Antimicrobial Activity of Natural Extracts: The Problem of Mathematical Modeling †
Abstract
:1. Introduction
2. Materials and Methods
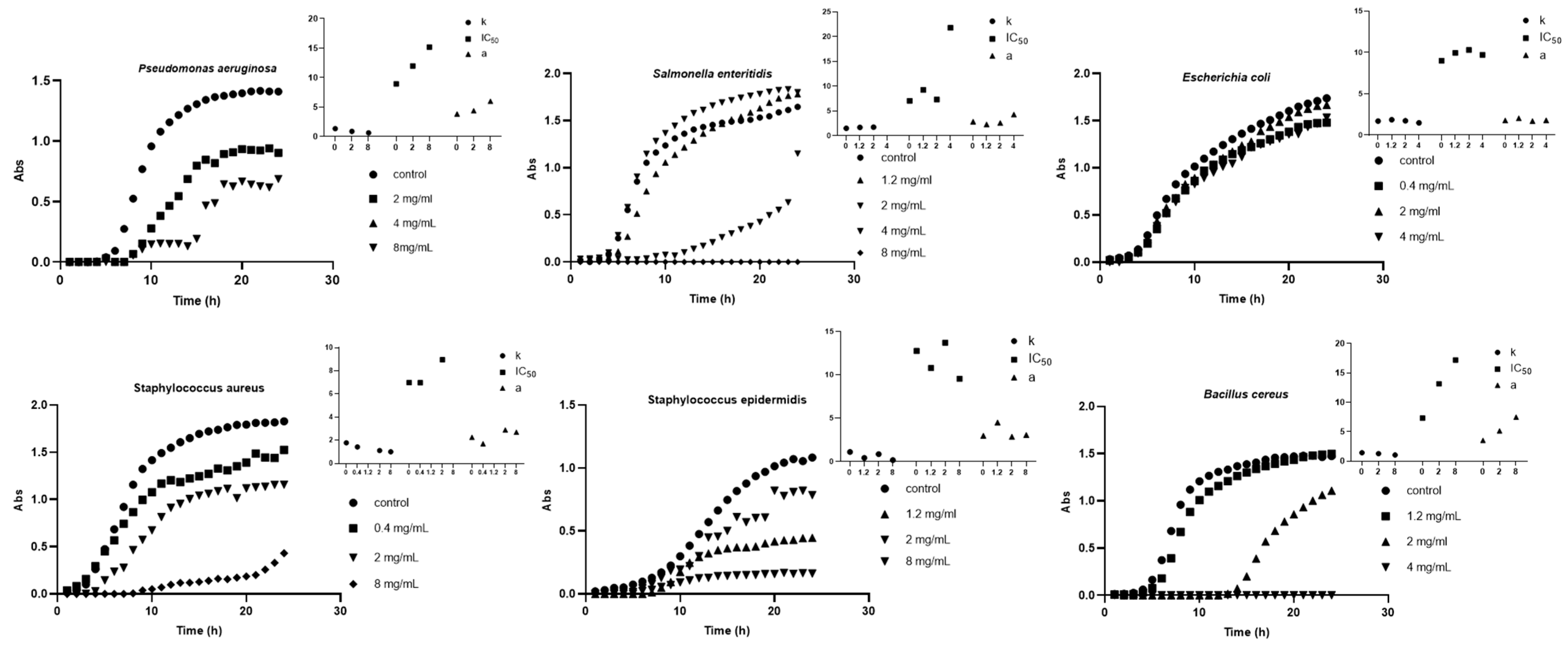
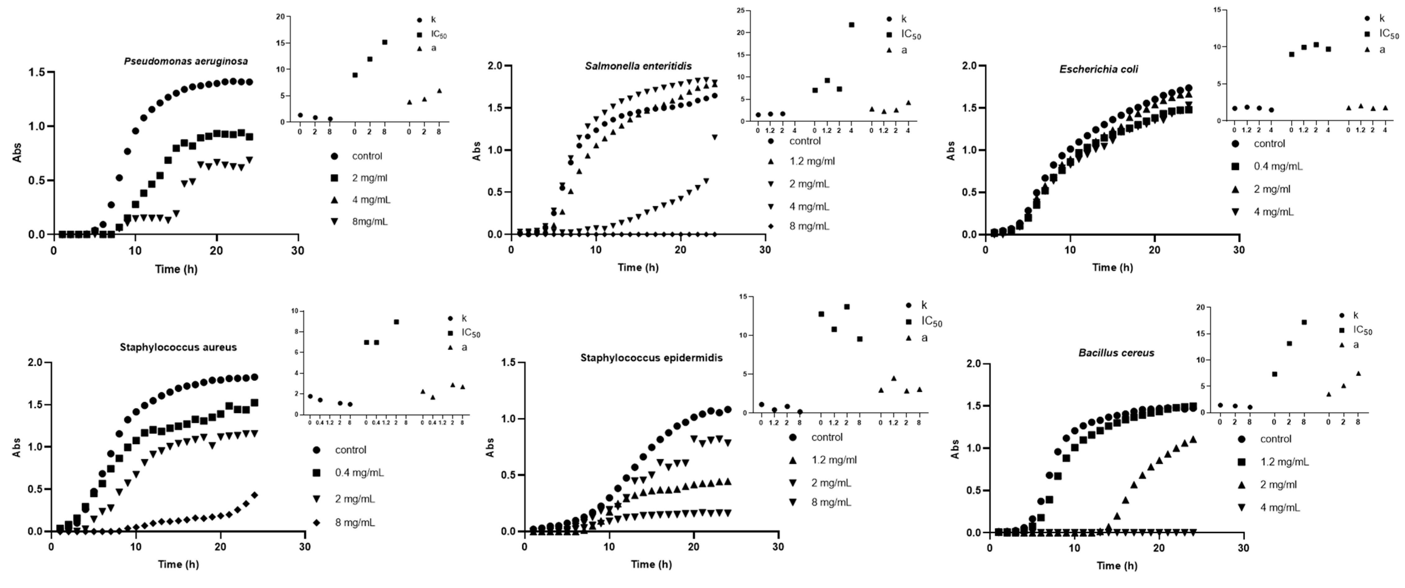
3. Results and Discussion
Author Contributions
Funding
Institutional Review Board Statement
Informed Consent Statement
Data Availability Statement
Conflicts of Interest
References
- Gonelimali, F.D.; Lin, J.; Miao, W.; Xuan, J.; Charles, F.; Chen, M.; Hatab, S.R. Antimicrobial Properties and Mechanism of Action of Some Plant Extracts Against Food Pathogens and Spoilage Microorganisms. Front. Microbiol. 2018, 9, 1639. [Google Scholar] [CrossRef] [PubMed]
- Silva, A.; Silva, S.A.; Lourenço-Lopes, C.; Jimenez-Lopez, C.; Carpena, M.; Gullón, P.; Fraga-Corral, M.; Domingues, V.F.; Barroso, M.F.; Simal-Gandara, J.; et al. Antibacterial Use of Macroalgae Compounds against Foodborne Pathogens. Antibiotics 2020, 9, 712. [Google Scholar] [CrossRef] [PubMed]
- Silva, A.; Cassani, L.; Grosso, C.; Garcia-Oliveira, P.; Morais, S.L.; Echave, J.; Carpena, M.; Xiao, J.; Barroso, M.F.; Simal-Gandara, J.; et al. Recent advances in biological properties of brown algae-derived compounds for nutraceutical applications. Crit. Rev. Food Sci. Nutr. 2022, 1–29. [Google Scholar] [CrossRef] [PubMed]
- Silva, A.; Cassani, L.; Lourenço-Lopes, C.; Morais, S.L.; Cao, H.; Garcia-Oliveira, P.; Garcia-Perez, P.; Carpena, M.; Domingues, V.; Barroso, M.F.; et al. Antimicrobial Activity of Crude Extracts from Ascophyllum nodosum Obtained by Microwave-Assisted Extraction. Med. Sci. Forum 2022, 12, 19. [Google Scholar] [CrossRef]
- Buzrul, S. The Weibull Model for Microbial Inactivation. Food Eng. Rev. 2022, 14, 45–61. [Google Scholar] [CrossRef]
- Tjørve, K.M.C.; Tjørve, E. The use of Gompertz models in growth analyses, and new Gompertz-model approach: An addition to the Unified-Richards family. PLoS ONE 2017, 12, e0178691. [Google Scholar] [CrossRef] [PubMed]
