Parameter-Based Finite Element Modeling of Functionally Graded Rotating Disks Subject to Thermal Loadings †
Abstract
1. Introduction
2. Parametric-Based Finite Element Formulation with FGM
3. Examples
3.1. Example 1: Solid Rectangular Column Subjected to Gravitational Field
3.2. Example 2: A Solid Cylinder Subjected to Thermal Load
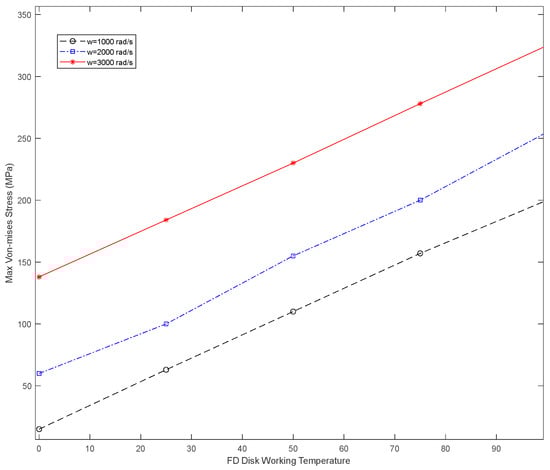
3.3. Example 3: Stress Analysis of Annular Rotating Disks Made of FGM Using PFEMs Subject to Thermal Loadings
4. Conclusions
Author Contributions
Funding
Data Availability Statement
Conflicts of Interest
References
- Naghdabadi, R.; Kordkheili, S.A.H. A finite element formulation for analysis of functionally graded plates and shells. Arch. Appl. Mech. 2005, 74, 375–386. [Google Scholar] [CrossRef]
- Bhowmick, S.; Misra, D.; Saha, K.N. Approximate solution of limit angular speed for externally loaded rotating solid disk. Int. J. Mech. Sci. 2008, 50, 163–174. [Google Scholar] [CrossRef]
- Bayat, M.; Saleem, M.; Sahari, B.B.; Hamouda, A.M.S.; Mahdi, E. Analysis of functionally graded rotating disks with variable thickness. Mech. Res. Commun. 2008, 35, 283–309. [Google Scholar] [CrossRef]
- Asghari, M.; Ghafoori, E. A three-dimensional elasticity solution for functionally graded rotating disks. Compos. Struct. 2010, 92, 1092–1099. [Google Scholar] [CrossRef]
- Çallioğlu, H.; Bektas, N.B.; Sayer, M. Stress analysis of functionally graded rotating discs: Analytical and numerical solutions. Acta Mech. Sin. 2011, 27, 950–955. [Google Scholar] [CrossRef]
- Lin, W.F. Elastic Analysis for Rotating Functionally Graded Annular Disk with Exponentially-Varying Profile and Properties. Math. Probl. Eng. 2020, 2020, 2165804. [Google Scholar] [CrossRef]
- Shahzamanian, M.M.; Shahrjerdi, A.; Sahari, B.B.; Wu, P.D. Steady-State Thermal Analysis of Functionally Graded Rotating Disks Using Finite Element and Analytical Methods. Materials 2022, 15, 5548. [Google Scholar] [CrossRef]
- Fairclough, K.A.; Batra, R.C. Torsion and Extension of Functionally Graded Mooney–Rivlin Cylinders. J. Elast. 2024, 157, 4. [Google Scholar] [CrossRef]
- Hassan, A.H.A.; Kurgan, N. Modeling Functionally Graded Materials in ANSYS APDL. Res. Sq. 2022; preprint. [Google Scholar] [CrossRef]
- Burlayenko, V.N.; Altenbach, H.; Sadowski, T.; Dimitrova, S.D.; Bhaskar, A. Modelling functionally graded materials in heat transfer and thermal stress analysis by means of graded finite elements. Appl. Math. Model. 2017, 45, 422–438. [Google Scholar] [CrossRef]





| Displacement of Direction (mm) | ||
|---|---|---|
| X Direction | Y Direction | |
| FEM (A) | 9.36 × 10−6 | −3.75 × 10−6 |
| PFEM (A) | 9.358 × 10−6 | −3.75 × 10−6 |
| FEM (B) | 8.576 × 10−6 | 1.23 × 10−6 |
| PFEM (B) | 8.577 × 10−6 | 1.23 × 10−6 |
| FEM (C) | 6.68 × 10−6 | −2.34 × 10−6 |
| PFEM (C) | 6.68 × 10−6 | −2.35 × 10−6 |
Disclaimer/Publisher’s Note: The statements, opinions and data contained in all publications are solely those of the individual author(s) and contributor(s) and not of MDPI and/or the editor(s). MDPI and/or the editor(s) disclaim responsibility for any injury to people or property resulting from any ideas, methods, instructions or products referred to in the content. |
© 2025 by the authors. Licensee MDPI, Basel, Switzerland. This article is an open access article distributed under the terms and conditions of the Creative Commons Attribution (CC BY) license (https://creativecommons.org/licenses/by/4.0/).
Share and Cite
Lu, C.-J.; Lin, W.-F. Parameter-Based Finite Element Modeling of Functionally Graded Rotating Disks Subject to Thermal Loadings. Eng. Proc. 2025, 108, 29. https://doi.org/10.3390/engproc2025108029
Lu C-J, Lin W-F. Parameter-Based Finite Element Modeling of Functionally Graded Rotating Disks Subject to Thermal Loadings. Engineering Proceedings. 2025; 108(1):29. https://doi.org/10.3390/engproc2025108029
Chicago/Turabian StyleLu, Chieh-Jung, and Wen-Feng Lin. 2025. "Parameter-Based Finite Element Modeling of Functionally Graded Rotating Disks Subject to Thermal Loadings" Engineering Proceedings 108, no. 1: 29. https://doi.org/10.3390/engproc2025108029
APA StyleLu, C.-J., & Lin, W.-F. (2025). Parameter-Based Finite Element Modeling of Functionally Graded Rotating Disks Subject to Thermal Loadings. Engineering Proceedings, 108(1), 29. https://doi.org/10.3390/engproc2025108029

