Next Article in Journal
Manufacturing and Testing of 3D-Printed Polymer Isogrid Lattice Cylindrical Shell Structures
Previous Article in Journal
Simultaneous Detection of Salmonella typhimurium and Escherichia coli O157:H7 in Drinking Water with Mach–Zehnder Interferometers Monolithically Integrated on Silicon Chips
 
 
Font Type:
Arial Georgia Verdana
Font Size:
Aa Aa Aa
Line Spacing:
Column Width:
Background:
Proceeding Paper

Application of Optical and Acoustic Methods for the Detection of Bacterial Pathogens Using DNA Aptamers as Receptors †

1
Faculty of Mathematics, Physics and Informatics, Comenius University, Mlynska dolina F1, 842 48 Bratislava, Slovakia
2
Hungarian Dairy Research Institute Ltd., Lucsony utca 24, 9200 Mosonmagyaróvár, Hungary
3
National Centre for Scientific Research “Demokritos”, Patr. Gregoriou E & 27 Neapoleos Str., 15341 Agia Paraskevi, Greece
4
IMD Laboratories Co., R&D Section, Lefkippos Technology Park, NCSR Demokritos, Agia Paraskeyi, P.O. Box 60037, 15130 Athens, Greece
*
Author to whom correspondence should be addressed.
Presented at the 2nd International Electronic Conference on Biosensors, 14–18 Feb 2022; Available Online: https://sciforum.net/event/IECB2022.
Eng. Proc. 2022, 16(1), 6; https://doi.org/10.3390/IECB2022-12268
Published: 14 February 2022
(This article belongs to the Proceedings of The 2nd International Electronic Conference on Biosensors)

Abstract

:
Bacterial contamination in food is real and presents a valid danger to human health. Therefore, we focused on the detection of Escherichia coli and Listeria innocua with optical and acoustic methods. In both methods, we used specific DNA aptamers as receptors. For the optical method, we modified gold nanoparticles (AuNPs) with aptamers and analyzed the interaction of AuNPs with bacteria by measurement of the changes in the absorbance spectrum. We also applied white light reflectometry to measure changes in thickness on a silicon chip modified with aminylated aptamer through silica chemistry. We also used quartz crystal microbalance (QCM) in multiharmonic mode. In this case, the thiolated aptamers were chemisorbed at the gold layer of the quartz crystal and the changes in resonant frequency were measured following the addition of bacteria. The limit of detection (LOD) of the optical method using AuNPs was estimated to be 105 CFU/mL of Listeria monocytogenes. For the reflectometric method, we were able to detect E. coli at concentrations around 2 × 104 CFU/mL. Using TSM, we analyzed the viscoelastic properties of the aptamer layers when they formed at the surface.

1. Introduction

Bacterial contamination in food presents a serious danger to human health. Every year, tons of food need to be thrown out and it is estimated that billions of people get sick from food poisoning, leading to deaths in some hundreds of thousand cases (mostly in children) [1]. Most of the bacterial contaminations can be traced to about 20–30 pathogenic bacteria [2,3]. In our work, we focused on the detection of Escherichia coli and Listeria monocytogenes with optical and acoustic methods. In both methods, we used specific DNA aptamers as receptors. Aptamers are single-stranded DNA or RNA that, in the correct environment, folds into structures, specifically binding to a target with constant of dissociation, Kd, around 10 nM or lower [4,5]. For the optical method, it is possible to modify gold nanoparticles (AuNPs) with aptamers and to study the interaction of AuNPs with bacteria by colorimetry. Aptamers also electrostatically interact with the AuNPs without specific binding, and it is possible to increase the stability of AuNPs with high ionic strength. The incubation of AuNPs with bacteria then removes the protecting aptamer and, after the addition of salts, causes AuNPs aggregation. This process can be measured by changes in absorbance spectra as a function of bacterial concentration. Another optical method used was white light reflectometry. This method measures changes in the thickness of the sensing layer deposited on a silicon chip modified with amino group-modified aptamer through silica chemistry. In this method, the white light from an optical wire illuminates the silicon surface and the reflected light is taken from the same wire to a spectrometer to measure the resulting spectrum and interference pattern of the reflected light. The mathematical model calculates changes in the apparent thickness of the sensing layer on a SiO2 surface. We also used quartz crystal microbalance (QCM) in a multiharmonic mode for detection bacteria. In this case, the gold surface of the piezo crystal is modified by thiolated aptamers. Changes in resonant frequency and dissipation served as a signal are related to the interaction of bacteria with aptamers. It seems that the interaction of bacteria with the surface is not strictly due to the mass changes. Therefore, we also analyzed the changes in the viscoelastic properties of the sensing layer.

