Exploring Novel Transmission Mechanisms for Rotary Electromagnetic Shock Absorbers †
Abstract
1. Introduction
2. Transmission Sizing
3. Cycloidal Drive
3.1. Optimized Cycloidal Stage Design
3.2. Cycloidal Stage Design Results
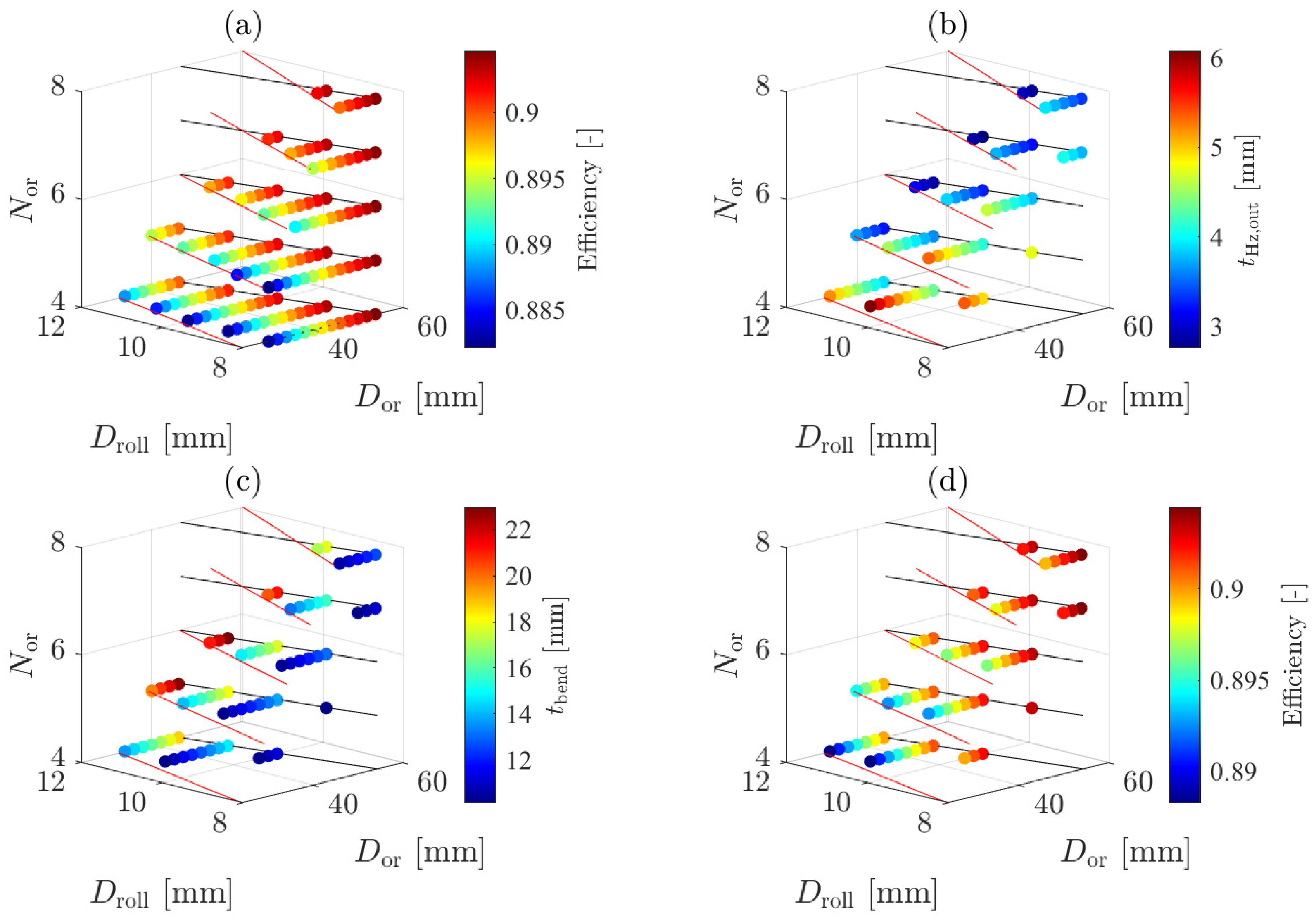
4. Polymer-Based Planetary Drive
5. Magnetic Drive
Magnetic Stage Design Results
6. Discussion and Conclusions
Author Contributions
Funding
Institutional Review Board Statement
Informed Consent Statement
Data Availability Statement
Conflicts of Interest
References
- Abdelkareem, M.A.; Xu, L.; Ali, M.K.A.; Elagouz, A.; Mi, J.; Guo, S.; Liu, Y.; Zuo, L. Vibration energy harvesting in automotive suspension system: A detailed review. Appl. Energy 2018, 229, 672–699. [Google Scholar] [CrossRef]
- Tonoli, A.; Amati, N.; Detoni, J.G.; Galluzzi, R.; Gasparin, E. Modelling and validation of electromechanical shock absorbers. Veh. Syst. Dyn. 2013, 51, 1186–1199. [Google Scholar] [CrossRef]
- Willems, M. Wheel Suspension for a Motor Vehicle. U.S. Patent 8,573,604, 5 November 2013. [Google Scholar]
- Galluzzi, R.; Circosta, S.; Amati, N.; Tonoli, A. Rotary regenerative shock absorbers for automotive suspensions. Mechatronics 2021, 77, 102580. [Google Scholar] [CrossRef]
- Wellmann, T.; Tousignant, T.; Govindswamy, K.; Tomazic, D.; Steffens, C.; Janssen, P. NVH Aspects of Electric Drive Unit Development and Vehicle Integration; SAE Technical Paper 2019-01-1454; SAE International: Warrendale, PA, USA, 2019. [Google Scholar]
- Sensinger, J.W. Efficiency of high-sensitivity gear trains, such as cycloid drives. J. Mech. Des. 2013, 135, 071006. [Google Scholar] [CrossRef]
- Shoaei, A.; Wang, Q. A comprehensive review of concentric magnetic gears. IEEE Trans. Transp. Electrif. 2023, 10, 5581–5598. [Google Scholar] [CrossRef]
- Kapelevich, A. High Gear Ratio Epicyclic Drives Analysis; Technical report; AKGears, LLC: Alexandria, VA, USA, 2014. [Google Scholar]
- Machine Design. Planetary Gear Ratios, 2000. Available online: https://www.machinedesign.com/archive/article/21828399/planetary-gear-ratios (accessed on 10 September 2025).
- Jing, L.; Huang, Z. The Effect of Number of Pole Pairs on Torque Ripple of Magnetic Gear. Prog. Electromagn. Res. M 2019, 86, 115–123. [Google Scholar] [CrossRef]
- Praslicka, B.; Gardner, M.C.; Johnson, M.; Toliyat, H.A. Review and analysis of coaxial magnetic gear pole pair count selection effects. IEEE J. Emerg. Sel. Top. Power Electron. 2021, 10, 1813–1822. [Google Scholar] [CrossRef]
