Abstract
This research introduces the conceptualization and examination of a microwave sensor incorporated with a microstrip band stop filter. The microwave sensor’s design and assessment are based on the microstrip’s parallel coupled lines, employing a band stop filter configuration at 2.45 GHz on an FR4 substrate. This study encompasses the evaluation of soil moisture spanning from 20 to 80%. The measurement procedure involved a network analyzer, specifically the KEYSIGHT model E5063A, operating within the frequency range of 100 kHz to 4.5 GHz. This investigation centers around scrutinizing the frequency response of the insertion loss (S21) across this spectrum. The outcomes of the experimentation unveiled notable disparities in frequency shifts. The resultant frequency values, labeled as (f0-f1), manifested at 0, 18, 60, 89, 145, and 200 MHz, sequentially. Remarkably, the correlation between the percentage representation of the frequency shift in the transmission coefficient and the frequency itself emerged distinctly, even as the range of tested samples was finetuned.
1. Introduction
Recent advancements in wireless and mobile communication technologies, driven by the escalating demand for higher transmission rates and lower latency, have ignited widespread interest among researchers [1]. They are actively working on developing sensors capable of collecting data on the electromagnetic characteristics of dielectric materials within communication channels and monitoring soil moisture levels [2]. These sensors play a crucial role in applications related to both communication and agriculture, ensuring efficient communication channels and improved crop management. Furthermore, the ability to measure soil properties, such as moisture content, provides invaluable benefits for agriculture. Accurate soil moisture data enable farmers to make informed irrigation decisions, leading to optimal water usage and healthier crops. This technology also aids in preventing overwatering or underwatering, minimizing the risk of crop yield reduction and water wastage. By integrating communication technology with soil property measurement, these advancements showcase their potential to revolutionize how we communicate and how we cultivate land and manage our vital resources.
Using microwaves to measure material properties involves employing microwave waves for material inspection and analysis. It finds applications in the following:
dielectric properties, measuring electrical characteristics and microwave signal transmission by passing waves through materials; moisture measurement, detecting moisture changes in materials through microwave wave frequency shifts; distance measurement, gauging distances by measuring wave travel time between a transmitter and receiver; and material thickness, measuring material thickness based on wave penetration and reflection, which is a technique that has broad applications, including material testing, food moisture assessment, microwave temperature control, and more.
Ref. [1] presents a compact sensor utilizing a complementary split-ring resonator (CSRR) structure to assess relative permittivity in various dielectric materials and determine soil water content (SWC). The sensor consists of a circular microstrip patch antenna supporting a 3D printed cylindrical container made from ABS filament. The operational principle relies on changes in two antenna-resonant frequencies due to variations in the relative permittivity of the material under test (MUT). Simulations informed the development of an empirical model, and the sensor’s sensitivity was examined through the characterization of typical dielectric materials. The sensor was versatile and applied to estimate water content in different soil types. Prototypes have been fabricated and compared with other research to validate effectiveness. Additionally, the sensor accurately determines water concentration in quartz sand and red clay samples.
Ref. [3] developed a compact microwave sensor using a circular microstrip patch antenna with two slotted complementary split-ring resonators (CSRRs). This sensor accurately characterizes the relative permittivity of different dielectric materials and measures water concentrations in various soil types. Its operating principle relies on comparing resonant frequencies with and without the MUT. The sensor exhibits high sensitivity, requires minimal MUT samples, and is cost-effective, lightweight, and easy to produce. The authors also established an empirical model linking resonant frequency to MUT permittivity, demonstrating strong results for known materials. The sensor’s versatility extends to medical, agricultural, and chemical applications due to its sensitivity, low profile, compact size, and planar design.
Ref. [4] used passive microwave sensors to estimate soil moisture using brightness temperatures at low microwave frequencies, with the vegetation optical depth as a key factor. Retrieval algorithms aim to concurrently determine vegetation optical depth (VOD) and soil moisture (SM). However, these algorithms, often based on τ–ω models, which consist of two third-order polynomial equations, can yield multiple solutions due to structural uncertainty. This structural uncertainty significantly affects VOD and SM retrievals, emphasizing the need to address it in soil moisture estimation algorithms.
