Electro Synthesis and Characterization of PANI and PANI/ZnO Composites Films †
Abstract
:1. Introduction
2. Experiments Procedures
2.1. Materials and Instrumentation
2.2. Preparation of the PANI and (PANI/ZnO) Composite Film
3. Results and Discussion
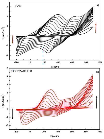
3.1. Cyclic Voltammetry
3.2. Mott–Schottky Analysis
3.3. Scanning Electron Microscopy (SEM)
3.4. UV-VIS Study
3.5. FTIR Characterization
4. Conclusions
Funding
Conflicts of Interest
References
- Patil, S.V.; Bulakhe, R.N.; Deshmukh, P.R.; Shinde, N.M.; Lokhande, C.D. LPG sensing by p-polyaniline/n-PbS heterojunctionjunction capacitance structure. Sens. Actuators 2013, 201, 1. [Google Scholar] [CrossRef]
- Li, X.G.; Kang, Y.; Huang, M.R. Optimization of Polymerization Conditions of Furan with Aniline for Variable Conducting Polymers. J. Comb. Chem. 2006, 8, 670. [Google Scholar] [CrossRef] [PubMed]
- Harfouche, N.; Nessark, B.; Perrin, F.X. Electrochemical and surface characterization of composite material: Polyaniline/LiMn2O4. J. Electroanal. Chem. 2015, 756, 179. [Google Scholar] [CrossRef]
- Shonaike, G.O.; Advani, S.G.; Materials, A.P. Structure Property Relationships; CRS Press: Boca Raton, FL, USA, 2003. [Google Scholar]
- Hwang, J.; Son, J.I.; Shim, Y.-B. Electrochromic and electrochemical properties of 3-pyridinyl and 1,10-phenanthroline bearing poly(2,5-di(2-thienyl)-1H-pyrrole) derivatives. Sol. Energy Mater. Sol. Cells 2010, 94, 1286. [Google Scholar] [CrossRef]
- Seol, H.; Kang, D.M.; Shin, S.C.; Shim, Y.-B. Electrochemical synthesis and characterization of poly[3′-(4-formyl-3-hydroxyphenyl)-5,2′:5′,2″-terthiophene] film. Synth Met. 2006, 156, 65. [Google Scholar] [CrossRef]
- Janata, J.; Josowicz, M. Conducting polymers in electronic chemical sensors. Nat. Mater. 2003, 2, 19. [Google Scholar] [CrossRef]
- Chandra, P.; Noh, H.-B.; Shim, Y.-B. Cancer cell detection based on the interaction between an anticancer drug and cell membrane components. Chem. Commun. 2013, 49, 1900. [Google Scholar] [CrossRef]
- Babel, A.; Jenekhe, S.A. High Electron Mobility in Ladder Polymer Field-Effect Transistors. J. Am. Chem. Soc. 2003, 125, 13656. [Google Scholar] [CrossRef]
- Katz, H.E.; Bao, Z.; Gilat, S.L. Synthetic Chemistry for Ultrapure, Processable, and High-Mobility Organic Transistor Semiconductors. Acc. Chem. Res. 2001, 34, 359. [Google Scholar] [CrossRef]
- He, Y. A novel emulsion route to sub-micrometer polyaniline/nano-ZnO composite fibers. Appl. Surf. Sci. 2005, 249, 1. [Google Scholar] [CrossRef]
- Fu, Y.; Elsenbaumer, R.L. Thermochemistry and kinetics of chemical polymerization of aniline determined by solution calorimetry. Chem. Mater. 1994, 6, 671. [Google Scholar]
- Leclerk, M.; D’Aprano, G.; Zotti, G. Structure-property relationships in polyaniline derivatives. Synth. Met. 1993, 55, 1527. [Google Scholar] [CrossRef]
- Dutta, K.; De, S.K. Optical and nonlinear electrical properties of SnO2–polyaniline nanocomposites. Mater. Lett. 2007, 61, 4967. [Google Scholar] [CrossRef]
- Abaci, S.; Nessark, B.; Boukherroub, R.; Lmimouni, K. Electrosynthesis and analysis of the electrochemical properties of a composite material: Polyaniline+ titanium oxide. Thin Solid Films 2011, 519, 3596. [Google Scholar] [CrossRef]
- Goyal, S.L.; Sharma, S.; Jain, D.; Kishore, N. Study of structural, electrical and thermal properties of polyaniline/ZnO composites synthesized by in- situ polymerization. Indian J. Pure Appl. Phys. 2015, 53, 456. [Google Scholar]
