Effects of Ni Content and Alloying Elements on Electrical Conductivity, Mechanical Properties, and Hot Tearing Susceptibility of Al-Ni-Based Alloys †
Abstract
:1. Introduction
2. Materials and Methods
3. Result and Discussion
3.1. Al-Ni Binary Alloys
3.1.1. As-Cast Microstructure
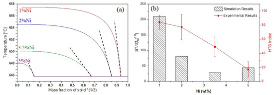
3.1.2. Hot Tearing Susceptibility (HTS)
3.1.3. Electrical Conductivity and Mechanical Properties
3.2. Microalloying with Si and Mg
3.2.1. Microstructure of Al-1Ni-0.6Si-0.6Mg
3.2.2. Electrical Conductivity and Mechanical Properties
4. Conclusions
Author Contributions
Funding
Institutional Review Board Statement
Informed Consent Statement
Data Availability Statement
Acknowledgments
Conflicts of Interest
References
- Palanivel, S. Aluminum Alloys for Die Casting. International Patent WO 2020/028730 A1, 2 February 2020. [Google Scholar]
- Li, Y.; Hu, A.; Fu, Y.; Liu, S.; Shen, W.; Hu, H.; Nie, X. Al Alloys and Casting Processes for Induction Motor Applications in Battery-Powered Electric Vehicles: A Review. Metals 2022, 12, 216. [Google Scholar] [CrossRef]
- Palanivel, S. Casting Aluminum Alloys for High Performance Application. U.S. Patent No. 2019/0127824 A1, 2 May 2019. [Google Scholar]
- Koutsoukis, T.; Makhlouf, M.M. Alternatives to the Al–Si Eutectic System in Aluminum Casting Alloys. Int. J. Met. 2016, 10, 342–347. [Google Scholar] [CrossRef]
- Kotiadis, S.; Zimmer, A.; Elsayed, A.; Vandersluis, E.; Ravindran, C. High Electrical and Thermal Conductivity Cast Al-Fe-Mg-Si Alloys with Ni Additions. Metall. Mater. Trans. A 2020, 51, 4195–4214. [Google Scholar] [CrossRef]
- Yang, L.; Li, W.; Du, J.; Wang, K.; Tang, P. Effect of Si and Ni contents on the fluidity of Al-Ni-Si alloys evaluated by using thermal analysis. Thermochim. Acta 2016, 645, 7–15. [Google Scholar] [CrossRef]
- Zhu, M.; Jian, Z.; Yang, G.; Zhou, Y. Effects of T6 heat treatment on the microstructure, tensile properties, and fracture behavior of the modified A356 alloys. Mater. Des. 2012, 36, 243–249. [Google Scholar] [CrossRef]
- Yıldırım, M.; Özyürek, D. The effects of Mg amount on the microstructure and mechanical properties of Al–Si–Mg alloys. Mater. Des. 2013, 51, 767–774. [Google Scholar] [CrossRef]
- Estey, C.; Cockcroft, S.; Maijer, D.; Hermesmann, C. Constitutive behaviour of A356 during the quenching operation. Mater. Sci. Eng. A 2004, 383, 245–251. [Google Scholar] [CrossRef]
- Thirugnanam, A.; Sukumaran, K.; Pillai, U.T.; Raghukandan, K.; Pai, B.C. Effect of Mg on the fracture characteristics of cast Al–7Si–Mg alloys. Mater. Sci. Eng. A 2007, 445–446, 405–414. [Google Scholar] [CrossRef]
- Hu, B.; Li, Z.; Li, D.; Ying, T.; Zeng, X.; Ding, W. A hot tearing criterion based on solidification microstructure in cast alloys. J. Mater. Sci. Technol. 2022, 105, 68–80. [Google Scholar] [CrossRef]
- Razaz, G.; Carlberg, T. Hot Tearing Susceptibility of AA3000 Aluminum Alloy Containing Cu, Ti, and Zr. Metall. Mater. Trans. A 2019, 50, 3842–3854. [Google Scholar] [CrossRef]
- Easton, M.; StJohn, D. Grain Refinement of Aluminum Alloys: Part I. The Nucleant and Solute Paradigms—A Review of the Literature. Metall. Mater. Trans. A 1991, 30, 1613–1623. [Google Scholar] [CrossRef]
- Hao, D.; Fu, H.; Liu, Z.; Chen, R.; Zhong, Z.; Tang, D. Compensation of solidification contraction and hot cracking tendency of alloys. Acta Metall. Sin. 1997, 33, 921–926. [Google Scholar]