Ref. [5] presents machine learning models for accurate soil moisture estimation using a short-range radar sensor operating at 3–10 GHz. The sensor measures volumetric water content by analyzing reflected signals. Input features extracted from these signals train various machine learning models, including neural networks, support vector machines, linear regression, and k-nearest neighbors. Model performance was assessed using metrics like the root mean square error (RMSE), coefficient of determination (R2), and mean absolute error (MAE). Among the models, neural networks achieved the best performance with an R2 value of 0.9894. The research aimed to offer cost-effective solutions, particularly for agriculturists, to enhance soil moisture monitoring accuracy.
Ref. [6] presents a corrosion-resistant, embeddable, open-ended, coaxial cable soil moisture sensor. It utilizes a microwave resonator with two key components along the coaxial line: a metal post at the signal input end and a metal plate parallel to the open end, separated by a moisture-sensitive polyvinyl alcohol (PVA) film. The sensor’s resonance frequency is highly sensitive to fringe capacitance, which varies with soil moisture levels. Monitoring these frequency changes allows precise tracking of soil moisture fluctuations. The article included a detailed mathematical model for the embeddable open-ended microwave coaxial cable resonator (EOE-MCCR) and demonstrated its effectiveness in soil moisture measurement. In experiments covering soil moisture levels from 4% to 24%, the prototype sensor exhibited impressive sensitivity: 0.76 MHz/% for soil moisture between 4% and 10% and 1.44 MHz/% for soil moisture between 10% and 24%. This sensor is durable, cost-effective, corrosion-resistant, and suitable for long-term and potential industrial applications.
Ref. [7] focused on soil moisture sensors for long-term monitoring of moisture levels in highway subgrades and similar applications. Two microwave sensor designs, operating in a 4 to 6 GHz range, were studied. The first design uses a low-loss dielectric slab waveguide with a relative dielectric constant of 25. It provided high-resolution measurements for finely divided soils like bentonite clay, covering moisture levels from 10 to 50% by dry weight within effective sample volumes of 20 to 40 cm2. A model based on the index of refraction offered effective dielectric constant values that reasonably matched the experimental results when considering ionic conduction effects. The second sensor design is better suited for coarser materials like crushed limestone aggregate. It launches waves from a tapered dielectric slab and can handle aggregate particles passing through a 0.63 cm mesh sieve. It offered satisfactory resolution for moisture levels ranging from 0 to 10% by dry weight. These sensor designs have the potential for effective and long-term soil moisture monitoring in various applications, including highway subgrades.
Finally, Ref. [8] conducted observations using a dual-frequency radiometer (operating at 1.4 and 2.65 GHz) over both bare soil and corn fields for extended periods in 1994. When comparing emissivity and volumetric soil moisture at four different depths for bare soils, we found a clear correlation between the 1 cm soil moisture and the 2.65 GHz emissivity, as well as between the 3–5 cm soil moisture and the 1.4 GHz emissivity. These findings validate previous research. Our observations during drying and rainfall events revealed that these data provide valuable and novel insights for hydrologic and energy balance studies. Recent advancements in wireless and mobile communication technologies have led researchers to develop various sensors for measuring soil moisture and dielectric properties. While existing methods have made significant contributions to the field, they often face limitations in terms of accuracy, cost-effectiveness, and ease of implementation. In this context, our research introduces a novel microwave sensor design incorporating a microstrip band stop filter, aimed at addressing the shortcomings of traditional methods. By utilizing a microstrip’s parallel coupled lines with a band stop filter configuration at 2.45 GHz on an FR4 substrate, our approach offers improved precision in measuring soil moisture. This paper aims to present the benefits and unique characteristics of our proposed sensor, highlighting its advantages over existing techniques. This paper presents the design and analysis of a microwave sensor for the measurement of soil moisture using an FR4 substrate and a microstrip’s parallel coupled lines, as illustrated in Figure 1. The measurements were conducted using the KEYSIGHT model E5063A network analyzer. The paper is structured as follows: Section 2 covers the design and analysis of the computational band-stop filter based on microstrip parallel coupled lines and sample test. Section 3 presents the results and discusses their implications. Finally, Section 4 provides the conclusion.
Figure 1.
The band stop filter based on a microstrip’s parallel coupled lines for the microwave sensor.
