An Convenient Synthesis of Ricinine and Its Analogues †
Abstract
:1. Introduction
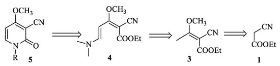
2. Results and Discussion
3. Experimental
- (1)
- Synthesis of ethyl 2-cyano-3-methoxybut-2-enoate (3)
- (2)
- Synthesis of ethyl 2-cyano-5-(dimethylamino)-3-methoxypenta-2,4-dienoate (4)
- (3)
- Synthesis of 2-cyano-3-methoxy-2-pyridones
4. Conclusions
Author Contributions
Funding
Institutional Review Board Statement
Informed Consent Statement
Data Availability Statement
Conflicts of Interest
References
- Tuson, R.V. Note on an alkaloïd contained in the seeds of the Ricinus communis, or castor-oil plant. J. Chem. Soc. 1864, 17, 195–197. [Google Scholar] [CrossRef] [Green Version]
- Siegler, E.H.; Schechter, M.S.; Haller, H.L. Toxicity of Ricin, Ricinine, and Related Compounds to Codling Moth Larvae. J. Econ. Èntomol. 1944, 37, 416–418. [Google Scholar] [CrossRef]
- Abadi, A.; Al-Deeb, O.; Al-Afify, A.; El-Kashef, H. Synthesis of 4-alkyl (aryl)-6-aryl-3-cyano-2(1H)-pyridinones and their 2-imino isosteres as nonsteroidal cardiotonic agents. Farmaco 1999, 54, 195–201. [Google Scholar] [CrossRef]
- Wheeler, T.N.; Shaffer, J.E.; Kenakin, T. Preparation of 3-cyano-6-methylpyridine-2-ones for Treating Cardiovascular Disease. E.P. Patent 419286, 27 March 1991. [Google Scholar]
- Manna, F.; Chimenti, F.; Bolasco, A.; Rossi, F.; Cenicola, M.; D’Amico, M.; Parrillo, C. Antiinflammatory, Analgesic and Antipyfuztic 4,6-Disubstituted 3-Cyanopyridine-2-ones and 3-Cyano- 2-aminopyridines. Pharmacol. Res. 1992, 26, 267–277. [Google Scholar] [CrossRef]
- Abadi, A.H.; Al-Khamees, H.A. 3-Cyano-4,6-disubstituted-2(1H)-imino or oxopyridines: New Antineoplastic Agents with High Selectivity Towards Leukemia Cell Lines. Arch. Pharm. (Weinheim) 1998, 331, 319–324. [Google Scholar] [CrossRef]
- Cocco, M.T.; Congiu, C.; Onnis, V. Synthesis and antitumour activity of 4-hydroxy-2-pyridone derivatives. Eur. J. Med. Chem. 2000, 35, 545–552. [Google Scholar] [CrossRef]
- Abadi, A.H.; Ibrahim, T.; Abouzid, K.M.; Lehmann, J.; Tinsley, H.N.; Gary, B.D.; Piazza, G. Design, synthesis and biological evaluation of novel pyridine derivatives as anticancer agents and phosphodiesterase 3 inhibitors. Bioorgan. Med. Chem. 2009, 17, 5974–5982. [Google Scholar] [CrossRef] [PubMed] [Green Version]
- Späth, E.; Koller, G. Die Synthese des Ricinins. Berichte Dtsch. Chem. Ges. 1923, 56, 2454–2460. [Google Scholar] [CrossRef]
- Marion, L. The Alkaloids: Chemistry and Physiology; Manske, R.H.E., Holmes, H.G., Eds.; Academic Press: New York, NY, USA, 1950. [Google Scholar]
- Mittelbach, M.; Kastner, G.; Junek, H. Ricinin—Einfach synthetisiert. Monatsh. Chem. 1984, 115, 1467–1470. [Google Scholar] [CrossRef]
- Cid, J.M.; Duvey, G.; Tresadern, G.; Nhem, V.; Furnari, R.; Cluzeau, P.; Vega, J.A.; de Lucas, A.I.; Matesanz, E.; Alonso, J.M.; et al. Discovery of 1,4-Disubstituted 3-Cyano-2-pyridones: A New Class of Positive Allosteric Modulators of the Metabotropic Glutamate 2 Receptor. J. Med. Chem. 2012, 55, 2388–2405. [Google Scholar] [CrossRef] [PubMed]