- Huang, G.; Xia, H.; Shi, H.Q.; Fu, S. Controllable synthesis of novel sandwiched polyaniline/ZnO/polyaniline free-standing nanocomposite films. J. Polym. Sci. PartA Polym. Chem. 2012, 50, 2794. [Google Scholar] [CrossRef]
- Khan, A.A.; Khalid, M. Synthesis of nano-sized ZnO and polyaniline-zinc oxide composite: Characterization, stability in terms of DC electrical conductivity retention and application in ammonia vapor detection. J. App. Polym. Sci. 2010, 117, 1601. [Google Scholar] [CrossRef]
- Olad, A.; Nosrati, R. Preparation and corrosion resistance of nanostructured PVC/ZnO–polyaniline hybrid coating. Prog. Org. Coat. 2013, 76, 113. [Google Scholar] [CrossRef]
- Roy, A.S.; Anilkumar, K.R.; Prasad, M.V.N.A. Studies of AC conductivity and dielectric relaxation behavior of CdO-doped nanometric polyaniline. J. Appl. Polym. Sci. 2012, 123, 1928. [Google Scholar] [CrossRef]
- Mostafaei, A.; Zolriasatein, A. TiO2/PANI nanocomposite loaded in PVA for anticorrosive applications. Prog. Nat. Sci. Mater. Int. 2012, 22, 273. [Google Scholar] [CrossRef]
- Ahmed, F.; Kumar, S.; Arshi, N.; Anwar, M.S.; Yeon, L.S.; Kil, G.S.; Park, D.W.; Koo, B.H.; Lee, C.G. Preparation and characterizations of polyaniline (PANI)/ZnO nanocomposites film using solution casting method. Thin Solid Films 2011, 519, 8375. [Google Scholar] [CrossRef]
- Singla, M.L.; Sehrawat, R.; Rana, N.; Singh, K. Dielectric behaviour of emeraldine base polymer–ZnO nanocomposite film in the low to medium frequency. J. Nanopart Res. 2011, 13, 2109. [Google Scholar] [CrossRef]
- Patil, S.L.; Chougule, M.A.; Pawar, S.G.; Sen, S.; Patil, V.B. Effect of Camphor Sulfonic Acid Doping on Structural, Morphological, Optical and Electrical Transport Properties on Polyaniline-ZnO Nanocomposites. Soft Nanosci. Lett. 2012, 2, 46. [Google Scholar]
- Patil, S.L.; Pawar, S.G.; Chougule, M.A.; Raut, B.T.; Godse, P.R.; Sen, S.; Patil, V.B. Structural, Morphological, Optical, and Electrical Properties of PANi-ZnO Nanocomposites. Int. J. Polym. Mater. 2012, 61, 809. [Google Scholar] [CrossRef]
- de Riccardis, M.F.; Martina, V. Developments in Corrosion Protection; InTech.: Rijeka, Croatia, 2014; ISBN 978-953-51-1223-5. [Google Scholar]
- Abaci, S.; Nessark, B. Characterization and corrosion protection properties of composite material (PANI+TiO2) coatings on A304 stainless steel. J. Coat. Technol. Res. 2015, 12, 107. [Google Scholar] [CrossRef]
- Kobayashi, T.; Yoneyama, H.; Tamura, H. Influence of oxidation state, pH, and counterion on the conductivity of polyaniline. J. Electroanal. Chem. 1984, 177, 293. [Google Scholar] [CrossRef]
- Genies, E.M.; Tsintavis, C. Redox mechanism and electrochemical behaviour or polyaniline deposits. J. Electroanal. Chem. 1985, 195, 109. [Google Scholar] [CrossRef]
- Peng, C.W.; Chang, K.C.; Weng, C.J.; Lai, M.C.; Hsu, C.H.; Hsu, Y.Y.; Hung, W.I.; Wei, Y.; Yeh, J.M. Nano-casting technique to prepare polyaniline surface with biomimetic superhydrophobic structures for anticorrosion application. Electrochim. Acta 2013, 95, 192. [Google Scholar] [CrossRef]
- Hasniou, L.; Nessark, B.; Madani, A.; Lmimouni, K. Electrosynthesis and analysis of the electrochemical properties of a composite material: Polyterthiophene + titanium oxide. e-Polymers 2017, 17. [Google Scholar] [CrossRef]
