Next Article in Journal
YOLO-NPK: A Lightweight Deep Network for Lettuce Nutrient Deficiency Classification Based on Improved YOLOv8 Nano
Previous Article in Journal
Indoor Air Quality Assessment Using a Low-Cost Sensor: A Case Study in Ikere-Ekiti, Nigeria
 
 
Due to scheduled maintenance work on our servers, there may be short service disruptions on this website between 11:00 and 12:00 CEST on March 28th.
Font Type:
Arial Georgia Verdana
Font Size:
Aa Aa Aa
Line Spacing:
Column Width:
Background:
Proceeding Paper

Effect of Glutathione on the Destruction Kinetics of Silver Nanoparticles in Aqueous Solutions: An Optical Study under Neutral and Alkaline Conditions †

V.E. Lashkaryov Institute of Semiconductor Physics, National Academy of Sciences of Ukraine, 03028 Kyiv, Ukraine
*
Author to whom correspondence should be addressed.
Presented at the 10th International Electronic Conference on Sensors and Applications (ECSA-10), 15–30 November 2023; Available online: https://ecsa-10.sciforum.net/
Eng. Proc. 2023, 58(1), 43; https://doi.org/10.3390/ecsa-10-16254
Published: 15 November 2023

Abstract

:
The interaction of nanostructured metal particles with the molecular components of biosystems differs significantly from the processes that take place in the presence of ions of the same metals. This unequivocally indicates the need to take into account not only the course of chemical processes but also implies to discuss certain physical effects that are usually neglected when considering such interactions. In this work, we studied the interaction of silver nanoparticle dispersion (Ag-NP) in ethylene glycol with a particle size less than 100 nm (Sigma-Aldrich 658804) with glutathione in a water and carbonate buffer (pH 10). The choice of glutathione (GSH) is due to the fact that it plays a significant role in intracellular processes, participating in the protection of intracellular components from the toxic effects of heavy metal ions; at the same time, differences in its interaction with silver ions and nanoparticles were experimentally demonstrated. A series of optical studies of the absorption and emission spectra of solutions of silver nanoparticles with GSH was carried out in order to establish the dominant processes in the system. It was shown that the above-mentioned silver nanoparticles in aqueous solutions spontaneously decompose over time, while glutathione differently affects these processes in water and carbonate buffer. It was shown that not only the local surface plasmon resonance bands but also the emission spectra of Ag-NP~GSH solutions in the region of 350–550 nm change with time. The sources of such radiation can be carbon quantum dots (CQD), which, according to published data, can be formed during the synthesis of silver nanoparticles and effectively luminesce in this region of the spectrum. Raman spectroscopy data confirm the presence of CQD in the Ag-NPs solution. The presence of quantum dots in the system makes it possible to indirectly track the presence of silver nanoparticles, which are booster centers, enhancing the emission of CQDs. The studies allow us to state that the interaction of glutathione with silver nanoparticles is a complex topochemical process in which, in addition to chemical reactions, the processes of transformation of silver nanoparticles and changes in the distribution of their sizes and chemical/physical functionality take place.

1. Introduction

Glutathione is a major endogenous antioxidant that protects cells against oxidative stress through its ability to bind to and reduce ROS. The production of free radicals induced by nanoparticles leads to a reduction of GSH to an oxidized form, followed by the induction of oxidative stress [1]. Thus, preservation of the GSH-mediated antioxidant defense system is critical for cell survival. However, various studies have indicated that cellular levels of GSH are either increased or decreased after in vitro treatment with AgNPs [2]. The increased levels of GSH observed in some AgNP-treated cells [3] may involve cellular responses to cope with AgNP-mediated oxidative damage. By contrast, the decreased levels of GSH noted in AgNP-treated human skin carcinoma and fibrosarcoma cells [4] suggest an inhibition of GSH-synthesizing enzymes and/or abnormally increased demand for GSH in conjugation with electrophilic molecules.
The interaction of nanostructured metal particles with the molecular components of biosystems differs significantly from the processes that take place in the presence of ions of the same metals [5]. This unequivocally indicates the need to take into account not only the course of chemical processes but also implies to discuss certain physical effects that are usually neglected when considering such interactions.
In this work, we studied the interaction of silver nanoparticle dispersion (Ag-NP) in ethylene glycol with particle size less than 100 nm (Sigma-Aldrich 658804) with glutathione in a water and carbonate buffer (pH 10). The choice of glutathione as described above is due to the fact that GSH plays a significant role in intracellular processes, participating in the protection of intracellular components from the toxic effects of heavy metal ions; at the same time, differences in its interaction with silver ions and nanoparticles were experimentally demonstrated. The thiol group of glutathione has been shown to form an extremely strong bond with silver [6].
It was shown that silver nitrate significantly affects the quantity of glutathione in the blood plasma by oxidizing the reduced glutathione to disulfide 2 GSH <=> -GSSG- 2H+) or the formation of the Ag-SG complex, which also indicates the protective role of glutathione, thus neutralizing the toxic effect of silver [7]. As for Ag NP, it was demonstrated that the cytotoxicity induced by the nanoparticles was even higher compared to that observed when AgNO3 was used as a silver ion source. Namely, Ag NPs induce reactive oxygen species (ROS) generation [8] (which play important roles in a variety of normal biochemical functions, but abnormality in their functions results in pathological processes, for example, inducing apoptosis [9]) and suppression of reduced glutathione in human Chang liver cells. ROS generated by AgNPs resulted in damage to various cellular components, DNA breaks, lipid membrane peroxidation, and protein carbonylation [10]).
In this work, a series of optical and luminescence studies in the absorption and emission spectra of aqueous silver nanoparticle solutions with GSH were carried out. The obtained results showed that the AgNPs spontaneously decompose over time in aqueous solutions with different mechanisms in water and carbonate buffer when glutathione was added to the solution.

