Reduced Order Modeling with Skew-Radial Basis Functions for Time Series Prediction †
Abstract
1. Introduction
2. Sparse Skew RBFs
3. Numerical Results
3.1. Details of Implementation
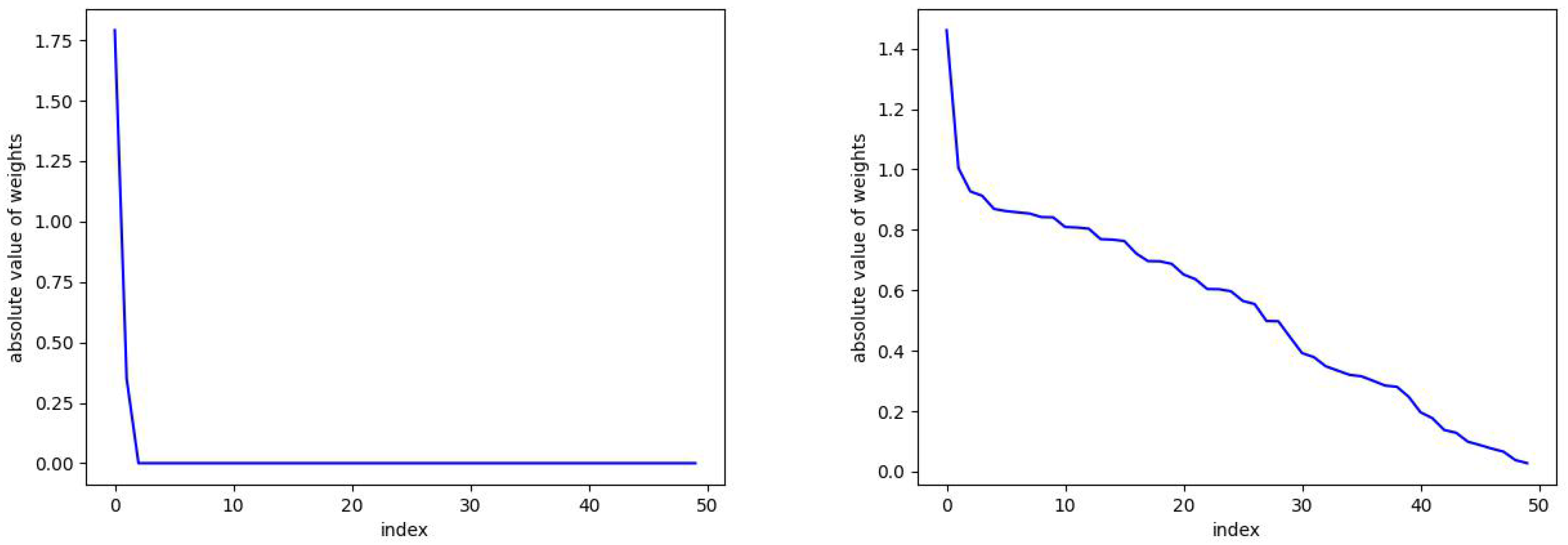
3.2. Mackey–Glass Revisited
3.3. Mouse Telemetry Data
3.4. Other Applications
3.4.1. Iterated Prediction
3.4.2. Visualization of Trained sRBF Models
3.4.3. Anomaly Detection
4. Conclusions
Author Contributions
Funding
Institutional Review Board Statement
Informed Consent Statement
Data Availability Statement
Conflicts of Interest
References
- Jamshidi, A.; Kirby, M. Skew-Radial Basis Function Expansions for Empirical Modeling. SIAM J. Sci. Comput. 2010, 31, 4715–4743. [Google Scholar] [CrossRef]
 - Broomhead, D.; Lowe, D. Multivariable Functional Interpolation and Adaptive Networks. Complex Syst. 1988, 2, 321–355. [Google Scholar]
 - Jamshidi, A.A.; Kirby, M.J. A Radial Basis Function Algorithm with Automatic Model Order Determination. SIAM J. Sci. Comput. 2015, 37, A1319–A1341. [Google Scholar] [CrossRef]
 - Ma, X.; Aminian, M.; Kirby, M. Incremental Error-Adaptive Modeling of Time-Series Data Using Radial Basis Functions. J. Comput. Appl. Math. 2019, 362, 295–308. [Google Scholar] [CrossRef]
 - Jamshidi, A. Modeling Spatio-Temporal Systems with Skew Radial Basis Functions: Theory, Algorithms and Applications. Ph.D. Dissertation, Colorado State University, Department of Mathematics, Fort Collins, CO, USA, 2008. [Google Scholar]
 - Jamshidi, A.; Kirby, M. Modeling Multivariate Time Series on Manifolds with Skew Radial Basis Functions. Neural Comput. 2011, 23, 97–123. [Google Scholar] [CrossRef] [PubMed]
 - Aminian, M.; Andrews-Polymenis, H.; Gupta, J.; Kirby, M.; Kvinge, H.; Ma, X.; Rosse, P.; Scoggin, K.; Threadgill, D. Mathematical methods for visualization and anomaly detection in telemetry datasets. Interface Focus 2020, 10, 20190086. [Google Scholar] [CrossRef]
 - Scoggin, K.; Gupta, J.; Lynch, R.; Nagarajan, A.; Aminian, M.; Peterson, A.; Adams, L.G.; Kirby, M.; Threadgill, D.W.; Andrews-Polymenis, H.L. Elucidating mechanisms of tolerance to Salmonella typhimurium across long-term infections using the collaborative cross. MBio 2022, 13, e01120-22. [Google Scholar] [CrossRef] [PubMed]
