An Efficient Synthesis and Antibacterial Activity of Some Novel 3,4–Dihydropyrimidin-2-(1H)-Ones †
Abstract
:1. Introduction
2. Results and Discussion
2.1. General Procedure for Synthesis of Dihydropyrimidinones
2.2. Synthesis of Bis-Dihydropyrimidinones
2.3. General Procedure for Synthesis of Bis-Dihydropyrimidiones
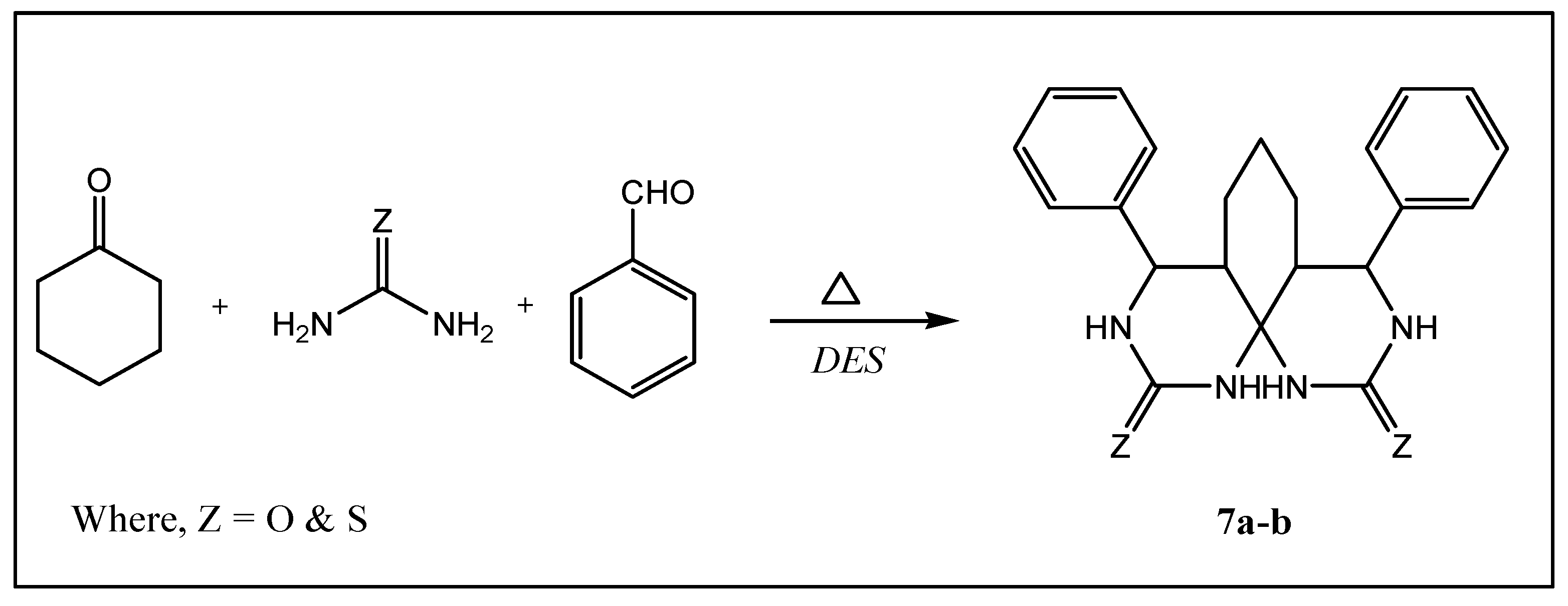
2.4. Synthesis of Spirofused Heterotricyclic Compounds
Antibacterial Activity
3. Conclusions
Author Contributions
Funding
Institutional Review Board Statement
Informed Consent Statement
Data Availability Statement
Acknowledgments
Conflicts of Interest
References
- Kappe, C.O. 100 years of the biginelli dihydropyrimidine synthesis. Tetrahedron 1993, 49, 6937–6963. [Google Scholar] [CrossRef]
- Atwal, K.S.; Swanson, B.N.; Unger, S.E.; Floyd, D.M.; Moreland, S.; Hedberg, A.; O’Reilly, B.C. 3-Carbamoyl-4-aryl-1,2,3,4-tetrahydro- 6- methyl-5-pyrimidinecarboxylic Acid Esters as Orally Effective, Antihypertensive Agents. J. Med. Chem. 1991, 34, 806–811. [Google Scholar] [CrossRef]
- Rovnyak, G.C.; Atwal, K.S.; Hedberg, A.; Kimball, S.D.; Moreland, S.; Gougoutas, J.Z.; O’Reilly, B.C.; Schwartz, J.; Malley, M.F. Dihydropyrimidine calcium channel blockers. 4. Basic 3-substituted-4-aryl-1,4-dihydropyrimidine-5-carboxylic acid esters. Potent antihypertensive agents. J. Med. Chem. 1992, 35, 3254–3263. [Google Scholar] [CrossRef]
- Grover, G.J.; Dzwonczyk, S.; McMullen, D.M.; Normandin, D.E.; Parham, C.S.; Sleph, P.G.; Moreland, S. Pharmacologic Profile of the Dihydropyrimidine Calcium Channel Blockers SQ 32,547 and SQ 32,946. J. Cardiovasc. Pharmacol. 1995, 26, 289–294. [Google Scholar] [CrossRef]
- Nagarathnam, D.; Miao, S.W.; Lagu, B.; Chiu, G.; Fang, J.; Dhar, T.G.M.; Zhang, J.; Tyagarajan, S.; Marzabadi, M.R.; Zhang, F.Q.; et al. Design and Synthesis of Novel R1a Adrenoceptor- Selective Antagonists. Structure-Activity Relationship in Dihydropyrimidones. J. Med. Chem. 1999, 42, 4764–4777. [Google Scholar] [CrossRef]
- Barrow, J.C.; Nantermet, P.G.; Selnick, H.G.; Glass, K.L.; Rittle, K.E.; Gilbert, K.F.; Steele, T.G.; Homnick, C.F.; Freidinger, R.M.; Ransom, R.W.; et al. In Vitro and in Vivo Evaluation of Dihydropyrimidinone C-5 Amides as Potent and Selective R1a Receptor Antagonists for the Treatment of Benign Prostatic Hyperplasia. J. Med. Chem. 2000, 43, 2703–2718. [Google Scholar] [CrossRef]
- Mayer, T.U.; Kapoor, T.M.; Haggarty, S.J.; King, R.W.; Schreiber, S.L.; Mitchison, T.J. Small-Molecule Inhibitor of Mitotic Spindle Bipolarity Indentified in a Phenotype-Based Screen. Science 1999, 286, 971–974. [Google Scholar] [CrossRef] [Green Version]
