A Parsimonious Yet Robust Regression Model for Predicting Limited Structural Responses of Remote Sensing †
Abstract
:1. Introduction
2. Supervised Artificial Neural Network for Regression
2.1. Network Configuration
2.2. Model Tuning via Bayesian Hyperparameter Optimization
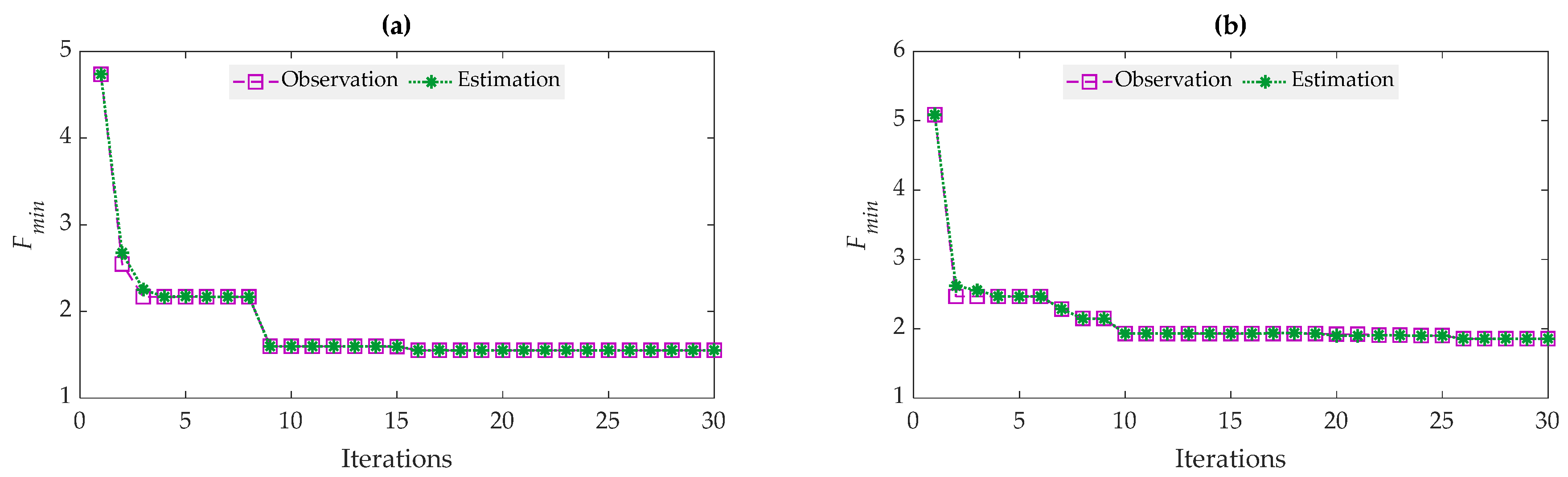
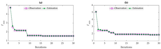
3. Method Performance Evaluation for a Steel Arch Bridge
4. Conclusions
Author Contributions
Funding
Institutional Review Board Statement
Informed Consent Statement
Data Availability Statement
Conflicts of Interest
References
- Limongelli, M.P.; Gentile, C.; Biondini, F.; di Prisco, M.; Ballio, F.; Zonno, G.; Borlenghi, P.; Bianchi, S.; Capacci, L.; Anghileri, M.; et al. Bridge structural monitoring: The Lombardia regional guidelines. Struct. Infrastruct. Eng. 2022, 1–24. [Google Scholar] [CrossRef]
- Entezami, A.; Sarmadi, H.; Behkamal, B. Long-term health monitoring of concrete and steel bridges under large and missing data by unsupervised meta learning. Eng. Struct. 2023, 279, 115616. [Google Scholar] [CrossRef]
- Entezami, A.; Sarmadi, H.; Behkamal, B.; De Michele, C. On continuous health monitoring of bridges under serious environmental variability by an innovative multi-task unsupervised learning method. Struct. Infrastruct. Eng. 2023, 1–19. [Google Scholar] [CrossRef]
- Lan, Y.; Li, Z.; Lin, W. A Time-Domain Signal Processing Algorithm for Data-Driven Drive-by Inspection Methods: An Experimental Study. Materials 2023, 16, 2624. [Google Scholar] [CrossRef] [PubMed]
- Torzoni, M.; Rosafalco, L.; Manzoni, A. A combined model-order reduction and deep learning approach for structural health monitoring under varying operational and environmental conditions. Eng. Proc. 2020, 2, 94. [Google Scholar] [CrossRef]
- Sarmadi, H.; Entezami, A.; Salar, M.; De Michele, C. Bridge health monitoring in environmental variability by new clustering and threshold estimation methods. J. Civ. Struct. Health Monit. 2021, 11, 629–644. [Google Scholar] [CrossRef]
- Soleymani, A.; Jahangir, H.; Nehdi, M.L. Damage detection and monitoring in heritage masonry structures: Systematic review. Constr. Build. Mater. 2023, 397, 132402. [Google Scholar] [CrossRef]
- da Silva, S.; Figueiredo, E.; Moldovan, I. Damage Detection Approach for Bridges under Temperature Effects using Gaussian Process Regression Trained with Hybrid Data. J. Bridge Eng. 2022, 27, 04022107. [Google Scholar] [CrossRef]
- Ardani, S.; Eftekhar Azam, S.; Linzell, D.G. Bridge Health Monitoring Using Proper Orthogonal Decomposition and Transfer Learning. Appl. Sci. 2023, 13, 1935. [Google Scholar] [CrossRef]
- Farrar, C.R.; Worden, K. Structural Health Monitoring: A Machine Learning Perspective; John Wiley & Sons Ltd.: Chichester, UK, 2013. [Google Scholar]
- Entezami, A.; Arslan, A.N.; De Michele, C.; Behkamal, B. Online hybrid learning methods for real-time structural health monitoring using remote sensing and small displacement data. Remote Sens. 2022, 14, 3357. [Google Scholar] [CrossRef]