2. Materials and Methods

AgNPs (<100 nm, 10% wt) in ethylene glycol, Glutathione (99%), Sodium Carbonate (ACS reagent ≥ 99.5%), and Sodium Bicarbonate (ACS reagent, ≥99.7%) were received from Sigma-Aldrich (St. Louis, MI, USA). The optical absorbance was studied by UV-Vis spectroscopy on Umico SQ2800 (UNICO, Dayton, NJ, USA). Luminescence spectra were measured using spectrometer USB2000+ (OCEAN OPTICS INC, Dunedin, FL, USA).

3. Results and Discussion

A 0.01 M carbonate buffer solution (pH~10) was used to prepare the AgNPs buffer solution and the GT one. First, a 5 mM AgNPs buffer solution was prepared by mixing the initial AgNPs (10% wt) in ethylene glycol with a carbonate buffer solution in terms of the silver amount. Then, a GT solution was prepared in carbonate buffer at concentrations of 20 mM. The AgNPs buffer solution and the GT one were mixed in equal volumes [11]. Analogously, the AgNPs solution in water was prepared, and 20 mM GT water solution in equal volumes was added to the AgNPs solution. The absorbance spectra of the prepared solutions were measured at 00, 10, 20, 30, 40, 50 min, 1, 1:30, 2, 2:30, 3, 3:30, 4 h, and 2 days after mixing, while the appropriate luminescence spectra were measured in 30 min and 1 h.
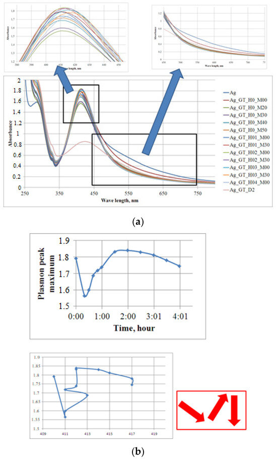
UV-Vis spectra showed that the Ag plasmon peak maximum was characterized by different behavior in the water and the buffer solution of AgNPs after adding the GT (Figure 1a and Figure 2a).
Figure 2a,b shows the change dynamics of the plasmon peak maximum in both the water solution of AgNPs and the buffer solution. The plasmonic band intensity at 413 nm decreased with a slight bathochromic shift in maximum in the water solution of AgNPs, along with decreasing the plasmonic intensity at 520 nm, which indicated the fast AgNPs dispergation (Figure 1a). A quite different process was observed in the buffer solution, where in the beginning the decrease in the plasmon intensity at 415 nm occurred, and then its increasing followed by decreasing was observed. On the other hand, the plasmon band at 550 nm was increasing, which indicated the occurrence of AgNPs agglomeration in the first stage.
Also, the luminescence spectra relieved the different behavior in the water and the buffer solution of AgNPs (Figure 3a,b).
The spectra of the initial water and buffer AgNPs solution were characterized by the presence of two wide bands at 3.4 and 2.52 eV. The sources of such radiation can be carbon quantum dots (CQD), which can be formed during the AgNPs preparation and have effectively been luminescent in this region of the spectra [12,13,14]. Raman spectroscopy data confirm the presence of CQD in the used dispersion nanoparticles of silver [11]. The AgNPs defragmentation in the water and buffer solution resulted in the luminescence band diminishing at 3.4 and 2.52 eV. It is interesting to notice that the appearance of the new luminescence band at 2.9 eV diminished during the time in the water AgNPs solution (Figure 3a).
Therefore, the presence of quantum dots in the solution makes it possible to indirectly track the presence of silver nanoparticles, which are booster centers, enhancing the emission of CQDs.