2. Materials and Methods

2.1. Chemicals and Materials

HAuCl4, sodium citrate, phosphate buffer saline (PBS) tablets, TRIS-HCl, NaOH, BS3 linker, bovine serum albumin (BSA), (3-Aminopropyl)triethoxysilane (APTES), tris(2-carboxyethyl)phosphine (TCEP), NH3, H2O2, H2SO4, acetone, and isopropyl alcohol were purchased from Sigma Aldrich (Darmstadt, Germany). DNA aptamers for Listeria monocytogenes and E. coli were purchased from Generi Biotech, Ltd. (Hradec Králové, Czech Republic).

2.2. Preparation of Gold Nanoparticles and Colorimetric Method

The gold nanoparticles (AuNPs) were prepared by the Turkevich method. Then, 100 mL of 0.25 mM HAuCl4 was boiled by putting it on a hotplate set to 99.9 °C for around 20 min under continuous mixing with a magnetic stirrer. The top of the flask was covered with a Petri dish in order to protect the solution from external contaminants and to reduce a loss of solvent due to evaporation. After the solution was brought to boil, 3.4 mL of 39 mM trisodium citrate was added, so that the resultant molar ratio was 1:5 of HAuCl4 to trisodium citrate. The solution first lost its yellow color and then darkened to violet color. This solution was maintained in boiling under mixing for around 15–20 min, after which the solution continually changed its color to red. We then removed the solution from the hot plate and left it to cool to room temperature. The AuNPs were stored in fridge at 4 °C. This method helped to obtain AuNPs with a diameter of approximately 5 nm.
The colorimetric experiments were performed by means of Thermo Scientific Genesys UV–vis spectrophotometer (Waltham, MA, USA). Listeria monocytogenes was prepared in Hungarian Dairy Research Institute (Mosonmagyarovar, Hungary) using standard microbiology methods. Escherichia coli O157:H7 was prepared in National Centre for Scientific Research “Demokritos” (Agia Paraskevi, Greece) in Petri dishes on agar using the standard microbiology method. Concentrations of both bacteria were determined by the plate counting method.

2.3. Preparation of Reflectometric Surface and Method of Detection

The surface of silicone SiO2 chip was cleaned with acetone and isopropyl alcohol for 10 min during sonication. We then used acidic piranha for 20 min (1:1, H2SO4:H2O2) and then cleaned the surface with distilled water until dry under nitrogen. The surface was then incubated in 2% solution of APTES for 20 min. After that, it was dried with nitrogen and put into the oven at 120 °C for 20 min. Then, we added 80 μL of 10 μM aptamer with 8 μL of 600 μM BS3 linker for one hour. After this step, the surface was cleaned with distilled water and left to incubate in TRIS buffer overnight. For blocking of the naked surface, it was immersed into 1% BSA solution for one hour. The samples were measured in flow by a system of visible-near infrared light source (ThetaMetrisis S.A., Athens, Greece) with miniaturized USBE controlled spectrometer (Maya 2000 Pro; Ocean Insight, Orlando, FL, USA) and a reflection probe (AVANTES Inc., Broomfield, CO, USA) consisting of seven optical fibers.