- Dahle, A.K.; Tøndel, P.A.; Paradies, C.J.; Arnberg, L. Effect of grain refinement on the fluidity of two commercial Al-Si foundry alloys. Metall. Mater. Trans. A 1996, 27, 2305–2313. [Google Scholar] [CrossRef]
- Liao, H.C.; Liu, Y.; Lü, C.L.; Wang, Q.G. Effect of Ce addition on castability, mechanical properties and electric conductivity of Al–0.3Si–0.2Mg alloy. Int. J. Cast Met. Res. 2015, 28, 213–220. [Google Scholar] [CrossRef]
- Mulazimoglu, M.H.; Drew, R.A.; Gruzleski, J.E. The electrical conductivity of cast Al− Si alloys in the range 2 to 12.6 wt pct silicon. Metall. Trans. A 1989, 20, 7. [Google Scholar] [CrossRef]
- Sankanit, P.; Uthaisangsuk, V.; Pandee, P. Tensile properties of hypoeutectic Al-Ni alloys: Experiments and FE simulations. J. Alloys Compd. 2021, 889, 161664. [Google Scholar] [CrossRef]







| Alloys | Ni | Si | Mg | Fe | Ti | Al |
|---|---|---|---|---|---|---|
| Al-1Ni | 1.18 | 0.05 | 0.002 | 0.07 | 0.03 | Bal. |
| Al-2Ni | 2.29 | 0.08 | 0.001 | 0.07 | 0.02 | Bal. |
| Al-3.5Ni | 3.43 | 0.06 | 0.001 | 0.07 | 0.02 | Bal. |
| Al-5Ni | 4.85 | 0.06 | 0.001 | 0.08 | 0.02 | Bal. |
| Al-1Ni-0.6Si-0.6Mg | 1.09 | 0.63 | 0.56 | 0.08 | 0.03 | Bal. |
| Point | Elements (wt%) | |
|---|---|---|
| Al | Ni | |
| 1 | 100 | 0 |
| 2 | 71.43 | 28.57 |
| Location | Phase Type | Elements, wt% | |||
|---|---|---|---|---|---|
| Ni | Si | Mg | Al | ||
| Point 1 | Al3Ni | 29.30 | - | - | 70.70 |
| Point 2 | Al(SiMgNi/Fe) | 10.10 | 17.90 | 6.26 | 65.74 |
| Point 3 | Mg2Si | - | 37.35 | 62.65 | - |
Disclaimer/Publisher’s Note: The statements, opinions and data contained in all publications are solely those of the individual author(s) and contributor(s) and not of MDPI and/or the editor(s). MDPI and/or the editor(s) disclaim responsibility for any injury to people or property resulting from any ideas, methods, instructions or products referred to in the content. |
© 2023 by the authors. Licensee MDPI, Basel, Switzerland. This article is an open access article distributed under the terms and conditions of the Creative Commons Attribution (CC BY) license (https://creativecommons.org/licenses/by/4.0/).
Share and Cite
Yavari, F.; Algendy, A.Y.; Javidani, M.; Pan, L.R.; Chen, X.-G. Effects of Ni Content and Alloying Elements on Electrical Conductivity, Mechanical Properties, and Hot Tearing Susceptibility of Al-Ni-Based Alloys. Eng. Proc. 2023, 43, 3. https://doi.org/10.3390/engproc2023043003
Yavari F, Algendy AY, Javidani M, Pan LR, Chen X-G. Effects of Ni Content and Alloying Elements on Electrical Conductivity, Mechanical Properties, and Hot Tearing Susceptibility of Al-Ni-Based Alloys. Engineering Proceedings. 2023; 43(1):3. https://doi.org/10.3390/engproc2023043003
Chicago/Turabian StyleYavari, Farnaz, Ahmed Y. Algendy, Mousa Javidani, Lei Ray Pan, and X.-Grant Chen. 2023. "Effects of Ni Content and Alloying Elements on Electrical Conductivity, Mechanical Properties, and Hot Tearing Susceptibility of Al-Ni-Based Alloys" Engineering Proceedings 43, no. 1: 3. https://doi.org/10.3390/engproc2023043003
APA StyleYavari, F., Algendy, A. Y., Javidani, M., Pan, L. R., & Chen, X.-G. (2023). Effects of Ni Content and Alloying Elements on Electrical Conductivity, Mechanical Properties, and Hot Tearing Susceptibility of Al-Ni-Based Alloys. Engineering Proceedings, 43(1), 3. https://doi.org/10.3390/engproc2023043003