4. Conclusions

This study allows us to state that the interaction of glutathione with silver nanoparticles is a complex topochemical process in which, in addition to chemical reactions, the processes of transformation of silver nanoparticles and changes in the distribution of their sizes and chemical/physical functionality take place.

Author Contributions

Conceptualization, B.S. and S.K; methodology, E.M.; software, P.B.; validation, E.M., S.K. and P.B.; formal analysis, S.K.; investigation, E.M.; resources, B.S.; data curation, P.B.; writing—original draft preparation, S.K.; writing—review and editing, P.B.; visualization, S.K.; supervision, B.S.; project administration, E.M.; funding acquisition, B.S. All authors have read and agreed to the published version of the manuscript.

Funding

This research received no external funding.

Institutional Review Board Statement

Not applicable.

Informed Consent Statement

Not applicable.

Data Availability Statement

Data are contained within the article.

Conflicts of Interest

The authors declare no conflicts of interest.

References

  1. Talarska, P.; Boruczkowski, M.; Żurawski, J. Current Knowledge of Silver and Gold Nanoparticles in Laboratory Research-Application, Toxicity, Cellular Uptake. Nanomaterials 2021, 11, 2454. [Google Scholar] [CrossRef] [PubMed]
  2. Kim, S.; Ryu, D.Y. Silver nanoparticle-induced oxidative stress, genotoxicity and apoptosis in cultured cells and animal tissues. J. Appl. Toxicol. 2013, 33, 78–896. [Google Scholar] [CrossRef] [PubMed]
  3. Farkas, J.; Christian, P.; Gallego-Urrea, J.A.; Roos, N.; Hassellov, M.; Tollefsen, K.E.; Thomas, K.V. Uptake and effects of manufactured silver nanoparticles in rainbow trout (Oncorhynchus mykiss) gill cells. Aquat. Toxicol. 2011, 101, 117–125. [Google Scholar] [CrossRef] [PubMed]
  4. Arora, S.; Jain, J.; Rajwade, J.M.; Paknikar, K.M. Cellular responses induced by silver nanoparticles: In vitro studies. Toxicol. Lett. 2008, 179, 93–100. [Google Scholar] [CrossRef] [PubMed]
  5. Snopok, B.A.; Snopok, O.B. Nanoscale–Specific Analytics: How to Push the Analytic Excellence in Express Analysis of CBRN. In Advanced Nanomaterials for Detection of CBRN. NATO Science for Peace and Security Series A: Chemistry and Biology; Bonča, J., Kruchinin, S., Eds.; Springer: Dordrecht, The Netherlands, 2020. [Google Scholar] [CrossRef]
  6. Huang, G.G.; Hossain, M.K.; Han, X.X.; Ozaki, Y. A novel reversed reporting agent method for surface-enhanced Raman scattering; highly sensitive detection of glutathione in aqueous solutions. Analyst 2009, 134, 2468–2474. [Google Scholar] [CrossRef] [PubMed]
  7. Khan, H.; Khan, M.F.; Asim-Ur-Rehman; Jan, S.U.; Ullah, N. The protective role of glutathione in silver induced toxicity in blood components. Pak. J. Pharm. Sci. 2011, 24, 123–128. [Google Scholar] [PubMed]
  8. Carlson, C.; Hussain, S.M.; Schrand, A.M.; Braydich-Stolle, L.K.; Hess, K.L.; Jones, R.L.; Schlager, J.J. Unique cellular interaction of silver nanoparticles: Size-dependent generation of reactive oxygen species. J. Phys. Chem. B 2008, 112, 13608–13619. [Google Scholar] [CrossRef] [PubMed]
  9. Martindale, J.L.; Holbrook, N.J. Cellular response to oxidative stress: Signaling for suicide and survival. J. Cell. Physiol. 2002, 192, 1–15. [Google Scholar] [CrossRef]
  10. Piao, M.J.; Kang, K.A.; Lee, I.K.; Kim, H.S.; Kim, S.; Choi, J.Y.; Choi, J.; Hyun, J.W. Silver nanoparticles induce oxidative cell damage in human liver cells through inhibition of reduced glutathione and induction of mitochondria-involved apoptosis. Toxicol. Lett. 2011, 201, 92–100. [Google Scholar] [CrossRef]
  11. Kravchenko, S.; Boltovets, P.; Snopok, B. Chemical Transformation of Typical Biological Recognition Elements in Reactions with Nanosized Targets: A Study of Glutathione Coated Silver Nanoparticles. Eng. Proc. 2023, 35, 31. [Google Scholar]
  12. Liu, J.; Wang, L.; Bao, H. A novel fluorescent probe for ascorbic acid based on seed-mediated growth of silver nanoparticles quenching of carbon dots fluorescence. Anal. Bioanal. Chem. 2019, 411, 877–883. [Google Scholar] [CrossRef] [PubMed]
  13. Lin, S.; Wang, Z.; Zhang, Y.; Huang, Y.; Yuan, R.; Xiang, W.; Zhou, Y. Easy synthesis of silver nanoparticles-orange emissive carbon dots hybrids exhibiting enhanced fluorescence for white light emitting diodes. J. Alloys Compd. 2017, 700, 75–82. [Google Scholar] [CrossRef]
  14. Mai, X.-D.; Le, Q.-T.; Thi, L.-A.N.; Thi, P.N.; Thi, P.L.; La, V.-H. Photosynthesis of Silver Nanoparticle—Carbon Quantum Dots Nanocomposites. Mat. Sci. Res. India 2019, 16, 118–124. [Google Scholar] [CrossRef]
Figure 1. (a) UV-Vis spectra of the water solution of AgNPs after adding the GT. (b) Dynamics behavior of the plasmon peak maximum in the water solution of AgNPs after adding the GT.
Figure 1. (a) UV-Vis spectra of the water solution of AgNPs after adding the GT. (b) Dynamics behavior of the plasmon peak maximum in the water solution of AgNPs after adding the GT.
Engproc 58 00043 g001
Figure 2. (a) UV-Vis spectra of the buffer solution of AgNPs after adding the GT. (b) Dynamics behavior of the plasmon peak maximum in the buffer solution of AgNPs after adding the GT.
Figure 2. (a) UV-Vis spectra of the buffer solution of AgNPs after adding the GT. (b) Dynamics behavior of the plasmon peak maximum in the buffer solution of AgNPs after adding the GT.
Engproc 58 00043 g002
Figure 3. (a) Luminescence spectra of the water solution of AgNPs after adding the GT. (b) Luminescence spectra of the buffer solution of AgNPs after adding the GT.
Figure 3. (a) Luminescence spectra of the water solution of AgNPs after adding the GT. (b) Luminescence spectra of the buffer solution of AgNPs after adding the GT.
Engproc 58 00043 g003aEngproc 58 00043 g003b
Disclaimer/Publisher’s Note: The statements, opinions and data contained in all publications are solely those of the individual author(s) and contributor(s) and not of MDPI and/or the editor(s). MDPI and/or the editor(s) disclaim responsibility for any injury to people or property resulting from any ideas, methods, instructions or products referred to in the content.