2.4. Preparation of QCM Surface and Method of Detection

The surface was cleaned using basic piranha (1:1:7, NH3:H2O2:H2O). We then applied sodium citrate buffer (250 mM, pH 3) in the flow. After stabilization, the aptamers in a concentration of 10 μM in a citrate buffer were added. We detected the samples in flow by using an injection pump. The QCM crystals (Total Frequency Control, Storrington, UK) were fitted in a quartz flow cell. The signal from the cell was taken with a SARK-110 (Seeed Studios, Shenzhen, China) antenna analyzer.

3. Results and Discussion

First, we explored colorimetry for detection of Listeria monocytogenes. We then determined the lowest NaCl concentration (80 mM) that causes the aggregation of AuNPs.
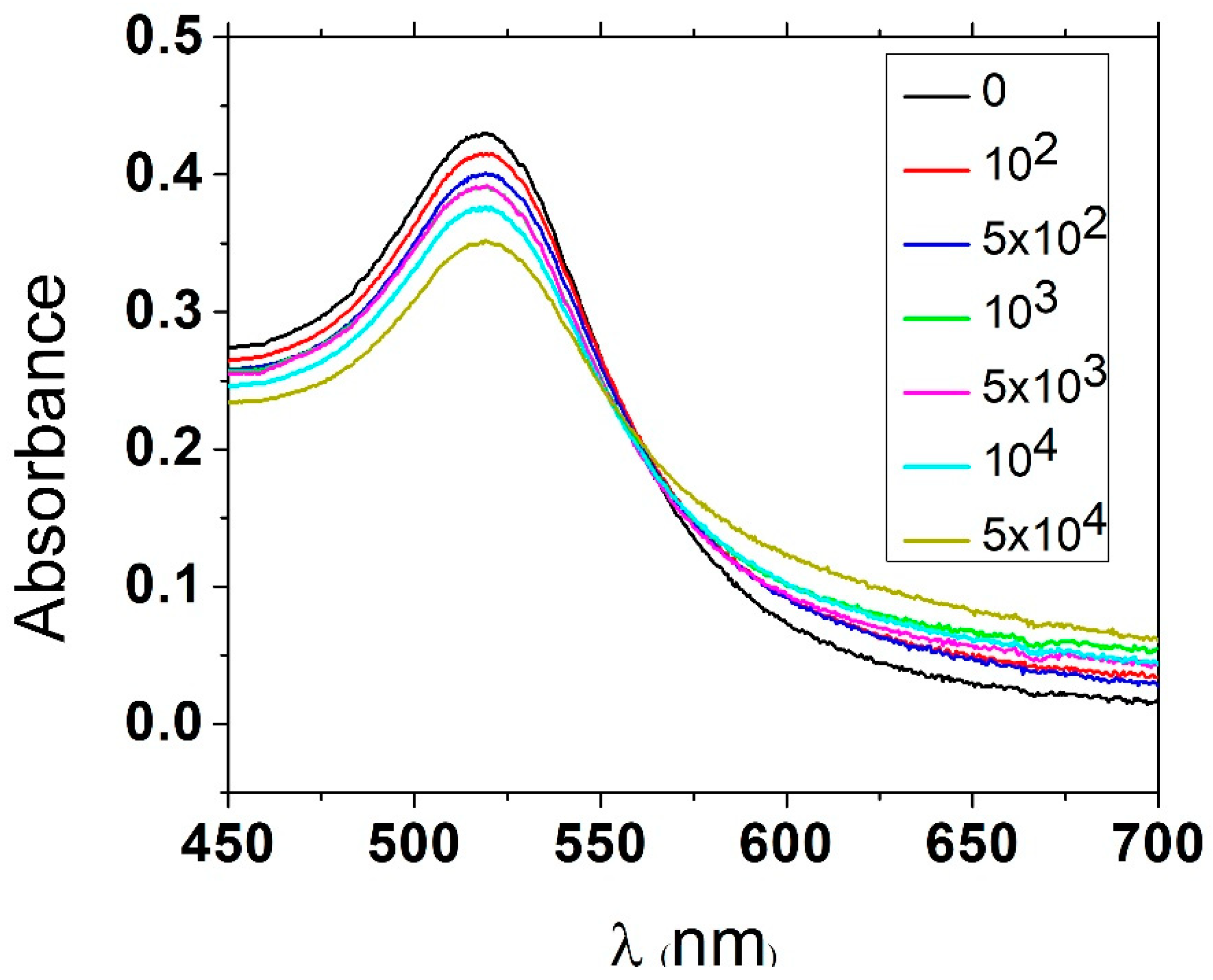
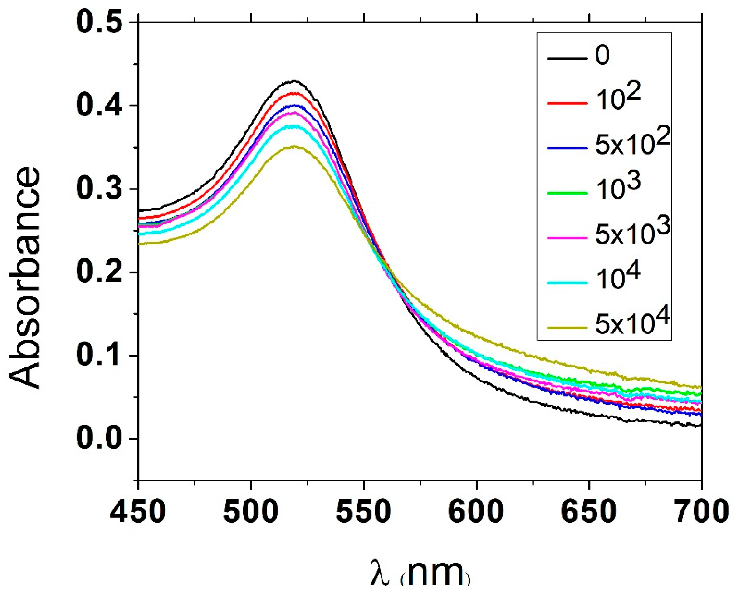
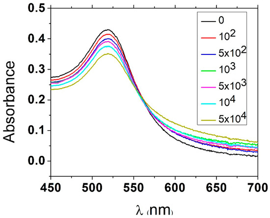
In the next series of the experiments, we incubated AuNPs for 15 min with different concentrations of DNA aptamers. The interaction of AuNPs with the aptamers protected them from aggregation in the presence of 200 mM NaCl. The spectrum of such AuNPs hardly changed with the use of aptamer concentration of 1 μM. In the next experiments, we incubated the 1 μM aptamer with different concentrations of Listeria monocytogenes for 40 min at 37 °C. The sample was then centrifuged for 10 min at 14,500 rpm. Bacteria bind to the aptamers in the sample. With increased concentration of bacteria, there is less aptamers in the supernatant after centrifugation. The supernatant was incubated with AuNPs for 15 min and the absorbance spectrum was measured immediately after adding 80 mM NaCl and 10 min after the addition of NaCl. Figure 1 shows the change in absorbance spectra after addition of NaCl for different concentrations of L. monocytogenes.