- Haggarty, S.J.; Mayer, T.U.; Miyamoto, D.T.; Fathi, R.; King, R.W.; Mitchison, T.J.; Schreiber, S.L. Dissecting Cellular Processes Using Small Molecules: Identification of Colchicine- Like, Taxol-Like and other Small Molecules that Perturb Mitosis. Chem. Biol. 2000, 7, 275–286. [Google Scholar] [CrossRef] [Green Version]
- Heys, L.; Moore, C.G.; Murphy, P.J. The Guanidine Metabolites of Ptilocaulis Spiculifer and Related Compounds; Isolation and Synthesis. Chem. Soc. Rev. 2000, 29, 57–67. [Google Scholar] [CrossRef]
- Patil, A.D.; Kumar, N.V.; Kokke, W.C.; Bean, M.F.; Freyer, A.J.; De Brosse, C.; Mai, S.; Truneh, A.; Carte, B. Novel Alkaloids from the Sponge Batzella sp.: Inhibitors of HIV gp120-Human CD4 Binding. J. Org. Chem. 1995, 60, 1182–1188. [Google Scholar] [CrossRef]
- Kappe, C.O.; Falsone, S.F. Polyphosphate Ester-Mediated Synthesis of Dihydropyrimidines. Improved Conditions for the Biginelli Reaction. Synlett 1998, 71, 718–720. [Google Scholar] [CrossRef]
- Hu, E.H.; Sidler, A.D.R.; Dolling, U.-H. Unprecedented Catalytic Three Component One-Pot Condensation Reaction: An Efficient Synthesis of 5-Alkoxycarbonyl- 4-aryl-3,4-dihydropyrimidin-2(1H)-ones. J. Org. Chem. 1998, 63, 3454–3457. [Google Scholar] [CrossRef]
- Kappe, C.O.; Kumar, D.; Varma, R.S. Microwave-Assisted High- Speed Parallel Synthesis of 4-Aryl-3,4-dihydropyrimidin-2(1H)-ones using a Solventless Biginelli Condensation Protocol. Synthesis 1999, 1799–1803. [Google Scholar] [CrossRef]
- Bigi, F.; Carloni, S.; Frullanti, B.; Maggi, R.; Sartori, G. A Revision of the Biginelli Reaction Under Solid Acid Catalysis. Solvent-free Synthesis of Dihydropyrimidines over Montmorillonite KSF. Tetrahedron Lett. 1999, 40, 3465–3468. [Google Scholar] [CrossRef]
- Lu, J.; Ma, H. Iron(III)-Catalyzed Synthesis of Dihydropyrimidinones. Improved Conditions for the Biginelli Reaction. Synlett 2000, 63–64. [Google Scholar] [CrossRef]
- Ma, Y.; Qian, C.; Wang, L.; Yang, M. Lanthanide Triflate Catalyzed Biginelli Reaction. One-Pot Synthesis of Dihydropyrimidones under Solvent-Free Conditions. J. Org. Chem. 2000, 65, 3864–3868. [Google Scholar] [CrossRef]
- Ranu, B.C.; Hajra, A.; Jana, U. Indium(III) Chloride-Catalyzed One-Pot Synthesis of Dihydropyrimidinones by a Three-Component Coupling of 1,3- Dicarbonyl Compounds, Aldehydes, and Urea: An Improved Procedure for the Biginell Reaction. J. Org. Chem. 2000, 65, 6270–6272. [Google Scholar] [CrossRef]
- Lu, J.; Bai, Y.; Wang, Z.; Yang, B.; Ma, H. One-pot synthesis of 3,4-dihydropyrimidin-2(1H)-ones using lanthanum chloride as a catalyst. Tetrahedron Lett. 2000, 41, 9075. [Google Scholar] [CrossRef]