2. Methods
2.1. Design and Analysis
The proposed design involves a structure consisting of a microstrip’s parallel coupled lines. These signal transmission lines were implemented using a dielectric substrate with a constant dielectric permittivity, while the upper sides of both signal transmission lines are in contact with air and have constant dielectric permittivity. Additionally, a plastic frame was created to house the experimental samples. Below the dielectric substrate, a metal plane serves as the ground plane. Typically, the length of the parallel-coupled microstrip lines is approximately equal to the wavelength of the transmission lines. This occurs because these lines are situated on an inhomogeneous medium, leading to certain effects when these transmission lines are utilized in circuits or devices operating in the microwave frequency range. The characteristic impedance of both the even and odd modes (Z0e, Z0o) can be expressed through simple equations, as depicted in Equations (1) and (2), respectively, and based on .
In Figure 1, the microwave sensor, based on a microstrip’s parallel coupled lines, was employed for assessing the characteristics of various solutions and their electrical properties within the microwave frequency range. We took into account the parametric impedance equations [9] that define a circuit representing a microwave sensor with parallel coupled lines [9]. Thus, we replaced the impedance parameters with the given values to determine the S-parameters of a 2-port network where S11 represents the return loss (dB) and S21 represents the insertion loss (dB).
Figure 2a shows the proposed physical dimensions and Figure 2b depicts the simulated outcomes of the proposed band stop filter, presenting the S11 and S21 S-parameters. The frequency response simulations spanned from 500 MHz to 4.5 GHz, based on laboratory measurements utilizing the available equipment. A comparison was drawn between the ideal simulation and the practical implementation of the microstrip under real operating conditions. In these simulation results, S11 represents the return loss, indicating the reflection coefficient, while S21 represents the insertion loss, indicating the transmission coefficient. The power transmission from port 1 to port 4, denoted by S21, with the same interpretation was illustrated. Notably, there was an enhanced power performance at 2.45 GHz and the subsequent frequencies in the ideal scenario. The physical structure of the prototype corresponds to a microwave microstrip line sensor.
Figure 2.
(a) The physical dimension; (b) the simulated outcomes of the suggested band-stop filter [3]. This paper aims to design and analyze a microwave sensor for soil moisture measurement, utilizing an FR4 substrate with a microstrip’s parallel coupled lines, as depicted in Figure 1. The measurements were carried out using the KEYSIGHT model E5063A network analyzer. We are currently in the process of developing a sensor that employs a microstrip’s parallel coupled lines, operating at a frequency of 2.45 GHz, and constructed with FR4 material. Concurrently, we are building a prototype for soil moisture measurement. It is crucial to consider the following key parameters: a relative dielectric constant (εr) of 4.55, a base material height (h) of 1.6 mm, and a loss tangent (tan δ) of 0.02, as shown in Figure 3. These parameter values are crucial for determining the dimensions of the microstrip’s transmission line required to achieve our desired frequency. Our design encompasses a microstrip band stop filter characterized by a width (W) of 2.45 mm, a spacing (S) of 0.2 mm, and a length (L) of 17.06 mm, as shown in Figure 3. Within this length, there is a designated region for conducting measurements. Furthermore, we integrated an SMA connector into the sensor structure using a parallel microstrip configuration operating at 2.45 GHz.
Figure 3.
The prototype of the band stop filter for the measurement of soil.
Figure 2.
(a) The physical dimension; (b) the simulated outcomes of the suggested band-stop filter [3]. This paper aims to design and analyze a microwave sensor for soil moisture measurement, utilizing an FR4 substrate with a microstrip’s parallel coupled lines, as depicted in Figure 1. The measurements were carried out using the KEYSIGHT model E5063A network analyzer. We are currently in the process of developing a sensor that employs a microstrip’s parallel coupled lines, operating at a frequency of 2.45 GHz, and constructed with FR4 material. Concurrently, we are building a prototype for soil moisture measurement. It is crucial to consider the following key parameters: a relative dielectric constant (εr) of 4.55, a base material height (h) of 1.6 mm, and a loss tangent (tan δ) of 0.02, as shown in Figure 3. These parameter values are crucial for determining the dimensions of the microstrip’s transmission line required to achieve our desired frequency. Our design encompasses a microstrip band stop filter characterized by a width (W) of 2.45 mm, a spacing (S) of 0.2 mm, and a length (L) of 17.06 mm, as shown in Figure 3. Within this length, there is a designated region for conducting measurements. Furthermore, we integrated an SMA connector into the sensor structure using a parallel microstrip configuration operating at 2.45 GHz.

