another positive of the production of these fuels is the need for carbon dioxide (production of e-methanol and e-methane) and used cooking oil (production of SAF and HVO) as a second feedstock. The implementation of these fuels may help to solve the issue of waste management or reduce the amount of CO2 emissions.
2.2. Criteria
Three criteria were used to compare alternative hydrogen production techniques as well as fuels. We first characterized the economic side of the entire production by means of the minimum selling price of the product (MSP). The second criterion describes the environmental aspect of the process. Carbon footprint (CO2,eq) was quantified and included in all production steps. The last criterion characterizes the maturity of hydrogen production technology (TRL). TRL is a number from 1 to 9, where 9 represents the most developed process implemented in practice and 1 is basic research and ideas [5].
3. Results
Whole calculation algorithm together with the graphical user interface was created in the Matlab environment. The calculation process can be divided into two parts that communicate with each other—technology characterization and multi-criteria evaluation. In the second part, quantified criteria were evaluated using a multi-criteria decision analysis (MCDA) algorithm; specifically, the analytical hierarchy process (AHP) was used [6,7]. Firstly, all consistent combinations of the individual criteria’s importance were found. The number of combinations is influenced by the number of criteria, and therefore, in this case, (three criteria) 139 combinations of importance were found. For the objective assessment, all combinations were used (same and different weights of individual criterion), the number of which was reduced when a preference for a specific criterion (the highest weight) was defined.
From the hydrogen production methods presented, the best alternative was found with MCDA for a specifically defined alternative fuel production. Since there were 139 rankings, for a general overview, the percentage score map of the alternatives shown in Figure 1a was used. Individual cells in the figure represent how often the alternative was placed in a specific rank, while the darker colour characterizes more frequent placements. For a clear description of the final ranking, the term of average position of alternative was included in the calculations, which is represented by a weighted average of the rankings of the alternatives (weights are percentage placement of alternative). In this way, as shown in Figure 1b, alternatives were compared by objective evaluation with the defined importance of one criterion. The result of including subjective importance in the evaluation process is the reduction of possible combinations; in this case, there were 42 consistent combinations. The definition of the importance of a specific criterion makes sense if the decision maker wants to influence the results with their own criteria preference. One example can be TRL, by which technologies with the shortest possible time to implemented into practice can be prioritized.
Figure 1.
Percentage score map of alternatives with all possible criteria for importance (a) and success rate of alternative of alternatives with all possible criteria importance (blue) and individual preference—MSP (orange), CO2,eq (gray) and TRL (yellow) (b) (e-methanol production).
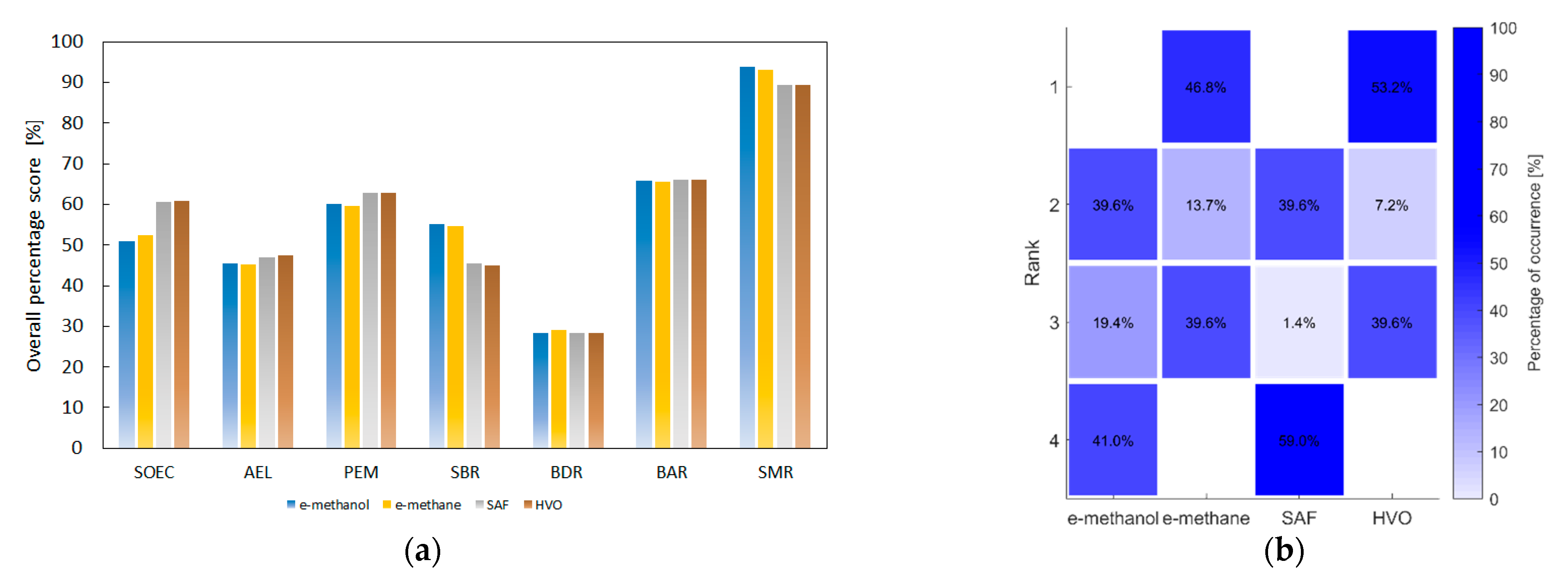