Figure 2 shows the calibration curve consisting of change in absorbance (proportion of absorbance at 519 nm and 580 nm as peaks for non-aggregated and aggregated AuNPs, respectively) vs. concentration of bacteria. We calculated the limit of detection (LOD) of this assay as 5.5 × 103 CFU/mL. This method can quickly and easily detect bacteria with relatively high LOD. However, it is likely that the sensitivity of detection can be further improved by optimization of the conditions, such as salt concentration, as well as application of different salts, aptamer or AuNPs with another size.
In the white light reflectometry method, we modified the silicon chip with an amino group-modified aptamers using APTES and a BS3 diester linker. Subsequently, we measured the reflection of white light from the surface of the silicon chip. After adding different concentrations of bacteria, we were able to monitor the change in the reflected spectrum and, using a mathematical model, we linked these changes to the variations in layer thickness. Typical kinetics related to changes in the thickness of naked silicon surface and those modified by aptamers (the naked SiO2 surface was blocked by BSA) in the presence of E. coli are shown in Figure 3. An optical signal from bacteria can be seen for both surfaces; however, the kinetics for blocked surface were faster. After adding different concentrations of E. coli to the surface, we observed a 0.01–1 nm shift in the thickness depending on the concentration of bacteria starting from 2 × 102 CFU/mL (Figure 4).
We also applied the QCM method for E. coli detection at the surface of piezo crystal modified by DNA aptamers. For thiolated aptamers, we observed that the surface binding was rather weak, and it was necessary to lower the pH leading to about a 10 Hz decrease in the resonant frequency in the flow following the addition of thiolated aptamer (Figure 5). The resulting change in frequency after the addition of around 104 CFU/mL was hard to distinguish from the noise and drift of the QCM system. Viscoelastic analysis using the Voinova–Voigt viscoelastic model [6] shows that the estimated height of this aptamer is about 5 nm at layer formation and that the resulting height is below 1 nm (Figure 6). Equations used for Voinova model are presented below:
