A High-Precision Robotic System Design for Microsurgical Applications †
Abstract
:1. Introduction
2. Materials and Methods
2.1. Geometrical Structure Design
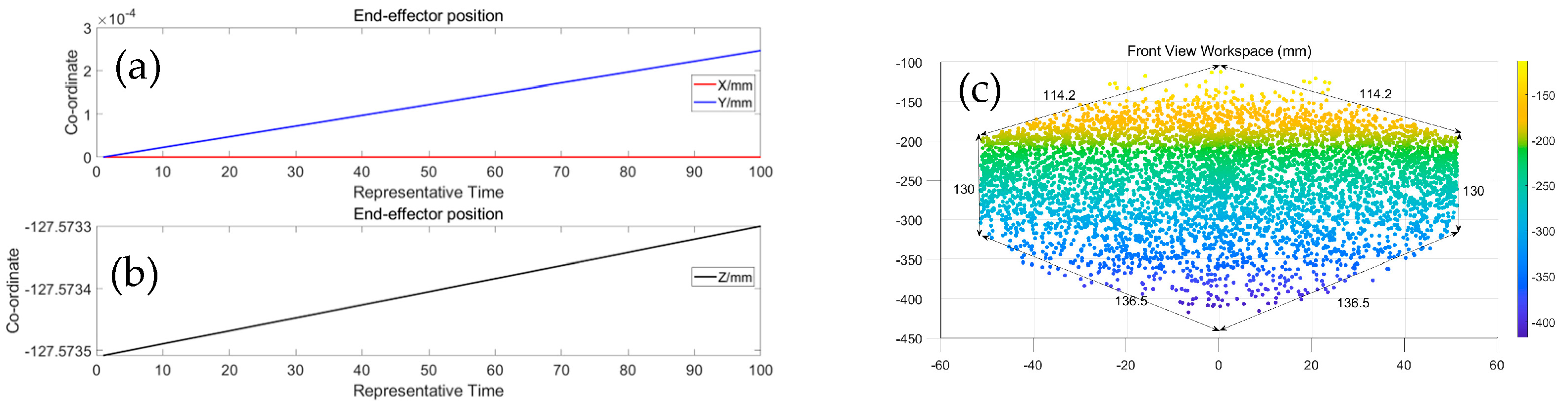
2.2. Kinematic Simulation
3. Results and Discussion
Robot Proof-of-Concept Trajectory Testing
4. Conclusions
Author Contributions
Funding
Institutional Review Board Statement
Informed Consent Statement
Data Availability Statement
Acknowledgments
Conflicts of Interest
References
- Morrell, A.L.G.; Morrell-Junior, A.C.; Morrell, A.G.; Mendes, J.; Freitas, M.; Tustumi, F.; Morrell, A. The History of Robotic Surgery and Its Evolution: When Illusion Becomes Reality. Rev. Colégio Bras. Cir. 2021, 48, e20202798. [Google Scholar] [CrossRef] [PubMed]
- Diana, M.; Marescaux, J. Robotic Surgery. Br. J. Surg. 2015, 102, e15–e28. [Google Scholar] [CrossRef] [PubMed]
- Bhandari, M.; Zeffiro, T.; Reddiboina, M. Artificial Intelligence and Robotic Surgery: Current Perspective and Future Directions. Curr. Opin. Urol. 2020, 30, 48–54. [Google Scholar] [CrossRef] [PubMed]
- Brodie, A.; Vasdev, N. The Future of Robotic Surgery. Ann. R. Coll. Surg. Engl. 2018, 100 (Suppl. 7), 4–13. [Google Scholar] [CrossRef] [PubMed]
- Lai, C.S.; Lu, C.T.; Liu, S.A.; Tsai, Y.C.; Chen, Y.W.; Chen, I.C. Robot-Assisted Microvascular Anastomosis in Head and Neck Free Flap Reconstruction: Preliminary Experiences and Results. Microsurgery 2019, 39, 715–720. [Google Scholar] [CrossRef] [PubMed]
- van Mulken, T.J.; Schols, R.M.; Scharmga, A.M.; Winkens, B.; Cau, R.; Schoenmakers, F.B.; Qiu, S.S.; van der Hulst, R.R.; MicroSurgical Robot Research Group. First-in-Human Robotic Supermicrosurgery Using a Dedicated Microsurgical Robot for Treating Breast Cancer-Related Lymphedema: A Randomized Pilot Trial. Nat. Commun. 2020, 11, 757. [Google Scholar] [CrossRef] [PubMed]
- Yang, U.J.; Kim, D.; Hwang, M.; Kong, D.; Kim, J.; Nho, Y.H.; Lee, W.; Kwon, D.S. A Novel Microsurgery Robot Mechanism with Mechanical Motion Scalability for Intraocular and Reconstructive Surgery. Int. J. Med. Robot. 2021, 17, e2240. [Google Scholar] [CrossRef] [PubMed]
- Savastano, A.; Rizzo, S. A Novel Microsurgical Robot: Preliminary Feasibility Test in Ophthalmic Field. Transl. Vis. Sci. Technol. 2022, 11, 13. [Google Scholar] [CrossRef] [PubMed]
- Aitzetmüller, M.M.; Klietz, M.-L.; Dermietzel, A.F.; Hirsch, T.; Kückelhaus, M. Robotic-Assisted Microsurgery and Its Future in Plastic Surgery. J. Clin. Med. 2022, 11, 3378. [Google Scholar] [CrossRef] [PubMed]