- Wachenheim, D.E.; Patterson, J.A.; Ladisch, M.R. Analysis of the logistic function model: Derivation and applications specific to batch cultured microorganisms. Bioresour. Technol. 2003, 86, 157–164. [Google Scholar] [CrossRef] [PubMed]
- Fujikawa, H.; Kai, A.; Morozumi, S. A New Logistic Model for Bacterial Growth. J. Food Hyg. Soc. Japan 2003, 44, 155–160. [Google Scholar] [CrossRef] [PubMed]
- López, S.; Prieto, M.; Dijkstra, J.; Dhanoa, M.S.; France, J. Statistical evaluation of mathematical models for microbial growth. Int. J. Food Microbiol. 2004, 96, 289–300. [Google Scholar] [CrossRef] [PubMed]
- Dagogo, J.; Cynthia, O.U.; Oyinebifun Biu, E. Comparative Analysis of Additive and Multiplicative Error Terms of Weibull, Logistic Gompertz, Hills and Richards Models with Four Parameters. J. Adv. Math. Comput. Sci. 2023, 38, 1–34. [Google Scholar] [CrossRef]

| Dose | Logistic | Weibull | Gompertz | ||||||||||
|---|---|---|---|---|---|---|---|---|---|---|---|---|---|
| mg/mL | Ym | Y0 | K | R2 | K | t50 | a | R2 | Ym | Y0 | K | 1/k | R2 |
| Pseudomonas aeruginosa | |||||||||||||
| 0 | 1.372 | 3.5 × 10−3 | 0.6677 | 0.9947 | 1.3701 | 8.964 | 3.862 | 0.933 | 1.394 | 2.3 × 10−15 | 0.4417 | 2.264 | 0.9988 |
| 2 | 0.9248 | 1.4 × 10−3 | 0.5441 | 0.9958 | 0.9160 | 11.99 | 4.415 | 0.9956 | 0.9505 | 3.6 × 10−20 | 0.3517 | 2.843 | 0.9967 |
| 8 | 0.6020 | 3.3 × 10−4 | 0.5000 | 0.9577 | 0.6608 | 15.19 | 6.009 | 0.9591 | 0.7813 | 6.7 × 10−14 | 0.2384 | 4.194 | 0.9423 |
| Salmonella enteritidis | |||||||||||||
| 0 | 1.506 | 0.01499 | 0.6542 | 0.9856 | 1.512 | 7.049 | 2.846 | 0.9857 | 1.531 | 1.9 × 10−6 | 0.4282 | 2.335 | 0.9931 |
| 1.2 | 1.650 | 0.03639 | 0.4133 | 0.9807 | 1.689 | 9.267 | 2.282 | 0.9857 | 1.711 | 5.6 × 10−4 | 0.2673 | 3.741 | 0.9910 |
| 2 | 1.736 | 0.02597 | 0.5722 | 0.9868 | 1.749 | 7.331 | 2.566 | 0.9878 | 1.768 | 3.6 × 10−5 | 0.3799 | 2.632 | 0.9944 |
| 4 | - | 0.01003 | 0.1901 | 0.9493 | 1.300 | 21.80 | 4.291 | 0.9088 | 1.522 | 9.4 × 10−35 | 0.2568 | 3.894 | 0.9938 |
| Escherichia coli | |||||||||||||