2.2. The Samples of Soil Moisture Levels
In the experimental setup involving various soil moisture measurement methods, the test samples employed in this experiment underwent a production process to determine soil moisture content. For the samples of interest, soil moisture intensity was assessed using a common method involving a soil moisture meter. The device utilized is depicted in Figure 4a. Furthermore, distinct soil moisture meter values can be derived from this relationship, enabling the measurement of soil moisture content expressed in volume or %soil moisture by volume (SMBV). In this research, soil moisture intensity measurements are presented on a scale ranging from 0% to 100% in 20% increments, corresponding to different soil moisture concentrations. The mixtures were prepared by commencing with a specific soil moisture level and subsequently adding distilled water in proportionate amounts using concentration equipment, as shown in Figure 4b. The frequency response of S21 was measured using the KEYSIGHT model E5063A (ENA Series Network Analyzer), which operates in the frequency range of 100 MHz to 4.5 GHz, employing the proposed BSF based on the microstrip’s parallel coupled line sensor prototype.
Figure 4.
The experimental setup; (a) involves various methods for measuring soil moisture; (b) measurement setup.
3. Results and Discussion
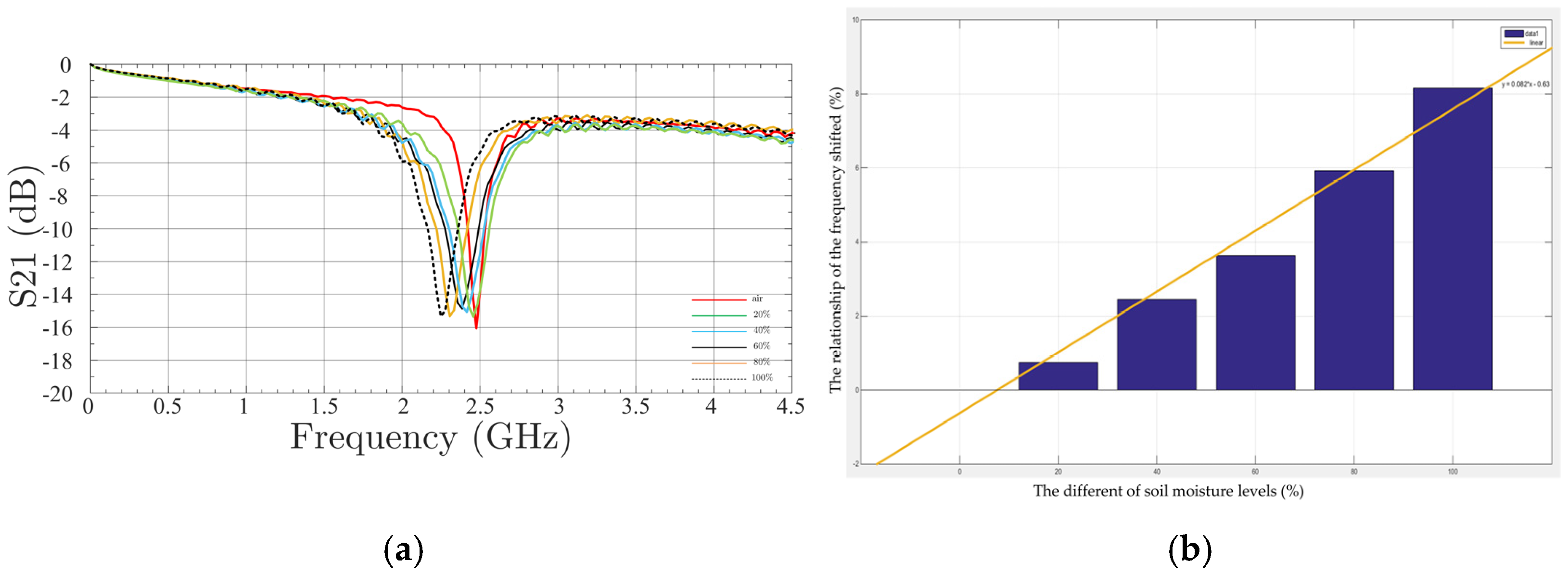
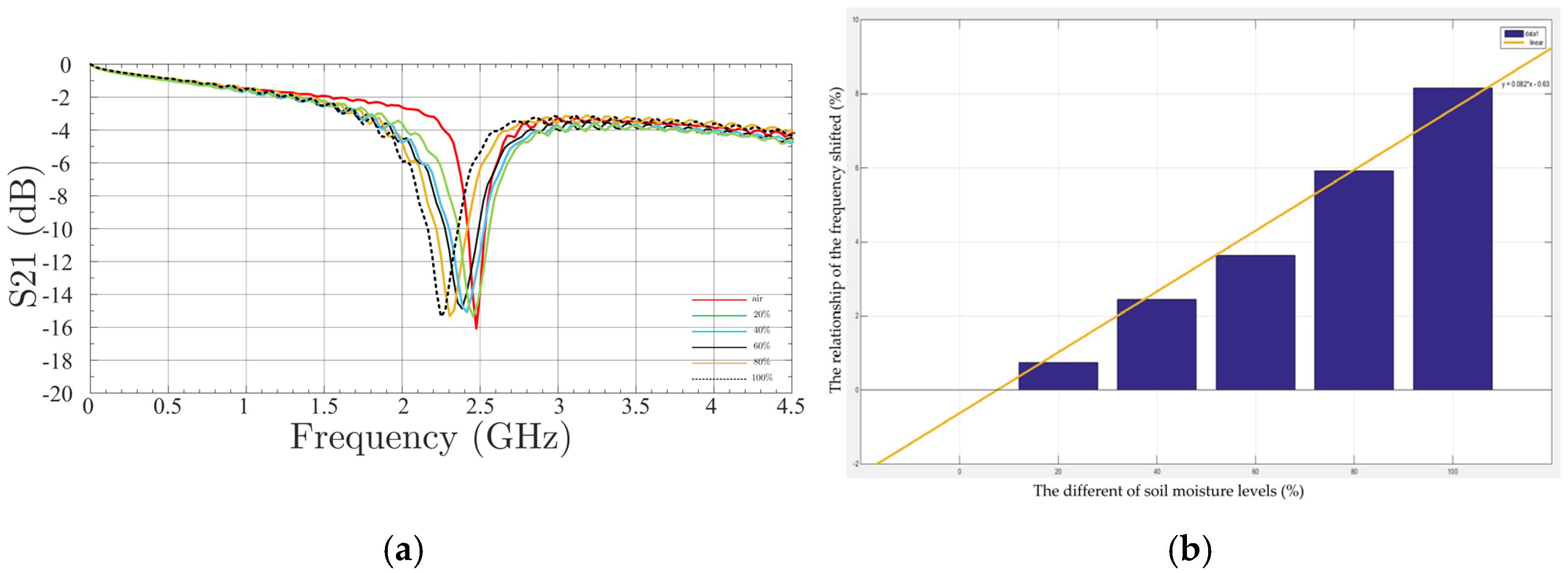