Δ f = 1 2 π ρ q h q ( η l δ + h f ρ f ω 2 h f ( η l δ ) 2 η f ω 2 μ f 2 + ω 2 η f 2 )
Δ D = 1 2 π f 0 ρ q h q ( η l δ + h f ρ f ω + 2 h f ( η l δ ) 2 u f ω μ f 2 + ω 2 η f 2 )
where ω = 2πf0n, δ = 2 η l η l ω , q, l, and f subscripts are designations for quartz, liquid, and film, respectively.
The length of unfolded aptamer is around 15 nm, indicating that the aptamer at the crystal surface is likely to be in a different conformation than the denatured random. However, low altitude can also imply insufficient coverage (as it is an average height) or an aptamer lying on the surface. These results are also supported by the change in viscosity and elasticity. Shearing modulus, μ, increased after leaching from the layer, implying that the aptamer had a greater tendency to return, implying closer association with the layer. On the contrary, the viscosity decreased, which may mean that the aptamer is not in a tense conformation and, thus, lies on the surface of the gold electrode. To circumvent this problem, it is probably necessary to modify the layer with small thiol molecules in sufficient proportion to the aptamer so that the aptamer is in a more advantageous position and has room to bind bacteria. The optical method based on AuNPs had the highest estimated LOD. The light reflectometry method was able to measure E. coli in the range of 103 to 104 CFU/mL; however, sensitivity as low as 100 CFU/mL can also be attained [7]. The acoustic method provides advantages in the possibility of probing the viscoelastic changes in the surfaces; however, the bacteria can negatively or positively induce the changes in the frequency, which proves a challenge when it is used as a biosensor [8,9].