 - Scoggin, K.; Lynch, R.; Gupta, J.; Nagarajan, A.; Sheffield, M.; Elsaadi, A.; Bowden, C.; Aminian, M.; Peterson, A.; Adams, L.G.; et al. Genetic background influences survival of infections with Salmonella enterica serovar Typhimurium in the Collaborative Cross. PLoS Genet. 2022, 18, e1010075. [Google Scholar] [CrossRef]
 - Radhakrishnan, A.; Beaglehole, D.; Pandit, P.; Belkin, M. Feature learning in neural networks and kernel machines that recursively learn features. arXiv 2022, arXiv:2212.13881. [Google Scholar]
 







| Number of Centers = 50 | ||||
|---|---|---|---|---|
| Sparsity | Train Acc | Val Acc | RBFs | |
| 0 | 26.84 | 0.0013 | 0.0012 | 50 | 
| 0.0001 | 19.47 | 0.0009 | 0.0007 | 50 | 
| 0.002 | 2.14 | 0.0024 | 0.0021 | 2 | 
| 0.01 | 1.66 | 0.0036 | 0.0033 | 1 | 
| 0.1 | 1.28 | 0.0177 | 0.0169 | 1 | 
Disclaimer/Publisher’s Note: The statements, opinions and data contained in all publications are solely those of the individual author(s) and contributor(s) and not of MDPI and/or the editor(s). MDPI and/or the editor(s) disclaim responsibility for any injury to people or property resulting from any ideas, methods, instructions or products referred to in the content.  | 
© 2023 by the authors. Licensee MDPI, Basel, Switzerland. This article is an open access article distributed under the terms and conditions of the Creative Commons Attribution (CC BY) license (https://creativecommons.org/licenses/by/4.0/).
Share and Cite
Aminian, M.; Kirby, M. Reduced Order Modeling with Skew-Radial Basis Functions for Time Series Prediction. Eng. Proc. 2023, 39, 93. https://doi.org/10.3390/engproc2023039093
Aminian M, Kirby M. Reduced Order Modeling with Skew-Radial Basis Functions for Time Series Prediction. Engineering Proceedings. 2023; 39(1):93. https://doi.org/10.3390/engproc2023039093
Chicago/Turabian StyleAminian, Manuchehr, and Michael Kirby. 2023. "Reduced Order Modeling with Skew-Radial Basis Functions for Time Series Prediction" Engineering Proceedings 39, no. 1: 93. https://doi.org/10.3390/engproc2023039093
APA StyleAminian, M., & Kirby, M. (2023). Reduced Order Modeling with Skew-Radial Basis Functions for Time Series Prediction. Engineering Proceedings, 39(1), 93. https://doi.org/10.3390/engproc2023039093
        
                                                