The results of the microwave sensor measurement with the microstrip BSF prototype were obtained using the KEYSIGHT brand E5063A (ENA Series Network Analyzer) within the frequency range of 100 MHz to 4.5 GHz. In Figure 5a, the results of the insertion loss (S21) experiment were measured on samples tested at different soil moisture levels, including 0% (air), 20%, 40%, 60%, 80%, and 100%. The measurement result for the insertion loss (S21) efficiency with air at a frequency operation of 2.45 GHz was −15.12 dB, the soil moisture at 20% was −14.92 at 2.432 GHz, the soil moisture at 40% was −14.85 at 2.390 GHz, the soil moisture at 60% was −15.01 at 2.361 GHz, the soil moisture at 80% was −15.02 at 2.305 GHz, and the soil moisture at 100% was −15.01 at 2.250 GHz. The frequency decreased accordingly with 0 MHz, 18 MHz, 60 MHz, 89 MHz, 145 MHz, and 200 MHz. The percentage change refers to the relative difference between two values, expressed as a percentage. It is often used to measure the increase or decrease in a quantity over time or between two different states—the formula used to calculate the percentage change as in Figure 5b shows the analysis of the correlation of soil moisture with the frequency shifted according to the soil moisture from 0–100%, respectively. The percentage differences were 0.00, 0.735, 2.449, 3.633, 5.918, and 8.163% between frequency increases with the soil moisture level. The experimental results show a linear relationship between the soil moisture level and BSF microstrip sensor.
Figure 5.
The measurement results (a) of insertion loss (S21) at different soil moisture levels and (b) the relationships between the frequency shifts.