After the comparison of individual hydrogen production technologies, a significant part of our research was also the comparison of individual fuels with each other. However, for this comparison, it was necessary to choose a specific hydrogen production technology. The most suitable alternative was selected based on the weighted average of the alternatives for a specific alternative fuel (Figure 2a). With such a visualization, we can see the order of alternatives, but only pertaining to the specific production of an alternative fuel, not in the ranking between fuels. A percentage score map was also used (Figure 2b) to evaluate the fuels and look for the most optimal fuel while maintaining the three criteria.
Figure 2.
Success rate of alternative of alternatives (a) for e-methanol (blue), e-methane (yellow), SAF (gray) and HVO (brown) production and percentage score map for alternative fuels (b) (SMR as hydrogen production technology).
MCDA is a complex tool allowing for sensitivity analysis in the case of changing parameters and monitoring their effect on the result. In this work, several parameters were monitored but three of them had the biggest impact, as shown in Figure 3. The individual price parameter was increased or decreased in 50% of cases.
Figure 3.
Success rate of alternative as a function of decrease and increase in price of natural gas (dotted), electricity (solid) and emission allowances (dashed).
4. Discussions
From the basic assessment, SMR is the most suitable alternative for the production of low-emission H2 considering the three criteria we monitored. Out of all 139 combinations of importance, this alternative was always ranked in the first two positions. When defining individual preference, the environmental factor prefers the BAR alternative. The main reason for this is the high consumption of raw biogas, which has a negative carbon footprint. From an economic point of view, SOEC is a suitable alternative, but the low TRL compared to other electrolysis processes does not make it attractive in short-term application. Although Figure 1 only characterized the production of e-methanol, a similar trend in the dominance of SMR was also observed for the other alternative fuels. If SMR is chosen as a H2 production technology, alternative fuels can be compared with each other again using the presented criteria. In this case, the significant dominance of a specific fuel is no longer visible. HVO took the first place in more than 50% of cases, but its placement in the penultimate place in almost 40% is also negative. The production of e-methane is competitive, but in the case of hydrogen production from biomethane, it makes no sense since the main raw material could be used as a final fuel.
During the sensitivity analysis, a 50% increase/decrease in the price parameter was observed as a result of market instability and readiness for the future. Of the three presented parameters, the biggest impact is visible in the change in electricity, which has a positive effect on the placement of electrolysis technologies. The most positive impact was simulated for the AEL alternative, due to the greatest consumption of electrical energy for the operation of the electrolyser. However, the fluctuations in emission allowances prices also affect the final ranking, mainly the positions of the SOEC and SBR alternatives. The influence of natural gas is minimal, but the prices of emission allowances can influence the ranking in favour of biogas alternatives. The reason is the characteristic of the raw material price calculation, which is influenced by the price of the emission allowance.
