Poly(bromocresol purple)-Based Voltammetric Sensor for the Simultaneous Quantification of Ferulic Acid and Vanillin †
Abstract
:1. Introduction
2. Materials and Methods
3. Results and Discussion
3.1. Characterization of the Electrodes
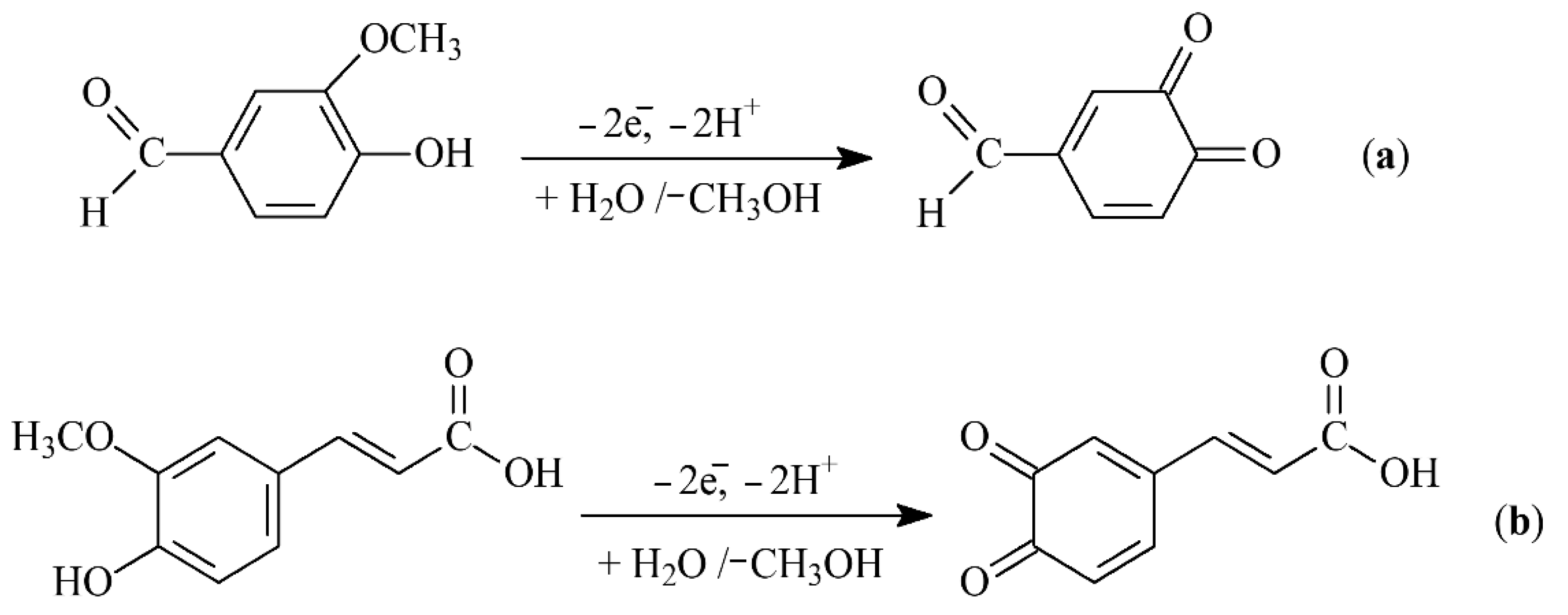
3.2. Simultaneous Quantification of Natural Phenolic Antioxidants
Funding
Institutional Review Board Statement
Informed Consent Statement
Data Availability Statement
Conflicts of Interest
References
- Bhuyan, D.J.; Basu, A. Phenolic Compounds potential health Benefits and toxicity. In Utilisation of Bioactive Compounds from Agricultural and Food Waste, 2nd ed.; Vuong, Q.V., Ed.; CRC Press: Boca Raton, FL, USA, 2017; Chapter 2; pp. 27–59. [Google Scholar]
- Gallage, N.J.; Hansen, E.H.; Kannangara, R.; Olsen, C.E.; Motawia, M.S.; Jørgensen, K.; Holme, I.; Hebelstrup, K.; Grisoni, M.; Møller, B.L. Vanillin formation from ferulic acid in Vanilla planifolia is catalysed by a single enzyme. Nat. Commun. 2014, 5, 4037. [Google Scholar] [CrossRef] [PubMed] [Green Version]
- Ranadive, A.S. Vanillin and related flavor compounds in vanilla extracts made from beans of various global origins. J. Agric. Food Chem. 1992, 40, 1922–1924. [Google Scholar] [CrossRef]
- Sinha, A.K.; Verma, S.C.; Sharma, U.K. Development and validation of an RP-HPLC method for quantitative determination of vanillin and related phenolic compounds in Vanilla planifolia. J. Sep. Sci. 2007, 30, 15–20. [Google Scholar] [CrossRef] [PubMed]
- Hingse, S.S.; Digole, S.B.; Annapure, U.S. Method development for simultaneous detection of ferulic acid and vanillin using high-performancethin layer chromatography. J. Anal. Sci. Technol. 2014, 5, 21. [Google Scholar] [CrossRef] [Green Version]
- Ziyatdinova, G.K.; Guss, E.V.; Morozova, E.V.; Budnikov, H.C. An electrode based on electropolymerized sunset yellow for the simultaneous voltammetric determination of chlorogenic and ferulic acids. J. Anal. Chem. 2021, 76, 371–380. [Google Scholar] [CrossRef]