- Bussolari, J.C.; McDonnell, P.A.J. Bismuth (III) nitrate catalyzed one-pot synthesis of 3,4-dihydro-pyrimidin-2-(1H)-ones: An improved protocol for the Biginelli reaction. Org. Chem. 2000, 65, 6777. [Google Scholar] [CrossRef]
- Yadav, J.S.; Reddy, B.V.S.; Reddy, K.B.; Raj, K.S.; Prasad, A.R. Ultrasound-accelerated synthesis of 3,4-dihydropyrimidin-2(1H)-ones with ceric ammonium nitrate. J. Chem. Soc. 2001, 1939–1941. [Google Scholar]
- Kumar, K.A.; Kasthuraiah, M.; Reddy, C.S.; Reddy, C.D. Mn (OAc) 3·2H2O-mediated three-component, one-pot, condensation reaction: An efficient synthesis of 4-aryl-substituted 3, 4-dihydropyrimidin-2-ones. Tetrahedron Lett. 2004, 42, 7873. [Google Scholar] [CrossRef]
- Dondoni, A.; Massi, A. Parallel synthesis of dihydropyrimidinones using Yb(III)-resin and polymer-supported scavengers under solvent-free conditions. A green chemistry approach to the Biginelli reaction. Tetrahedron Lett. 2001, 42, 7975. [Google Scholar] [CrossRef]
- Peng, J.; Deng, Y. Ionic liquids catalyzed Biginelli reaction under solvent-free conditions. Tetrahedron Lett. 2001, 42, 917. [Google Scholar] [CrossRef]
- Ramalinga, K.; Vijayalakshmi, P.; Kaimal, T.N.B. Bismuth(III)-Catalyzed Synthesis of Dihydropyrimidinones: Improved Protocol Conditions for the Biginelli Reaction. Synlett 2001, 6, 863. [Google Scholar] [CrossRef]
- Yadav, J.S.; Subba Reddy, B.V.; Srinivas, R.; Venugopal, C.; Ramalingam, T. LiClO4-Catalyzed One-Pot Synthesis of Dihydropyrimidinones: An Improved Protocol for Biginelli Reaction. Synthesis 2001, 9, 1341. [Google Scholar] [CrossRef]
- Fu, N.Y.; Yuan, Y.F.; Cao, Z.; Wang, S.W.; Wang, J.T.; Peppe, C. Indium(III) bromide-catalyzed preparation of dihydropyrimidinones: Improved protocol conditions for the Biginelli reaction. Tetrahedron 2002, 58, 4801. [Google Scholar] [CrossRef]
- Lu, J.; Bai, Y. Catalysis of the Biginelli Reaction by Ferric and Nickel Chloride Hexahydrates. One-Pot Synthesis of 3,4-Dihydropyrimidin-2(1H)-ones. Synthesis 2002, 4, 466. [Google Scholar] [CrossRef]
- Reddy, C.V.; Mahesh, M.; Raju, P.V.K.; Babu, T.R.; Reddy, V.V.N. Zirconium(IV) chloride catalyzed one-pot synthesis of 3,4-dihydropyrimidin-2(1H)-ones. Tetrahedron Lett. 2002, 43, 2657. [Google Scholar] [CrossRef]
- Prabhakar, A.S.; Dewkar; Sudalai, A. Cu(OTf)2: A reusable catalyst for high-yield synthesis of 3,4-dihydropyrimidin-2(1H)-ones. Tetrahedron Lett. 2003, 44, 3305. [Google Scholar]
- Srisnivas Rao, A.; Varala, R.; Alam, M.M. Chemoselective Michael Type Addition of Aliphatic Amines to α,β-Ethylenic Compounds Using Bismuth Triflate Catalyst. Synlett 2003, 5, 720–722. [Google Scholar]