Author Contributions

Conceptualization, T.H. and S.E.K.; methodology, P.P.; formal analysis, I.P.; investigation, I.P., J.S., M.A. and P.P.; resources, L.B.; writing—original draft preparation, I.P.; writing—review and editing, I.P. and T.H.; visualization, I.P.; supervision, S.E.K., P.P. and T.H.; project administration, T.H.; funding acquisition, S.E.K. and T.H. All authors have read and agreed to the published version of the manuscript.

Funding

This project has received funding from the European Union’s Horizon 2020 research and innovation programme under the Marie Skłodowska-Curie (grant agreement no. 101007299) and from Science Agency VEGA (project no. 1/0419/20) (to T.H.).

Institutional Review Board Statement

Not applicable.

Informed Consent Statement

Not applicable.

Data Availability Statement

The data presented in this study are available on request from the corresponding author.

Conflicts of Interest

The authors declare no conflict of interest.

References

  1. Hoagland, L.; Ximenes, E.; Ku, S.; Ladisch, M. Foodborne pathogens in horticultural production systems: Ecology and mitigation. Sci. Hortic. 2018, 236, 192–206. [Google Scholar] [CrossRef]
  2. Priyanka, B.; Patil, R.K.; Dwarakanath, S. A review on detection methods used for foodborne pathogens. Indian J. Med. Res. 2016, 144, 327. [Google Scholar] [CrossRef] [PubMed]
  3. Safavieh, M.; Nahar, S.; Zourob, M.; Ahmed, M.U. Microfluidic biosensors for high throughput screening of pathogens in food. In High Throughput Screening for Food Safety Assessment; Elsevier: Amsterdam, The Netherlands, 2015; pp. 327–357. [Google Scholar] [CrossRef]
  4. Siddiqui, S.; Yuan, J. Binding Characteristics Study of DNA based Aptamers for E. coli O157:H7. Molecules 2021, 90, 204. [Google Scholar] [CrossRef] [PubMed]
  5. Lyu, Y.; Teng, I.T.; Zhang, L.; Guo, Y.; Cai, R.; Zhang, X.; Qiu, L.; Tan, W. Comprehensive Regression Model for Dissociation Equilibria of Cell-Specific Aptamers. Anal. Chem. 2018, 90, 10487–10493. [Google Scholar] [CrossRef] [PubMed]
  6. Voinova, M.V. The theory of acoustic sensors application in air quality control. Urban Clim. 2018, 24, 264–275. [Google Scholar] [CrossRef]
  7. Angelopoulou, M.; Tzialla, K.; Voulgari, A.; Dikeoulia, M.; Raptis, I.; Kakabakos, S.E.; Petrou, P. Rapid Detection of Salmonella typhimurium in Drinking Water by a White Light Reflectance Spectroscopy Immunosensor. Sensors 2021, 21, 2683. [Google Scholar] [CrossRef] [PubMed]
  8. Alexander, T.E.; Lozeau, L.D.; Camesano, T.A. QCM-D characterization of time-dependence of bacterial adhesion. Cell Surf. 2019, 5, 100024. [Google Scholar] [CrossRef] [PubMed]
  9. Tatarko, M.; Spagnolo, S.; Oravczová, V.; Süle, J.; Hun, M.; Hucker, A.; Hianik, T. Changes of viscoelastic properties of aptamer based sensing layers following interaction with Listeria innocua. Sensors 2021, 21, 5585. [Google Scholar] [CrossRef] [PubMed]
Figure 1. Change in absorbance spectra of gold nanoparticles 10 min. after addition of 80 mM NaCl for different concentrations of incubated L. monocytogenes in CFU/mL (See the legend).
Figure 1. Change in absorbance spectra of gold nanoparticles 10 min. after addition of 80 mM NaCl for different concentrations of incubated L. monocytogenes in CFU/mL (See the legend).
Engproc 16 00006 g001
Figure 2. The plot of the ratio of absorbance at 519 nm and 580 nm (A519/A580) vs. concentration of Listeria monocytogenes in log scale. The results represent mean±SD obtained from 3 independent experiments. Red curve is linear fit performed by OriginPro version 7.5 (OriginLab Corporation, Northampton, MA, USA).
Figure 2. The plot of the ratio of absorbance at 519 nm and 580 nm (A519/A580) vs. concentration of Listeria monocytogenes in log scale. The results represent mean±SD obtained from 3 independent experiments. Red curve is linear fit performed by OriginPro version 7.5 (OriginLab Corporation, Northampton, MA, USA).
Engproc 16 00006 g002
Figure 3. The kinetics of the thickness changes (Δh) obtained from reflectometry signal for SiO2 surface with and without aptamers.
Figure 3. The kinetics of the thickness changes (Δh) obtained from reflectometry signal for SiO2 surface with and without aptamers.
Engproc 16 00006 g003
Figure 4. The kinetics of the thickness changes (Δh) obtained from reflectometric signal following the addition of E. coli (in CFU/mL) to a surface modified by DNA aptamers. The naked SiO2 surface was blocked by BSA and washed by TRIS buffer. The addition of bacteria is shown by arrows.
Figure 4. The kinetics of the thickness changes (Δh) obtained from reflectometric signal following the addition of E. coli (in CFU/mL) to a surface modified by DNA aptamers. The naked SiO2 surface was blocked by BSA and washed by TRIS buffer. The addition of bacteria is shown by arrows.
Engproc 16 00006 g004
Figure 5. The changes in frequency (Δf/n) and dissipation (ΔD/n) following addition of thiolated aptamer in a concentration of 5 uM and washing the surface by citrate buffer. The results were obtained from TSM experiment for 3rd overtone. The changes in frequency (black) and dissipation (blue) are divided by the overtone number n=3. The moment of addition of aptamers and buffer are shown by arrows.
Figure 5. The changes in frequency (Δf/n) and dissipation (ΔD/n) following addition of thiolated aptamer in a concentration of 5 uM and washing the surface by citrate buffer. The results were obtained from TSM experiment for 3rd overtone. The changes in frequency (black) and dissipation (blue) are divided by the overtone number n=3. The moment of addition of aptamers and buffer are shown by arrows.
Engproc 16 00006 g005
Figure 6. The kinetic of changes in the thickness (h—black), viscosity (η, red), and shear modulus (μ, blue) based on the Voinova–Voigt viscoelastic model using the data on the changes in resonant frequency and dissipation obtained from TSM experiment.
Figure 6. The kinetic of changes in the thickness (h—black), viscosity (η, red), and shear modulus (μ, blue) based on the Voinova–Voigt viscoelastic model using the data on the changes in resonant frequency and dissipation obtained from TSM experiment.
Engproc 16 00006 g006
Publisher’s Note: MDPI stays neutral with regard to jurisdictional claims in published maps and institutional affiliations.