- Sensinger, J.W.; Lipsey, J.H. Cycloid vs. harmonic drives for use in high ratio, single stage robotic transmissions. In Proceedings of the 2012 IEEE International Conference on Robotics and Automation; IEEE: Piscataway, NJ, USA, 2012; pp. 4130–4135. [Google Scholar]
- Lee, K.; Hong, S.; Oh, J.H. Development of a lightweight and high-efficiency compact cycloidal reducer for legged robots. Int. J. Precis. Eng. Manuf. 2020, 21, 415–425. [Google Scholar] [CrossRef]
- Blanche, J.; Yang, D. Cycloid Drives With Machining Tolerances. J. Mech. Transm. Autom. Des. 1989, 111, 337–344. [Google Scholar] [CrossRef]
- Sensinger, J.W. Unified Approach to Cycloid Drive Profile, Stress, and Efficiency Optimization. J. Mech. Des. 2010, 132. [Google Scholar] [CrossRef]
- Kilian, P.; Kuhmann, K. Getting to the heart of wheels – designing quieter, more energy efficient gears with PEEK. Kunststoffe Int. 2022, 5, 58–61. [Google Scholar]
- Zorko, D.; Kalister, R.; Černe, B. An investigation on the NVH performance of plastic gears. Forsch. Ingenieurwesen 2025, 89, 128. [Google Scholar] [CrossRef]
- Kilian, P.; Kuhmann, K. Applications of PEEK gears for high-power transmissions. In Polymer Gears; Elsevier: Amsterdam, The Netherlands, 2025; pp. 667–677. [Google Scholar]
- Atallah, K.; Howe, D. A novel high-performance magnetic gear. IEEE Trans. Magn. 2002, 37, 2844–2846. [Google Scholar] [CrossRef]
- Jian, L.; Chau, K. A coaxial magnetic gear with Halbach permanent-magnet arrays. IEEE Trans. Energy Convers. 2010, 25, 319–328. [Google Scholar] [CrossRef]
- Bertotti, G. General properties of power losses in soft ferromagnetic materials. IEEE Trans. Magn. 1988, 24, 621–630. [Google Scholar] [CrossRef]
- Gerber, S.; Wang, R. Analysis of the end-effects in magnetic gears and magnetically geared machines. In Proceedings of the 2014 International Conference on Electrical Machines (ICEM); IEEE: Piscataway, NJ, USA, 2014; pp. 396–402. [Google Scholar]









| Description | Symbol | Value | Unit |
|---|---|---|---|
| Required transmission ratio | − | ||
| Disk maximum thickness | 10 | mm | |
| Fixed pins pitch diameter | D | 80 to 90 | mm |
| Minimum Safety factor | 1.2 | − |
| Description | Symbol | Value | Unit |
|---|---|---|---|
| Transmission ratio | 19 | − | |
| Disk thickness | t | 10 | mm |
| Fixed pins pitch diameter | D | 85 | mm |
| Fixed pins radius | 4 | mm | |
| Eccentricity | E | mm | |
| Output holes number | 8 | − | |
| Output holes pitch diameter | 54 | mm | |
| Output rollers diameter | 8 | mm |
| Description | Symbol | Value | Unit |