- Zhupanova, A.; Guss, E.; Ziyatdinova, G.; Budnikov, H. Simultaneous voltammetric determination of flavanones using an electrode based on functionalized single-walled carbon nanotubes and polyaluminon. J. Anal. Lett. 2020, 53, 2170–2189. [Google Scholar] [CrossRef]
- Guss, E.V.; Ziyatdinova, G.K.; Zhupanova, A.S.; Budnikov, H.C. Voltammetric determination of quercetin and rutin in their simultaneous presence on an electrode modified with polythymolphthalein. J. Anal. Chem. 2020, 75, 526–535. [Google Scholar] [CrossRef]
- Yang, G.-J.; Qu, X.-L.; Zhu, A.-P.; Wang, C.-Y.; Qu, Q.-S.; Hu, X.-Y. Characterization, growth mechanism and application of network poly(bromophenol blue). J. Electroanal. Chem. 2007, 604, 48–56. [Google Scholar] [CrossRef]




Publisher’s Note: MDPI stays neutral with regard to jurisdictional claims in published maps and institutional affiliations. |
© 2021 by the authors. Licensee MDPI, Basel, Switzerland. This article is an open access article distributed under the terms and conditions of the Creative Commons Attribution (CC BY) license (https://creativecommons.org/licenses/by/4.0/).
Share and Cite
Zhupanova, A.; Ziyatdinova, G. Poly(bromocresol purple)-Based Voltammetric Sensor for the Simultaneous Quantification of Ferulic Acid and Vanillin. Chem. Proc. 2021, 5, 47. https://doi.org/10.3390/CSAC2021-10441
Zhupanova A, Ziyatdinova G. Poly(bromocresol purple)-Based Voltammetric Sensor for the Simultaneous Quantification of Ferulic Acid and Vanillin. Chemistry Proceedings. 2021; 5(1):47. https://doi.org/10.3390/CSAC2021-10441
Chicago/Turabian StyleZhupanova, Anastasiya, and Guzel Ziyatdinova. 2021. "Poly(bromocresol purple)-Based Voltammetric Sensor for the Simultaneous Quantification of Ferulic Acid and Vanillin" Chemistry Proceedings 5, no. 1: 47. https://doi.org/10.3390/CSAC2021-10441
APA StyleZhupanova, A., & Ziyatdinova, G. (2021). Poly(bromocresol purple)-Based Voltammetric Sensor for the Simultaneous Quantification of Ferulic Acid and Vanillin. Chemistry Proceedings, 5(1), 47. https://doi.org/10.3390/CSAC2021-10441