Share and Cite

MDPI and ACS Style

Piovarci, I.; Süle, J.; Angelopoulou, M.; Petrou, P.; Bousiakou, L.; Kakabakos, S.E.; Hianik, T. Application of Optical and Acoustic Methods for the Detection of Bacterial Pathogens Using DNA Aptamers as Receptors. Eng. Proc. 2022, 16, 6. https://doi.org/10.3390/IECB2022-12268

AMA Style

Piovarci I, Süle J, Angelopoulou M, Petrou P, Bousiakou L, Kakabakos SE, Hianik T. Application of Optical and Acoustic Methods for the Detection of Bacterial Pathogens Using DNA Aptamers as Receptors. Engineering Proceedings. 2022; 16(1):6. https://doi.org/10.3390/IECB2022-12268

Chicago/Turabian Style

Piovarci, Ivan, Judit Süle, Michailia Angelopoulou, Panagiota Petrou, Leda Bousiakou, Sotirios Elias Kakabakos, and Tibor Hianik. 2022. "Application of Optical and Acoustic Methods for the Detection of Bacterial Pathogens Using DNA Aptamers as Receptors" Engineering Proceedings 16, no. 1: 6. https://doi.org/10.3390/IECB2022-12268

APA Style

Piovarci, I., Süle, J., Angelopoulou, M., Petrou, P., Bousiakou, L., Kakabakos, S. E., & Hianik, T. (2022). Application of Optical and Acoustic Methods for the Detection of Bacterial Pathogens Using DNA Aptamers as Receptors. Engineering Proceedings, 16(1), 6. https://doi.org/10.3390/IECB2022-12268

Article Metrics

Back to TopTop