| 0 | 1.637 | 0.08039 | 0.3330 | 0.9802 | 1.712 | 9.008 | 1.780 | 0.9913 | 1.709 | 0.01460 | 0.2160 | 4.630 | 0.9918 |
| 1.2 | 1.822 | 0.06597 | 0.3299 | 0.9891 | 1.873 | 9.951 | 2.038 | 0.9963 | 1.917 | 0.007340 | 0.2081 | 4.806 | 0.9969 |
| 2 | 1.627 | 0.08836 | 0.2862 | 0.9812 | 1.746 | 10.31 | 1.701 | 0.9936 | 1.728 | 0.02269 | 0.1804 | 5.545 | 0.9922 |
| 4 | 1.415 | 0.06842 | 0.3134 | 0.9765 | 1.494 | 9.719 | 1.788 | 0.9886 | 1.484 | 0.01167 | 0.2032 | 4.920 | 0.9885 |
| Staphylococcus aureus | |||||||||||||
| 0 | 1.800 | 0.05352 | 0.4845 | 0.9913 | 1.775 | 6.986 | 2.253 | 0.9954 | 1.600 | 5.7 × 10−4 | 0.3597 | 2.780 | 0.9467 |
| 0.4 | 1.500 | 0.1219 | 0.3118 | 0.9662 | 1.424 | 6.975 | 1.703 | 0.9883 | 1.424 | 0.01614 | 0.2679 | 3.733 | 0.9900 |
| 1.2 | 1.000 | 6.95 × 10−3 | 0.6823 | 0.9889 | 0.9702 | 7.148 | 3.398 | 0.992 | 0.9797 | 7.3 × 10−11 | 0.5040 | 1.984 | 0.9962 |
| 2 | 1.100 | 0.01168 | 0.5068 | 0.9939 | 1.111 | 8.965 | 2.887 | 0.9951 | 1.142 | 1.1 × 10−5 | 0.3158 | 3.167 | 0.9961 |
| 8 | - | 9.00 × 10−3 | 0.1664 | - | - | - | -- | - | - | 0.001844 | 0.0622 | 16.06 | - |
| Staphylococcus epidermidis | |||||||||||||
| 0 | 1.102 | 0.01376 | 0.3398 | 0.9997 | 1.093 | 12.74 | 2.951 | 0.9985 | 1.208 | 1.2 × 10−4 | 0.1945 | 5.141 | 0.9969 |
| 1.2 | 0.4101 | 4.7 × 10−4 | 0.6291 | 0.9883 | 0.4078 | 10.78 | 4.483 | 0.9855 | 0.4220 | 5.6 × 10−22 | 0.3959 | 2.526 | 0.9940 |
| 2 | 0.8327 | 0.01018 | 0.3218 | 0.9819 | 0.8443 | 13.70 | 2.840 | 0.9845 | 0.9372 | 1.4 × 10−4 | 0.1771 | 5.645 | 0.9848 |
| 8 | 0.1585 | 1.4 × 10−3 | 0.4908 | 0.9934 | 0.1583 | 9.527 | 3.046 | 0.9930 | 0.1628 | 1.1 × 10−7 | 0.3196 | 3.129 | 0.9952 |
| Bacillus cereus | |||||||||||||
| 0 | 1.426 | 6.2 × 10−3 | 0.7428 | 0.9932 | 1.425 | 7.323 | 3.523 | 0.9914 | 1.446 | 7.1 × 10−11 | 0.4897 | 2.042 | 0.9969 |
| 1.2 | 1.281 | 4.8 × 10−4 | 0.6050 | 0.9854 | 1.276 | 13.15 | 5.138 | 0.9818 | 1.325 | 8.5 × 10−49 | 0.3900 | 2.564 | 0.9927 |
| 2 | ~ 1.200 | 1.9 × 10−4 | 0.4900 | 0.9883 | 1.040 | 17.21 | 7.467 | 0.9911 | 1.326 | 2.1 × 10−34 | 0.2581 | 3.875 | 0.9931 |