4. Conclusions
In conclusion, our study demonstrates the efficacy of the microwave sensor design based on a microstrip’s parallel coupled lines with a band stop filter for accurate soil moisture measurement. The experimental results consistently show a strong correlation between the frequency shifts and varying soil moisture levels, underscoring the reliability and precision of our proposed approach. Compared to traditional methods, our sensor offers distinct advantages in terms of cost-effectiveness, accuracy, and ease of implementation, making it a valuable tool for agricultural and environmental applications. As our research contributes to the ongoing advancements in soil moisture measurement technology, future studies could focus on integrating this approach into broader environmental monitoring systems and precision agriculture practices.
Author Contributions
Conceptualization, S.S. and J.N.; methodology, J.N.; software, J.N.; validation, W.K.; formal analysis, W.K. and J.N.; investigation, J.N. and W.K.; resources, C.S. and S.S.; writing—original draft preparation, S.S.; writing—review and editing, S.S., J.N. and S.S. All authors have read and agreed to the published version of the manuscript.
Funding
This research received no external funding.
Institutional Review Board Statement
Not applicable.
Informed Consent Statement
Not applicable.
Data Availability Statement
Data are contained within the article.
Acknowledgments
The authors would like to demonstrate gratitude toward the Department of Electronic Technology, Faculty of Industrial Technology, Nakhon Phanom University, for their research time, research grant, and instrumentation.
Conflicts of Interest
The authors declare no conflicts of interest.
References
- Oliveira, J.G.D.; Pinto, E.N.M.G.; Silva Neto, V.P.; D’Assunção, A.G. CSRR-Based Microwave Sensor for Dielectric Materials Characterization Applied to Soil Water Content Determination. Sensors 2020, 20, 255. [Google Scholar] [CrossRef]
- Hardie, M. Review of Novel and Emerging Proximal Soil Moisture Sensors for Use in Agriculture. Sensors 2020, 20, 6934. [Google Scholar] [CrossRef] [PubMed]
- Joler, M. An Efficient and Frequency-Scalable Algorithm for the Evaluation of Relative Permittivity Based on a Reference Data Set and a Microstrip Ring Resonator. Sensors 2022, 22, 5591. [Google Scholar] [CrossRef] [PubMed]
- Karthikeyan, L.; Pan, M.; Nagesh Kumar, D.; Wood, E.F. Effect of Structural Uncertainty in Passive Microwave Soil Moisture Retrieval Algorithm. Sensors 2020, 20, 1225. [Google Scholar] [CrossRef] [PubMed]
- Uthayakumar, A.; Mohan, M.P.; Khoo, E.H.; Jimeno, J.; Siyal, M.Y.; Karim, M.F. Machine Learning Models for Enhanced Estimation of Soil Moisture Using Wideband Radar Sensor. Sensors 2022, 22, 5810. [Google Scholar] [CrossRef] [PubMed]
- Guo, J.; Tang, Y.; Wu, Y.; Zhu, C.; Huang, J. Embeddable Soil Moisture Content Sensor Based on Open-End Microwave Coaxial Cable Resonator. IEEE Sens. J. 2023, 23, 13575–13584. [Google Scholar] [CrossRef]
- Birchak, J.R.; Gardner, C.G.; Hipp, J.E.; Victor, J.M. High dielectric constant microwave probes for sensing soil moisture. Proc. IEEE 1974, 62, 93–98. [Google Scholar] [CrossRef]
- Jackson, T.J.; O’Neill, P.E.; Swift, C.T. Passive microwave observation of diurnal surface soil moisture. IEEE Trans. Geosci. Remote Sens. 1997, 35, 1210–1222. [Google Scholar] [CrossRef]
- Phromloungsri, R.; Sonasang, S. Design and Implementation of a Wilkinson Power Divider with Integrated Band Stop Filters Based Parallel-Coupled Lines. Appl. Comput. Electromagn. Soc. J. (ACES) 2023, 38, 208–213. [Google Scholar] [CrossRef]
Disclaimer/Publisher’s Note: The statements, opinions and data contained in all publications are solely those of the individual author(s) and contributor(s) and not of MDPI and/or the editor(s). MDPI and/or the editor(s) disclaim responsibility for any injury to people or property resulting from any ideas, methods, instructions or products referred to in the content. |
© 2023 by the authors. Licensee MDPI, Basel, Switzerland. This article is an open access article distributed under the terms and conditions of the Creative Commons Attribution (CC BY) license (https://creativecommons.org/licenses/by/4.0/).