- Maiti, G.; Kundu, P.; Guin, C. One-pot synthesis of dihydropyrimidinones catalysed by lithium bromide: An improved procedure for the Biginelli reaction. Tetrahedron Lett. 2003, 44, 2757. [Google Scholar] [CrossRef]
- Wang, L.; Qian, C.; Tian, H.; Yun, M.A. Lanthanide Triflate Catalyzed One-Pot Synthesis of Dihydropyrimidin-2(1H)-thiones by a Three-Component of 1,3-Dicarbonyl Compounds, Aldehydes, and Thiourea Using a Solvent-Free Biginelli Condensation. Syn. Comm. 2003, 33, 1459. [Google Scholar] [CrossRef]
- Shaabani, A.; Bazgir, A.; Teimouri, F. Ammonium chloride-catalyzed one-pot synthesis of 3,4-dihydropyrimidin-2-(1H)-ones under solvent-free conditions. Tetrahedron Lett. 2003, 44, 857. [Google Scholar] [CrossRef]
- Salehi, H.; Guo, Q.X. A Facile and Efficient One-Pot Synthesis of Dihydropyrimidinones Catalyzed by Magnesium Bromide Under Solvent-Free Conditions. Syn. Comm. 2004, 34, 171. [Google Scholar]
- Adharvana Chari, M.; Syamasundar, K.J. Silicagel supported sodium hydrogensulfate as a heterogenous catalyst for high yield synthesis of 3,4-dihydropyrimidin-2 (1H)-ones. Mol. Catal. A 2004, 221, 137. [Google Scholar] [CrossRef]
- Ryabukin, S.V.; Plaskon, A.S.; Ostapehuk, E.N.; Volochnyuk, D.M.; Tolmachev, A.A. N-Substituted Ureas and Thioureas in Biginelli Reaction Promoted by Chlorotrimethyllsilane: Convenient Synthesis of N1-Alkyl-,and N1,N3-Dialkyl-3,4-Dihydropyrimidin-2(1H)-(thi)ones. Synthesis 2007, 417–427. [Google Scholar]
- Schauble, J.H.; Trauffer, E.A.; Deshpande, P.P.; Evans, R.D. Ruthenium(III) Chloride-Catalyzed One-Pot Synthesis of 3,4-Dihydropyrimidin-2-(1H)-ones under Solvent-Free Conditions. Synthesis 2005, 1333–1339. [Google Scholar] [CrossRef]
- Hazarkhani, H.; Karimi, B. 4. N-Bromosuccinimide as an Almost Neutral Catalyst for Efficient Synthesis of Dihydropyrimidinones under Microwave Irradiation. Synthesis 2004, 1239–1242. [Google Scholar] [CrossRef]
- Petersen, H. Syntheses of Cyclic Ureas by R-Ureidoalkylation. Synthesis 1973, 243–292. [Google Scholar] [CrossRef]
- Kappe, C.O.; Falsone, F.; Fabian, W.M.F.; Belaj, F. Isolation, Conformational Analysis and X-Ray Structure Determination of a Trifluoromethyl-Stabilized Hexahydropyrimidines An Intermediate in the Biginelli Reaction. Heterocycles 1999, 51, 77–84. [Google Scholar] [CrossRef]
- Saloutin, V.I.; Burgat, Y.V.; Kuzueva, O.G.; Kappe, C.O.; Chupakhin, O.N. Biginelli Condensations of Fluorinated 3-Oxo Esters and 1,3-Diketones. J. Fluorine Chem. 2000, 103, 17–23. [Google Scholar] [CrossRef]




| Entry * | R1 | R2 | Ar | Products | Reaction Time (h) | Yield # (%) | m.p. (°C) |