- Behkamal, B.; Entezami, A.; De Michele, C.; Arslan, A.N. Investigation of temperature effects into long-span bridges via hybrid sensing and supervised regression models. Remote Sens. 2023, 15, 3503. [Google Scholar] [CrossRef]
- Sarmadi, H.; Entezami, A.; Magalhães, F. Unsupervised data normalization for continuous dynamic monitoring by an innovative hybrid feature weighting-selection algorithm and natural nearest neighbor searching. Struct. Health Monit. 2023, 22, 4005–4026. [Google Scholar] [CrossRef]
- Zhang, C.; Mousavi, A.A.; Masri, S.F.; Gholipour, G.; Yan, K.; Li, X. Vibration feature extraction using signal processing techniques for structural health monitoring: A review. Mech. Syst. Sig. Process. 2022, 177, 109175. [Google Scholar] [CrossRef]
- Daneshvar, M.H.; Sarmadi, H.; Yuen, K.-V. A locally unsupervised hybrid learning method for removing environmental effects under different measurement periods. Meas. 2023, 208, 112465. [Google Scholar] [CrossRef]
- Entezami, A.; Sarmadi, H.; Behkamal, B. A novel double-hybrid learning method for modal frequency-based damage assessment of bridge structures under different environmental variation patterns. Mech. Syst. Sig. Process. 2023, 201, 110676. [Google Scholar] [CrossRef]
- Figueiredo, E.; Brownjohn, J. Three decades of statistical pattern recognition paradigm for SHM of bridges. Struct. Health Monit. 2022, 21, 3018–3054. [Google Scholar] [CrossRef]
- Akintunde, E.; Azam, S.E.; Linzell, D.G. Singular value decomposition and unsupervised machine learning for virtual strain sensing: Application to an operational railway bridge. Structures 2023, 58, 105417. [Google Scholar] [CrossRef]
- Lan, Y.; Zhang, Y.; Lin, W. Diagnosis algorithms for indirect bridge health monitoring via an optimized AdaBoost-linear SVM. Eng. Struct. 2023, 275, 115239. [Google Scholar] [CrossRef]
- Biondi, F.; Addabbo, P.; Ullo, S.L.; Clemente, C.; Orlando, D. Perspectives on the Structural Health Monitoring of Bridges by Synthetic Aperture Radar. Remote Sens. 2020, 12, 3852. [Google Scholar] [CrossRef]
- Farneti, E.; Cavalagli, N.; Costantini, M.; Trillo, F.; Minati, F.; Venanzi, I.; Ubertini, F. A method for structural monitoring of multispan bridges using satellite InSAR data with uncertainty quantification and its pre-collapse application to the Albiano-Magra Bridge in Italy. Struct. Health Monit. 2023, 22, 353–371. [Google Scholar] [CrossRef]
- Giordano, P.F.; Turksezer, Z.; Previtali, M.; Limongelli, M.P. Damage detection on a historic iron bridge using satellite DInSAR data. Struct. Health Monit. 2022, 21, 2291–2311. [Google Scholar] [CrossRef]
- Giordano, P.F.; Previtali, M.; Limongelli, M.P. Monitoring of a Metal Bridge Using DInSAR Data. In European Workshop on Structural Health Monitoring; Springer: Cham, Switzerland, 2022. [Google Scholar] [CrossRef]
- Gatti, F.; Rosafalco, L.; Colombera, G.; Mariani, S.; Corigliano, A. Multi-storey shear type buildings under earthquake loading: Adversarial learning-based prediction of the transient dynamics and damage classification. Soil Dyn. Earthquake Eng. 2023, 173, 108141. [Google Scholar] [CrossRef]