- Gelderman, K.; Lee, L.; Donne, S.W. Flat-Band Potential of a Semiconductor: Using the Mott–Schottky Equation. J. Chem. Educ. 2007, 84, 685. [Google Scholar] [CrossRef]
- Daideche, K.; Azizi, A. Electrodeposition of tin oxide thin film from nitric acid solution: The role of pH. J. Mater. Sci. Mater. Electron. 2017, 28, 8051. [Google Scholar] [CrossRef]
- Verma, N.K. Effect of Zinc Oxide Nano Particle Concentration in the Polyaniline-Zinc Oxide Nanocomposite on the Dielectric Property. Mat. Sci. Res. India 2014, 11, 146. [Google Scholar] [CrossRef]
- Yun, M.; Myung, N.V.; Vasquez, R.P.; Lee, C.; Menke, E.; Penner, R.M. Electrochemically Grown Wires for Individually Addressable Sensor Arrays. Nano. Lett. 2004, 4, 419. [Google Scholar] [CrossRef]
- Abendroth, T.; Schumm, B.; Alajlan, S.A.; Almogbel, A.M.; Mäder, G.; Härtel, P.; Althues, H.; Kaskel, S. Optical and thermal properties of transparent infrared blocking antimony doped tin oxide thin films. Thin Solid Films 2017, 624, 152. [Google Scholar] [CrossRef]
- Kim, H.; Gilmore, C.M.; Piqué, A.; Horwitz, J.S.; Mattoussi, H. Electrical, optical, and structural properties of indium–tin–oxide thin films for organic light-emitting devices. J. Appl. Phys. 1999, 86, 6451. [Google Scholar] [CrossRef]
- Thabo, J.; Brooms, M.S. Onyango and AoyiOchieng. In Proceedings of the International Conference on Chemical, Integrated Waste Management & Environmental Engineering (ICCIWEE’2014), Johannesburg, South Africa, 15–16 April 2014. [Google Scholar]








| Parameters | PANI | PANI/ZnO 10−4 M | PANI/ZnO 10−2M | PANI/ZnO 10−1 M |
|---|---|---|---|---|
| ND (cm−3) | 2.87 × 1017 | 1.80 × 1019 | 7.06 × 1018 | 1.90 × 1019 |
| Transmittance (%) | 70 | 18 | 84 | 17 |
| Eg (eV) | 3.58 | 3.68 | 3.73 | 3.19 |
| Element | Weight % | Atomic % |
|---|---|---|
| C K | 20.24 | 28.36 |
| N K | 5.91 | 7.11 |
| O K | 48.74 | 51.29 |
| SiK | 0.86 | 0.51 |
| S K | 24.25 | 12.73 |
| Element | Weight % | Atomic % |
|---|---|---|
| C K | 29.38 | 42.06 |
| O K | 40.97 | 44.04 |
| MgK | 0.27 | 0.19 |
| SiK | 3.30 | 2.02 |
| S K | 18.40 | 9.87 |
| ClK | 0.28 | 0.14 |
| InL | 2.45 | 0.37 |
| SnL | 0.75 | 0.11 |
| CaK | 0.60 | 0.26 |
| ZnK | 3.61 | 0.95 |
Publisher’s Note: MDPI stays neutral with regard to jurisdictional claims in published maps and institutional affiliations. |
© 2020 by the authors. Licensee MDPI, Basel, Switzerland. This article is an open access article distributed under the terms and conditions of the Creative Commons Attribution (CC BY) license (https://creativecommons.org/licenses/by/4.0/).
Share and Cite
Daideche, K.; Hasniou, L.; Lerari, D. Electro Synthesis and Characterization of PANI and PANI/ZnO Composites Films. Chem. Proc. 2021, 3, 110. https://doi.org/10.3390/ecsoc-24-08328
Daideche K, Hasniou L, Lerari D. Electro Synthesis and Characterization of PANI and PANI/ZnO Composites Films. Chemistry Proceedings. 2021; 3(1):110. https://doi.org/10.3390/ecsoc-24-08328
Chicago/Turabian StyleDaideche, Khadidja, Leila Hasniou, and Djahida Lerari. 2021. "Electro Synthesis and Characterization of PANI and PANI/ZnO Composites Films" Chemistry Proceedings 3, no. 1: 110. https://doi.org/10.3390/ecsoc-24-08328
APA StyleDaideche, K., Hasniou, L., & Lerari, D. (2021). Electro Synthesis and Characterization of PANI and PANI/ZnO Composites Films. Chemistry Proceedings, 3(1), 110. https://doi.org/10.3390/ecsoc-24-08328