|---|---|---|---|---|---|---|---|
| 1 | CH3 | OC2H5 | C6H5- | 4a | 2 | 81 | 204–205 |
| 2 | CH3 | CH3 | C6H5-CH = CH- | 4b | 1.5 | 80 | 171–173 |
| 3 | CH3 | OC2H5 | C6H5-CH = CH- | 4c | 1.5 | 76 | 231–232 |
| 4 | CH3 | CH3 | p-OH,m-OCH3 C6H5- | 4d | 3 | 75 | 210–213 |
| 5 | CH3 | OC2H5 | p-OH,m-OCH3 C6H5- | 4e | 3 | 81 | 233–235 |
| 6 | CH3 | OC2H5 | -C6H5CHO | 4f | 5 | 70 | > 300 |
| Entry * | R1 | R2 | Products | Reaction Time (h) | Yield # (%) | m.p. (°C) |
|---|---|---|---|---|---|---|
| 7 | CH3 | OC2H5 | 5 | 5 | 75 | >300 |
| 8 | CH3 | CH3 | 6 | 4 | 65 | >300 |
| Entry * | Z | Products | Reaction Time (hrs) | Yield # (%) | m.p. (°C) |
|---|---|---|---|---|---|
| 9 | O | 7a | 6 | 75 | 328 |
| 10 | S | 7b | 6 | 78 | >360 |
| Entry | Compounds | Zones of Inhibition in mm at Concentration of 20 µg/mL | |||
|---|---|---|---|---|---|
| E. coli | P. vulgaris | S. aureus | B. subtilis | ||
| 1 | 4a | — | — | — | — |
| 2 | 4b | — | — | — | — |
| 3 | 4c | — | — | — | — |
| 4 | 4d | — | — | — | — |
| 5 | 4e | — | 03 | — | 03 |
| 6 | 4f | — | — | 01 | — |
| 7 | 5 | — | — | 04 | — |
| 8 | 6 | — | — | — | — |
| Entry | Compounds | Zones of Inhibition in mm at Concentration of 20 µg/mL | |||
|---|---|---|---|---|---|
| B. subtilis | S. aureus | P. vulgaris | P. acurginosa | ||
| 9 | 7a | 07 | 9 | 15 | 06 |
| 10 | 7b | 17 | 15 | 19 | 09 |
Publisher’s Note: MDPI stays neutral with regard to jurisdictional claims in published maps and institutional affiliations. |
© 2021 by the authors. Licensee MDPI, Basel, Switzerland. This article is an open access article distributed under the terms and conditions of the Creative Commons Attribution (CC BY) license (https://creativecommons.org/licenses/by/4.0/).
Share and Cite
Pawar, N.S.; Patil, P.N.; Pachpande, R.N. An Efficient Synthesis and Antibacterial Activity of Some Novel 3,4–Dihydropyrimidin-2-(1H)-Ones. Chem. Proc. 2022, 8, 37. https://doi.org/10.3390/ecsoc-25-11720
Pawar NS, Patil PN, Pachpande RN. An Efficient Synthesis and Antibacterial Activity of Some Novel 3,4–Dihydropyrimidin-2-(1H)-Ones. Chemistry Proceedings. 2022; 8(1):37. https://doi.org/10.3390/ecsoc-25-11720
Chicago/Turabian StylePawar, Nilesh S., Pramod N. Patil, and Rajashri N. Pachpande. 2022. "An Efficient Synthesis and Antibacterial Activity of Some Novel 3,4–Dihydropyrimidin-2-(1H)-Ones" Chemistry Proceedings 8, no. 1: 37. https://doi.org/10.3390/ecsoc-25-11720
APA StylePawar, N. S., Patil, P. N., & Pachpande, R. N. (2022). An Efficient Synthesis and Antibacterial Activity of Some Novel 3,4–Dihydropyrimidin-2-(1H)-Ones. Chemistry Proceedings, 8(1), 37. https://doi.org/10.3390/ecsoc-25-11720

