Carvacrol Derivatives with Potential Insecticidal Activity †
Abstract
:1. Introduction
2. Materials and Methods
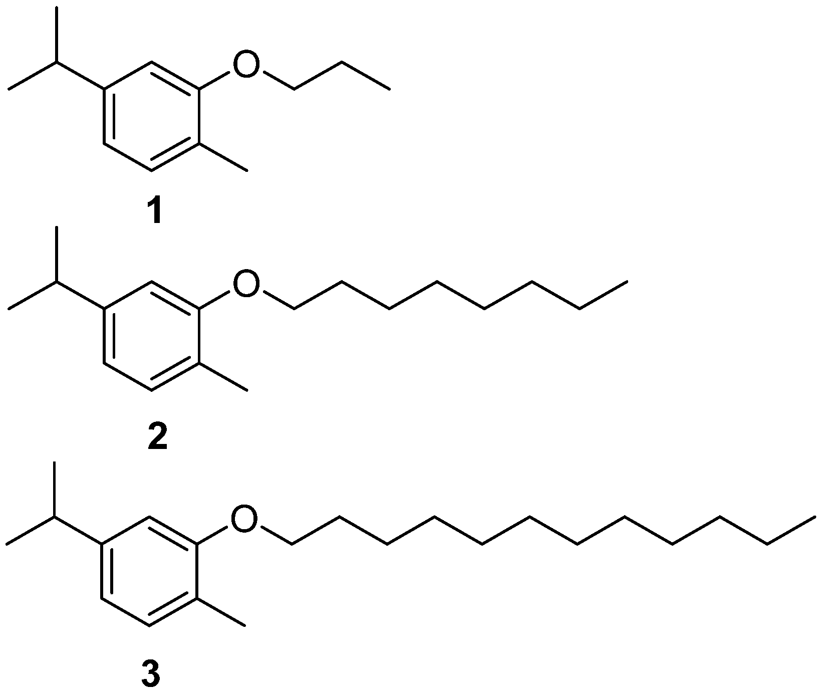
2.1. Typical Procedure for Carvacrol Derivatives 1–3 (Illustrated for 1)
2.2. Cell Culture
2.3. Viability Assessment
3. Results and Discussion
3.1. Synthesis of Carvacrol Derivatives 1–3
3.2. Impact of Carvacrol Derivatives 1–3 in Cell Viability
4. Conclusions
Author Contributions
Funding
Conflicts of Interest
References
- Oliveira, J.L.; Campos, E.V.R.; Fraceto, L.F. Recent developments and challenges for nanoscale formulation of botanical pesticides for use in sustainable agriculture. J. Agric. Food Chem. 2018, 66, 8898–8913. [Google Scholar] [CrossRef] [PubMed]
- Fountain, E.D.; Wratten, S.D. Conservation biological control and biopesticides in agricultural. In Encyclopedia of Ecology, 2nd ed.; Fath, B., Ed.; Elsevier: Amsterdam, 2013; Volume 1, pp. 377–381. [Google Scholar] [CrossRef]
- Bendre, R.; Bagul, S.; Rajput, J. Carvacrol: An excellent natural pest control agent. Nat. Prod. Chem. Res. 2018, 6, 1–3. [Google Scholar] [CrossRef]
- Magierowicz, K.; Górska-Drabik, E.; Sempruch, C. The insecticidal activity of Satureja hortensis essential oil and its active ingredient -carvacrol against Acrobasis advenella (Zinck.) (Lepidoptera, Pyralidae). Pestic. Biochem. Physiol. 2019, 153, 122–128. [Google Scholar] [CrossRef] [PubMed]
- Mossa, A.H. Green pesticides: Essential oils as biopesticides in insect-pest Management. J. Environ. Sci. Technol. 2016, 9, 354–378. [Google Scholar] [CrossRef]
- Isman, M.B. Botanical insecticides: A global perspective. In Biopesticides: State of the Art and Future Opportunities; Gross, A.D., Coasts, L.R., Duke, S.O., Seiber, J.N., Eds.; American Chemical Society: Washington, DC, USA, 2014; Volume 1172, pp. 21–30. [Google Scholar] [CrossRef]
- Campos, E.V.R.; Proença, P.L.F.; Oliveira, J.L.; Pereira, A.E.S.; Ribeiro, L.N.M.; Fernandes, F.O.; Gonçalves, K.C.; Polanczyk, R.A.; Pasquoto-Stigliani, T.; Lima, R.; et al. Carvacrol and linalool co-loaded in β-cyclodextrin-grafted chitosan nanoparticles as sustainable biopesticide aiming pest control. Sci. Rep. 2018, 8, 1–14. [Google Scholar] [CrossRef] [PubMed]
- Youssefi, M.R.; Tabari, M.A.; Esfandiari, A.; Kazemi, S.; Moghadamnia, A.A.; Sut, S.; Dall’Acqua, S.; Benelli, G.; Maggi, F. Efficacy of two monoterpenoids, carvacrol and thymol, and their combinations against eggs and larvae of the West Nile Vector Culex pipiens. Molecules 2019, 24, 1–11. [Google Scholar] [CrossRef] [PubMed]
- Friedman, M. Chemistry and multibeneficial bioactivities of carvacrol (4-isopropyl-2-methylphenol), a component of essential oils produced by aromatic plants and spices. J. Agric. Food Chem. 2014, 62, 7652–7670. [Google Scholar] [CrossRef] [PubMed]


Publisher’s Note: MDPI stays neutral with regard to jurisdictional claims in published maps and institutional affiliations. |
© 2020 by the authors. Licensee MDPI, Basel, Switzerland. This article is an open access article distributed under the terms and conditions of the Creative Commons Attribution (CC BY) license (https://creativecommons.org/licenses/by/4.0/).
Share and Cite
Natal, C.M.; Pereira, D.M.; Pereira, R.B.; Fernandes, M.J.G.; Fortes, A.G.; Castanheira, E.M.S.; Gonçalves, M.S.T. Carvacrol Derivatives with Potential Insecticidal Activity. Chem. Proc. 2021, 3, 37. https://doi.org/10.3390/ecsoc-24-08334
Natal CM, Pereira DM, Pereira RB, Fernandes MJG, Fortes AG, Castanheira EMS, Gonçalves MST. Carvacrol Derivatives with Potential Insecticidal Activity. Chemistry Proceedings. 2021; 3(1):37. https://doi.org/10.3390/ecsoc-24-08334
Chicago/Turabian StyleNatal, Carolina M., David M. Pereira, Renato B. Pereira, Maria José G. Fernandes, A. Gil Fortes, Elisabete M. S. Castanheira, and M. Sameiro T. Gonçalves. 2021. "Carvacrol Derivatives with Potential Insecticidal Activity" Chemistry Proceedings 3, no. 1: 37. https://doi.org/10.3390/ecsoc-24-08334
APA StyleNatal, C. M., Pereira, D. M., Pereira, R. B., Fernandes, M. J. G., Fortes, A. G., Castanheira, E. M. S., & Gonçalves, M. S. T. (2021). Carvacrol Derivatives with Potential Insecticidal Activity. Chemistry Proceedings, 3(1), 37. https://doi.org/10.3390/ecsoc-24-08334