| 8 | - | - | - | - | - | - | - | - | - | - | - | - | - |
Disclaimer/Publisher’s Note: The statements, opinions and data contained in all publications are solely those of the individual author(s) and contributor(s) and not of MDPI and/or the editor(s). MDPI and/or the editor(s) disclaim responsibility for any injury to people or property resulting from any ideas, methods, instructions or products referred to in the content. |
© 2023 by the authors. Licensee MDPI, Basel, Switzerland. This article is an open access article distributed under the terms and conditions of the Creative Commons Attribution (CC BY) license (https://creativecommons.org/licenses/by/4.0/).
Share and Cite
Silva, A.; Lourenço-Lopes, C.; Carpena, M.; Garcia-Oliveira, P.; Echave, J.; Chamorro, F.; Barciela, P.; Simal-Gandara, J.; Barroso, M.F.; Prieto, M.A. Antimicrobial Activity of Natural Extracts: The Problem of Mathematical Modeling. Eng. Proc. 2023, 37, 104. https://doi.org/10.3390/ECP2023-14675
Silva A, Lourenço-Lopes C, Carpena M, Garcia-Oliveira P, Echave J, Chamorro F, Barciela P, Simal-Gandara J, Barroso MF, Prieto MA. Antimicrobial Activity of Natural Extracts: The Problem of Mathematical Modeling. Engineering Proceedings. 2023; 37(1):104. https://doi.org/10.3390/ECP2023-14675
Chicago/Turabian StyleSilva, Aurora, Catarina Lourenço-Lopes, Maria Carpena, Paula Garcia-Oliveira, Javier Echave, Franklin Chamorro, Paula Barciela, Jesús Simal-Gandara, Maria Fátima Barroso, and Miguel Angel Prieto. 2023. "Antimicrobial Activity of Natural Extracts: The Problem of Mathematical Modeling" Engineering Proceedings 37, no. 1: 104. https://doi.org/10.3390/ECP2023-14675
APA StyleSilva, A., Lourenço-Lopes, C., Carpena, M., Garcia-Oliveira, P., Echave, J., Chamorro, F., Barciela, P., Simal-Gandara, J., Barroso, M. F., & Prieto, M. A. (2023). Antimicrobial Activity of Natural Extracts: The Problem of Mathematical Modeling. Engineering Proceedings, 37(1), 104. https://doi.org/10.3390/ECP2023-14675