- Torzoni, M.; Manzoni, A.; Mariani, S. Structural health monitoring of civil structures: A diagnostic framework powered by deep metric learning. Comput. Struct. 2022, 271, 106858. [Google Scholar] [CrossRef]
- Torzoni, M.; Rosafalco, L.; Manzoni, A.; Mariani, S.; Corigliano, A. SHM under varying environmental conditions: An approach based on model order reduction and deep learning. Comput. Struct. 2022, 266, 106790. [Google Scholar] [CrossRef]
- Hagan, M.T.; Demuth, H.B.; Beale, M.H.; De Jesús, O. Neural Network Design; Martin Hagan: Lexington, KY, USA, 2014. [Google Scholar]
- Yang, L.; Shami, A. On hyperparameter optimization of machine learning algorithms: Theory and practice. Neurocomputing 2020, 415, 295–316. [Google Scholar] [CrossRef]
- Sarmadi, H. Investigation of machine learning methods for structural safety assessment under variability in data: Comparative studies and new approaches. J. Perform. Constr. Facil. 2021, 35, 04021090. [Google Scholar] [CrossRef]
- Qin, X.; Zhang, L.; Yang, M.; Luo, H.; Liao, M.; Ding, X. Mapping surface deformation and thermal dilation of arch bridges by structure-driven multi-temporal DInSAR analysis. Remote Sens. Environ. 2018, 216, 71–90. [Google Scholar] [CrossRef]





| Element | Number of Layers | Neuron Sizes | ||
|---|---|---|---|---|
| 1st Layer | 2nd Layer | 3rd Layer | ||
| Dome | 2 | 3 | 2 | – |
| Span | 3 | 2 | 2 | 3 |
Disclaimer/Publisher’s Note: The statements, opinions and data contained in all publications are solely those of the individual author(s) and contributor(s) and not of MDPI and/or the editor(s). MDPI and/or the editor(s) disclaim responsibility for any injury to people or property resulting from any ideas, methods, instructions or products referred to in the content. |
© 2023 by the authors. Licensee MDPI, Basel, Switzerland. This article is an open access article distributed under the terms and conditions of the Creative Commons Attribution (CC BY) license (https://creativecommons.org/licenses/by/4.0/).
Share and Cite
Entezami, A.; Behkamal, B.; De Michele, C.; Mariani, S. A Parsimonious Yet Robust Regression Model for Predicting Limited Structural Responses of Remote Sensing. Eng. Proc. 2023, 58, 54. https://doi.org/10.3390/ecsa-10-16028
Entezami A, Behkamal B, De Michele C, Mariani S. A Parsimonious Yet Robust Regression Model for Predicting Limited Structural Responses of Remote Sensing. Engineering Proceedings. 2023; 58(1):54. https://doi.org/10.3390/ecsa-10-16028
Chicago/Turabian StyleEntezami, Alireza, Bahareh Behkamal, Carlo De Michele, and Stefano Mariani. 2023. "A Parsimonious Yet Robust Regression Model for Predicting Limited Structural Responses of Remote Sensing" Engineering Proceedings 58, no. 1: 54. https://doi.org/10.3390/ecsa-10-16028
APA StyleEntezami, A., Behkamal, B., De Michele, C., & Mariani, S. (2023). A Parsimonious Yet Robust Regression Model for Predicting Limited Structural Responses of Remote Sensing. Engineering Proceedings, 58(1), 54. https://doi.org/10.3390/ecsa-10-16028