- Usca, A.; Gabriela, R.U.S.; Birlescu, I.; Vaida, C.; Pisla, A.; Schonstein, C.; Gherman, B.; Tucan, P.; Pisla, D. Workspace Analysis of Two Innovative Parallel Robots for Single Incision Laparoscopic Surgery. Acta Tech. Napoc.-Ser. Appl. Math. Mech. Eng. 2022, 65, 25. [Google Scholar]
- Huang, X.Y.; Rendon-Morales, E.; Aviles-Espinosa, R. Towards Cellular Level Microsurgery: Design and Testing of a High Precision Delta Robot for Medical Applications. In Proceedings of the Hamlyn Symposium on Medical Robotics 2023, Royal Geographical Society, London, UK, 26–29 June 2023. [Google Scholar]




| No. | Resolution [μm] | Angle Error [°] | Trajectory Error [μm] |
|---|---|---|---|
| Zigzag 1 | 3.17 ± 0.03 | −2.52 ± 0.85 | 9.59 ± 0.91 |
| Zigzag 2 | 3.08 ± 0.04 | −2.30 ± 0.25 | 3.47 ± 0.65 |
| Zigzag 3 | 2.94 ± 0.02 | −3.28 ± 0.53 | 3.85 ± 0.34 |
| Average | 3.06 ± 0.03 | 2.7 ± 0.54 | 5.64 ± 0.63 |
Disclaimer/Publisher’s Note: The statements, opinions and data contained in all publications are solely those of the individual author(s) and contributor(s) and not of MDPI and/or the editor(s). MDPI and/or the editor(s) disclaim responsibility for any injury to people or property resulting from any ideas, methods, instructions or products referred to in the content. |
© 2023 by the authors. Licensee MDPI, Basel, Switzerland. This article is an open access article distributed under the terms and conditions of the Creative Commons Attribution (CC BY) license (https://creativecommons.org/licenses/by/4.0/).
Share and Cite
Huang, X.; Rendon-Morales, E.; Aviles-Espinosa, R. A High-Precision Robotic System Design for Microsurgical Applications. Eng. Proc. 2023, 58, 66. https://doi.org/10.3390/ecsa-10-16221
Huang X, Rendon-Morales E, Aviles-Espinosa R. A High-Precision Robotic System Design for Microsurgical Applications. Engineering Proceedings. 2023; 58(1):66. https://doi.org/10.3390/ecsa-10-16221
Chicago/Turabian StyleHuang, Xiaoyu, Elizabeth Rendon-Morales, and Rodrigo Aviles-Espinosa. 2023. "A High-Precision Robotic System Design for Microsurgical Applications" Engineering Proceedings 58, no. 1: 66. https://doi.org/10.3390/ecsa-10-16221
APA StyleHuang, X., Rendon-Morales, E., & Aviles-Espinosa, R. (2023). A High-Precision Robotic System Design for Microsurgical Applications. Engineering Proceedings, 58(1), 66. https://doi.org/10.3390/ecsa-10-16221