|---|---|---|---|
| Transmission ratio | − | ||
| Facewidth | b | 10 | mm |
| Gear module | m | 1 | mm |
| Pressure angle | 20 | deg | |
| Number of teeth | − |
| Description | Symbol | Value | Unit |
|---|---|---|---|
| Gearbox axial length | L | 12 | mm |
| Inner rotor PM thickness | 14.2 | mm | |
| Outer rotor PM thickness | 5 | mm | |
| Inner rotor yoke thickness | 6.6 | mm | |
| Outer rotor yoke thickness | 5 | mm | |
| Stator modulators thickness | 5.6 | mm | |
| Outer diameter | D | 90 | mm |
| Volumetric torque density | 208.13 | ||
| Maximum inner rotor torque | 3.37 | Nm | |
| Maximum outer rotor torque | 15.89 | Nm |
| Parameter | Benchmark Planetary | Cycloidal + Polymer Planetary | Cycloidal + Magnetic Stage |
|---|---|---|---|
| Estimated average efficiency | ∼90% | ∼80% | ∼85% |
| Gearbox axial length L | 20 mm | 30 mm | 32 mm |
| External active diameter D | 85 mm | 85∼90 mm | 90 mm |
Disclaimer/Publisher’s Note: The statements, opinions and data contained in all publications are solely those of the individual author(s) and contributor(s) and not of MDPI and/or the editor(s). MDPI and/or the editor(s) disclaim responsibility for any injury to people or property resulting from any ideas, methods, instructions or products referred to in the content. |
© 2026 by the authors. Licensee MDPI, Basel, Switzerland. This article is an open access article distributed under the terms and conditions of the Creative Commons Attribution (CC BY) license.
Share and Cite
Moscone, G.; Bisciaio, G.; Sorrentino, G.; Zhang, X.; Galluzzi, R.; Amati, N. Exploring Novel Transmission Mechanisms for Rotary Electromagnetic Shock Absorbers. Eng. Proc. 2026, 131, 21. https://doi.org/10.3390/engproc2026131021
Moscone G, Bisciaio G, Sorrentino G, Zhang X, Galluzzi R, Amati N. Exploring Novel Transmission Mechanisms for Rotary Electromagnetic Shock Absorbers. Engineering Proceedings. 2026; 131(1):21. https://doi.org/10.3390/engproc2026131021
Chicago/Turabian StyleMoscone, Giulia, Giorgio Bisciaio, Gennaro Sorrentino, Xinyan Zhang, Renato Galluzzi, and Nicola Amati. 2026. "Exploring Novel Transmission Mechanisms for Rotary Electromagnetic Shock Absorbers" Engineering Proceedings 131, no. 1: 21. https://doi.org/10.3390/engproc2026131021
APA StyleMoscone, G., Bisciaio, G., Sorrentino, G., Zhang, X., Galluzzi, R., & Amati, N. (2026). Exploring Novel Transmission Mechanisms for Rotary Electromagnetic Shock Absorbers. Engineering Proceedings, 131(1), 21. https://doi.org/10.3390/engproc2026131021

