Electrical Characterization of Cu-Doped PEDOT:PSS Polymeric Thin Films †
Abstract
:1. Introduction
2. Materials and Methods
2.1. Hall Measurements
2.2. Conductivity Measurement Based on Hall Measurements
2.3. Sample Preparation
2.4. Temperature Dependence on Electrical Conductivity
2.4.1. Mott Model
2.4.2. Schaefer–Siebert–Roth Model
3. Results and Discussion
3.1. Atomic Force Microscope (AFM)
3.2. Conductive Atomic Force Microscope (C-AFM)
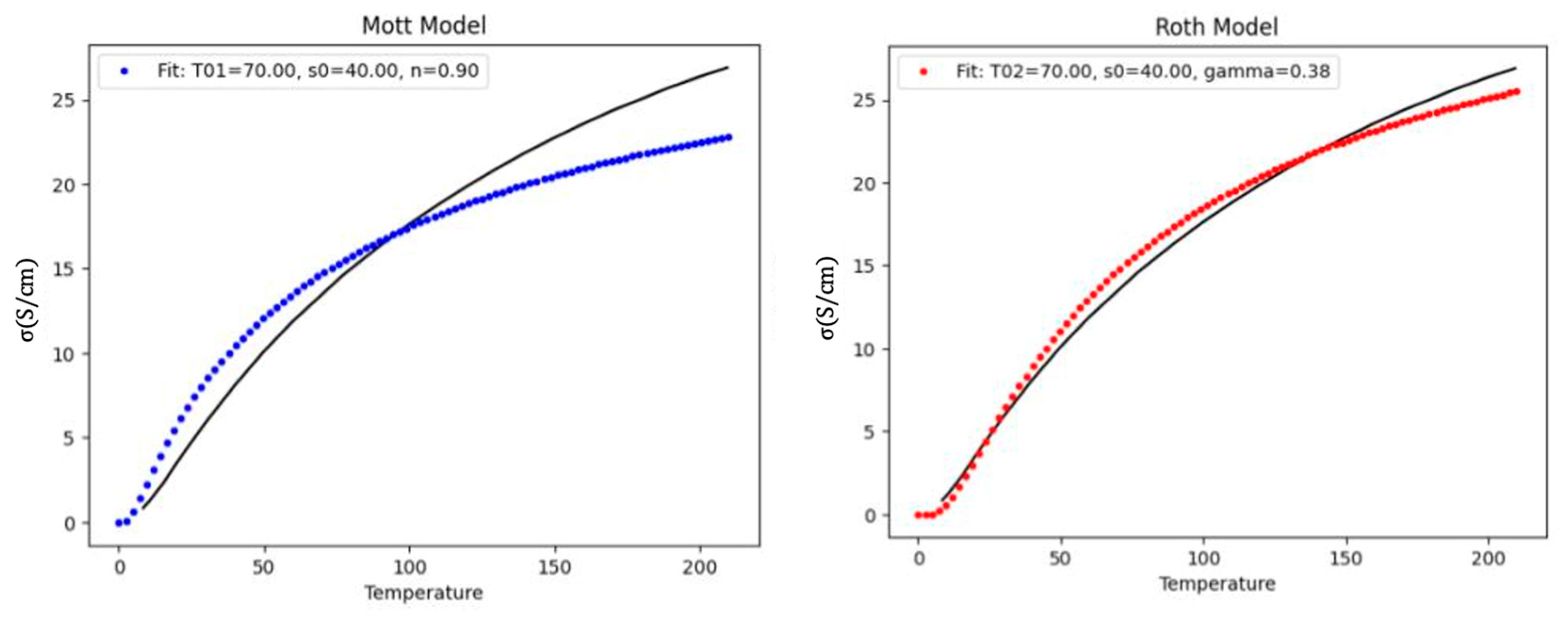
3.3. Temperature Dependance Results
3.4. Hall Mobility and Carrier Concentration Density
4. Conclusions
Author Contributions
Funding
Institutional Review Board Statement
Informed Consent Statement
Data Availability Statement
Conflicts of Interest
References
- Pasha, A.; Roy, A.S.; Murugendrappa, M.V.; Al-Hartomy, O.A.; Khasim, S. Conductivity and dielectric properties of PEDOT-PSS doped DMSO nano composite thin films. J. Mater Sci. Mater Electron. 2016, 27, 8332–8339. [Google Scholar] [CrossRef]
- Dong, J.; Portale, G. Role of the solvent on the electrical conductivity of PEDOT:PSS. Adv. Mater. Interfaces 2020, 7, 2000641. [Google Scholar] [CrossRef]
- Ahmad Shahrim, N.A.; Ahmad, Z.; Wong Azman, A.; Fachmi Buys, Y.; Sarifuddin, N. Mechanisms for doped PEDOT:PSS electrical conductivity improvement. Mater. Adv. 2021, 2, 7118–7128. [Google Scholar] [CrossRef]
- Hui, S.; Congcong, L.; Qingling, J.; Jingkun, X. Effective approaches to improve the electrical conductivity of PEDOT:PSS: A review. Adv. Electron. Mater. 2015, 1, 1500017. [Google Scholar]
- Sato, R.; Wasai, Y.; Izumi, Y.; Ueno, K.; Hajime. Influence of effective mass on carrier concentration for PEDOT:PSS and S-PEDOT thin films studied by ellipsometry and Hall measurement. J. Phys. Chem. C 2023, 127, 13197–13206. [Google Scholar] [CrossRef]
- Kim, J.Y.; Jung, J.H.; Lee, D.E.; Joo, J. Enhancement of electrical conductivity of poly(3,4-ethylenedioxythiophene)poly(styrene sulfonate by a change of a solvent. Synth. Mat. 2002, 126, 311–316. [Google Scholar] [CrossRef]
- Xia, Y.; Sun, K.; Ouyang, J. Solution metallic conducting polymer films as transparent electrode of optoelectronic devices. Adv. Mater. 2012, 24, 2436. [Google Scholar] [CrossRef] [PubMed]
- Xia, Y. High Conductive (PEDOT:PSS) Thin Films and Their Application I Polymer Photovoltaic Devices. Master Thesis, National University of Singapore, Singapore, 2011. [Google Scholar]
- Xiong, C.; Qu, H.; Chen, W.; Zhang, L.; Qiu, L.; Zheng, L.; Xia, F. Real time detection of Cu(II) with PEDOT:PSS based organic electrochemical transistors. Sci. China Chem. 2017, 60, 1205–1211. [Google Scholar] [CrossRef]
- Rueda, J.D.M.; Diego, J. Study of Electrochemical Synthesis of a Hybrid Material of Poly (3,4-ethylenedioxy-thiophene) Modified with Copper Species. Master Thesis, Universidad de Los Andes, Bogotá, Colombia, 2016. [Google Scholar]