- Cid, J.M.; Tresadern, G.; Duvey, G.; Lütjens, R.; Finn, T.; Rocher, J.P.; Poli, S.; Vega, J.A.; de Lucas, A.I.; Matesanz, E.; et al. Discovery of 1-Butyl-3-chloro-4-(4-phenyl-1-piperidinyl)- (1H)-pyridone (JNJ-40411813): A Novel Positive Allosteric Modulator of the Metabotropic Glutamate 2 Receptor. J. Med. Chem. 2014, 57, 6495–6512. [Google Scholar] [CrossRef]
- Kibou, Z.; Cheikh, N.; Villemin, D.; Choukchou-Braham, N.; Mostefa-Kara, B.; Benabdallah, M. A simple and Efficient Procedure for a 2-Pyridones Synthesis under Solvent-Free Conditions. Int. J. Org. Chem. 2011, 1, 242–249. [Google Scholar] [CrossRef] [Green Version]
- Al-Mousawi, S.M.; Moustafa, M.S.; Abdelkhalik, M.M.; Elnagdi, M.H. Enaminones as building blocks in organic syntheses: On the reaction of 3-dimethylamino-2-propenones with malononitrile. Arkivoc 2009, 2009, 1–10. [Google Scholar] [CrossRef] [Green Version]
- Michael, A.; Eckstein, O. Ueber die Bildung von C-Acylderivaten aus Cyanessigester durch Anwendung von Pyridin und Chinolin. Ber. Dtsch. Chem. Ges. 1905, 38, 50–53. [Google Scholar] [CrossRef] [Green Version]
- Nicholl, L.; Tarsio, P.; Point, S.; Blohm, H. Process for Preparation of Oxy Alkylidene Compounds. U.S. Patent 2824121A, 18 February 1958. [Google Scholar]
- Kasum, B.; Prager, R.H. A classical approach to the synthesis of Perloline. Aust. J. Chem. 1983, 36, 1455–1467. [Google Scholar] [CrossRef]
- Torres, M.; Gil, S.; Parra, M. New Synthetic Methods to 2-Pyridone Rings. Curr. Org. Chem. 2005, 9, 1757–1779. [Google Scholar] [CrossRef]







| Entry | Amine | Product | Yield (%) |
|---|---|---|---|
| a | methylamine | 5a | 61 |
| b | n-butylamine | 5b | 92 |
| c | n-octylamine | 5c | 95 |
| d | benzylamine | 5d | 92 |
| e | α-methylbenzylamine | 5e | 87 |
| f | histamine | 5f | 60 |
| g | tryptamine | 5g | 58 |
![]() | ![]() | ![]() | ![]() |
![]() | ![]() | ![]() |
Publisher’s Note: MDPI stays neutral with regard to jurisdictional claims in published maps and institutional affiliations. |
© 2022 by the authors. Licensee MDPI, Basel, Switzerland. This article is an open access article distributed under the terms and conditions of the Creative Commons Attribution (CC BY) license (https://creativecommons.org/licenses/by/4.0/).
Share and Cite
Villemin, D.; Faucher, F.; Bar, N.; Kibou, Z.; Choukchou-Braham, N. An Convenient Synthesis of Ricinine and Its Analogues. Chem. Proc. 2022, 8, 74. https://doi.org/10.3390/ecsoc-25-11676
Villemin D, Faucher F, Bar N, Kibou Z, Choukchou-Braham N. An Convenient Synthesis of Ricinine and Its Analogues. Chemistry Proceedings. 2022; 8(1):74. https://doi.org/10.3390/ecsoc-25-11676
Chicago/Turabian StyleVillemin, Didier, Florian Faucher, Nathalie Bar, Zahira Kibou, and Noureddine Choukchou-Braham. 2022. "An Convenient Synthesis of Ricinine and Its Analogues" Chemistry Proceedings 8, no. 1: 74. https://doi.org/10.3390/ecsoc-25-11676
APA StyleVillemin, D., Faucher, F., Bar, N., Kibou, Z., & Choukchou-Braham, N. (2022). An Convenient Synthesis of Ricinine and Its Analogues. Chemistry Proceedings, 8(1), 74. https://doi.org/10.3390/ecsoc-25-11676