5. Conclusions
The application of a multi-criteria evaluation proved to be a suitable and very complex method for comparing alternatives. In this work, we used it in several applications, either to find a suitable alternative for the production of hydrogen, an alternative fuel, or as a tool for performing a sensitivity analysis. Of the presented technologies, under the current conditions, steam reforming of biomethane appeared to be the best alternative for all the criteria. With this technology, however, the amount of available raw material with a negative carbon footprint is questionable.
When changing the parameters of utility prices, the change in the price of electricity turned out to be the one with the strongest impact. If the price of electricity were to decrease, it would most positively affect the electrolysis alternatives in the resulting order. Alkaline electrolysis would become the most competitive technique, and with a 50% reduction in the price of electricity, thus it would be the most suitable for the production of low-emission hydrogen.
The other side of MCDA flexibility was shown in several aspects of the assessment. We were able to find the most suitable alternative for hydrogen production, but on the other hand, with a defined hydrogen production technology, we were also able to compare alternative fuels with each other. Given the current conditions, the production of hydrogen using SMR seems to be the most advantageous technique to concentrate on the production of HVO. This practical example showed the possibility of using MCDA on an industrial scale, but its flexibility allows its application in other industrial and non-industrials sectors as well.
Author Contributions
Conceptualization, D.K. and J.J.; methodology, D.K. and J.J.; software, D.K.; formal analysis, J.J.; investigation, D.K.; resources, M.V.; data curation, D.K.; writing—original draft preparation, D.K.; writing—review and editing, J.J. and M.V.; visualization, D.K.; supervision, J.J. and M.V.; funding acquisition, M.V. All authors have read and agreed to the published version of the manuscript.
Funding
This work was financially supported by the Slovak Research and Development Agency, Grant No. APVV-18-0134 and VEGA 1/0511/21.
Institutional Review Board Statement
Not applicable.
Informed Consent Statement
Not applicable.
Data Availability Statement
All data obtained by calculations are presented in the contribution.
Conflicts of Interest
The authors declare no conflicts of interest. The funders had no role in the design of the study; in the collection, analyses, or interpretation of data; in the writing of the manuscript; or in the decision to publish the results.
References
- Statista. Available online: https://www.statista.com/statistics/1171183/ghg-emissions-sector-european-union-eu/ (accessed on 23 August 2023).
- Eurostat. Available online: https://ec.europa.eu/eurostat/databrowser/view/ENV_AIR_GGE__custom_1879636/bookmark/table?lang=en&bookmarkId=2d3318b0-d19f-4bff-aeb6-626957c1d017 (accessed on 23 August 2023).
- European Environment Agency. Transportation and Environment Report 2021, 1st ed.; Publications Office of the European Union: Luxembourg, 2022; p. 87. [Google Scholar] [CrossRef]
- Official Journal of the European Union. Available online: https://eur-lex.europa.eu/legalcontent/SK/TXT/HTML/?uri=CELEX:32018L2001#d1e32-172-1 (accessed on 20 August 2023).
- Strata. Available online: https://www.strata.team/what-trl-and-brl-is-needed-for-the-eic-accelerator-what-abouteurostars/ (accessed on 20 August 2023).
- Janošovský, J.; Boháčiková, V.; Kraviarová, D.; Variny, M. Multi-criteria decision analysis of steam reforming for hydrogen production. Energy Convers. Manag. 2022, 263, 115722. [Google Scholar] [CrossRef]
- Pirdashti, M.; Ghadi, A.; Mohammadi, M.; Shojatalab, G. Multi-Criteria Decision-Making Selection Model with Application to Chemical Engineering Management Decision. Int. J. Chem. Mol. Eng. 2009, 31, 54–59. [Google Scholar]
Disclaimer/Publisher’s Note: The statements, opinions and data contained in all publications are solely those of the individual author(s) and contributor(s) and not of MDPI and/or the editor(s). MDPI and/or the editor(s) disclaim responsibility for any injury to people or property resulting from any ideas, methods, instructions or products referred to in the content. |
© 2024 by the authors. Licensee MDPI, Basel, Switzerland. This article is an open access article distributed under the terms and conditions of the Creative Commons Attribution (CC BY) license (https://creativecommons.org/licenses/by/4.0/).