- Schulte-Braucks, C.H. Einfluss von Licht und Gate-Spannung auf Dichte und Beweglichkeit von niederdimensionalen Halbleiter-Strukturen. Master Thesis, Ruhr-University Bochum, Bochum, Germany, 2013. [Google Scholar]
- National Institute of Standards and Technology (NIST). Available online: https://www.nist.gov/pml/nanoscale-device-characterization-division/popular-links/hall-effect/hall-effect (accessed on 19 July 2022).
- Sun, K.; Zhang, S.; Li, P.; Xia, Y.; Zhang, X.; Du, D.; Isikgor, F.H.; Ouyang, J. Review on application of PEDOTs and PEDOT:PSS in energy conversion and storage devices. J. Mater. Sci. Mater. Electron. 2015, 26, 4438–4462. [Google Scholar] [CrossRef]
- Namsheer, K.; Sekhar Rout, C. Conducting polymers: A comprehensive review on recent advances in synthesis, properties and applications. RSC Adv. 2021, 11, 5659. [Google Scholar]





| Roughness Parameter | PEDOT:PSS 3–4% | PEDOT:PSS 1.3% + CuCl2 |
|---|---|---|
| (nm) | 6.23 | 1.43 |
| (nm) | 2.90 | 1.89 |
| N2d (cm2) | Mobility (cm2/Vs) | |
|---|---|---|
| 2.89 × 1015 | 2.37 |
Disclaimer/Publisher’s Note: The statements, opinions and data contained in all publications are solely those of the individual author(s) and contributor(s) and not of MDPI and/or the editor(s). MDPI and/or the editor(s) disclaim responsibility for any injury to people or property resulting from any ideas, methods, instructions or products referred to in the content. |
© 2023 by the authors. Licensee MDPI, Basel, Switzerland. This article is an open access article distributed under the terms and conditions of the Creative Commons Attribution (CC BY) license (https://creativecommons.org/licenses/by/4.0/).
Share and Cite
Mikaeeli, A.; Jukam, N.; Szczesny, R.; Ludwing, A.; Bolukbasi, I.; Wieck, A.D.; Pawlak, M. Electrical Characterization of Cu-Doped PEDOT:PSS Polymeric Thin Films. Eng. Proc. 2023, 56, 327. https://doi.org/10.3390/ASEC2023-15903
Mikaeeli A, Jukam N, Szczesny R, Ludwing A, Bolukbasi I, Wieck AD, Pawlak M. Electrical Characterization of Cu-Doped PEDOT:PSS Polymeric Thin Films. Engineering Proceedings. 2023; 56(1):327. https://doi.org/10.3390/ASEC2023-15903
Chicago/Turabian StyleMikaeeli, Ameneh, Nathan Jukam, Robert Szczesny, Arne Ludwing, Ismail Bolukbasi, Andreas D. Wieck, and Michal Pawlak. 2023. "Electrical Characterization of Cu-Doped PEDOT:PSS Polymeric Thin Films" Engineering Proceedings 56, no. 1: 327. https://doi.org/10.3390/ASEC2023-15903
APA StyleMikaeeli, A., Jukam, N., Szczesny, R., Ludwing, A., Bolukbasi, I., Wieck, A. D., & Pawlak, M. (2023). Electrical Characterization of Cu-Doped PEDOT:PSS Polymeric Thin Films. Engineering Proceedings, 56(1), 327. https://doi.org/10.3390/ASEC2023-15903