Share and Cite

MDPI and ACS Style

Boltovets, P.; Kravchenko, S.; Manoilov, E.; Snopok, B. Effect of Glutathione on the Destruction Kinetics of Silver Nanoparticles in Aqueous Solutions: An Optical Study under Neutral and Alkaline Conditions. Eng. Proc. 2023, 58, 43. https://doi.org/10.3390/ecsa-10-16254

AMA Style

Boltovets P, Kravchenko S, Manoilov E, Snopok B. Effect of Glutathione on the Destruction Kinetics of Silver Nanoparticles in Aqueous Solutions: An Optical Study under Neutral and Alkaline Conditions. Engineering Proceedings. 2023; 58(1):43. https://doi.org/10.3390/ecsa-10-16254

Chicago/Turabian Style

Boltovets, Praskoviya, Sergii Kravchenko, Eduard Manoilov, and Borys Snopok. 2023. "Effect of Glutathione on the Destruction Kinetics of Silver Nanoparticles in Aqueous Solutions: An Optical Study under Neutral and Alkaline Conditions" Engineering Proceedings 58, no. 1: 43. https://doi.org/10.3390/ecsa-10-16254

APA Style

Boltovets, P., Kravchenko, S., Manoilov, E., & Snopok, B. (2023). Effect of Glutathione on the Destruction Kinetics of Silver Nanoparticles in Aqueous Solutions: An Optical Study under Neutral and Alkaline Conditions. Engineering Proceedings, 58(1), 43. https://doi.org/10.3390/ecsa-10-16254

Article Metrics

Back to TopTop