Structure-Based Design and Synthesis of Novel Hybrid Molecules Derived from Anthranilic Acid as Drug Candidates †
Abstract
1. Introduction
2. Materials and Methods
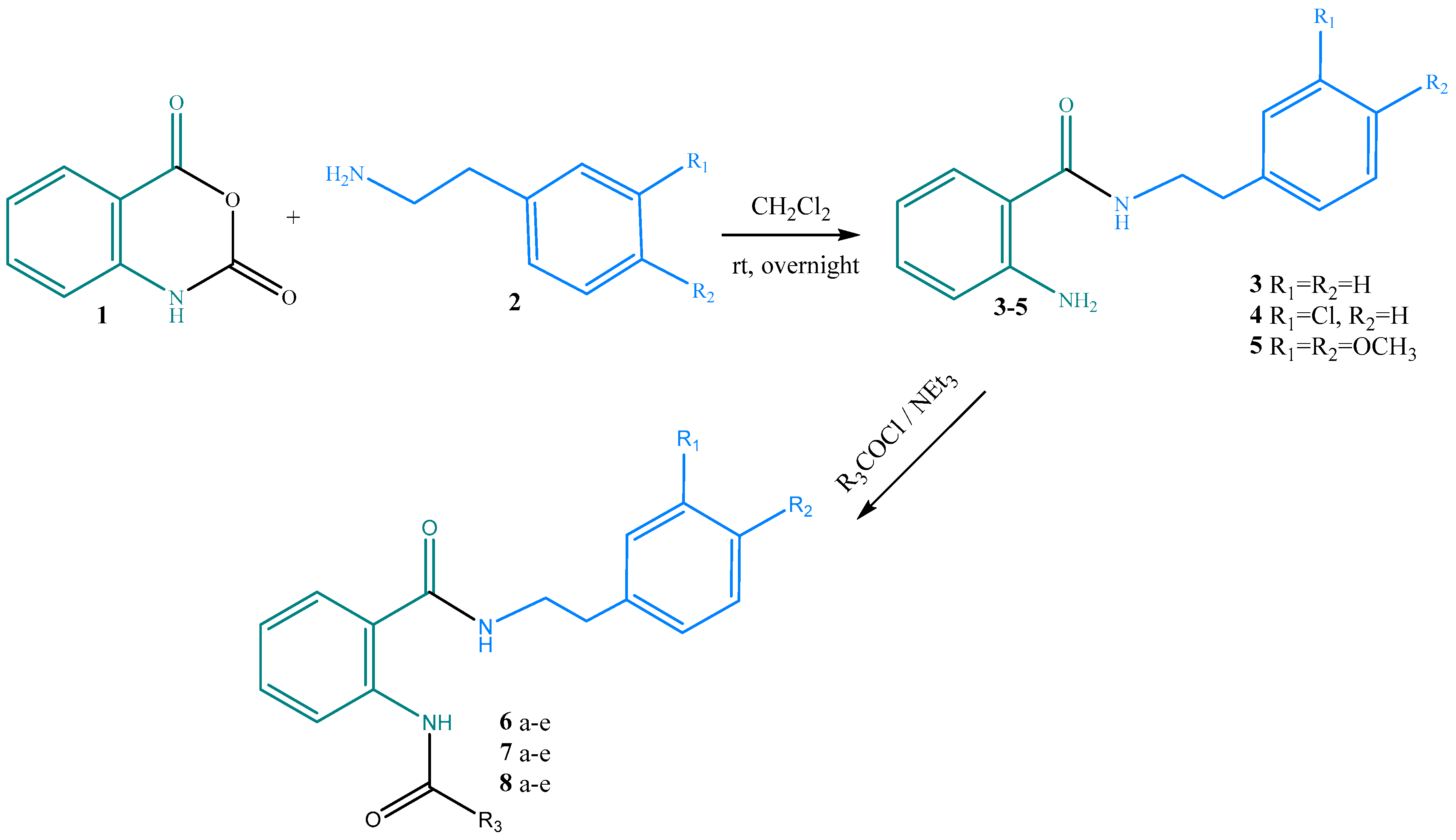
3. Results and Discussion
4. Conclusions
Author Contributions
Funding
Institutional Review Board Statement
Informed Consent Statement
Data Availability Statement
Acknowledgments
Conflicts of Interest
Abbreviations
| ADME | Absorption, distribution, metabolism, excretion |
| Tox | Toxicity |
| BBB | Blood–brain barrier |
| IR | Infrared spectroscopy |
| NMR | Nuclear magnetic resonance spectroscopy |
| HRMS | High-resolution mass spectrometry |
| TLC | Thin-layer chromatography |
References
- Morais, T.S. Recent Advances in the Development of Hybrid Drugs. Pharmaceutics 2024, 16, 889. [Google Scholar] [CrossRef] [PubMed]
- Prasher, P.; Sharma, M. Medicinal Chemistry of Anthranilic Acid Derivatives: A Mini Review. Drug Dev. Res. 2021, 82, 945–958. [Google Scholar] [CrossRef] [PubMed]
- Chandrashekhara Kumar, B.; Bhagwath, A.A.; Chandrashekar, K.S. Pharmaceutical Chemistry of Anthranilic Acid Derivatives: A Brief Review. Int. J. Pharm. Sci. 2024, 2, 2143–2174. [Google Scholar] [CrossRef]
- Nasr, T.M.; Aboshanab, A.M.; Abouzid, K.A.M.; Zaghary, W.A. Hands-On Synthetic Approaches and Biological Activities of Anthranilic Acid Derivatives: A Mini-Review. Egypt. J. Chem. 2023, 66, 329–343. [Google Scholar] [CrossRef]
- Tokalı, F.S.; Taslimi, P.; Taskin-Tok, T.; Karakuş, A.; Sadeghian, N.; Gulçin, İ. Novel Hydrazones Derived from Anthranilic Acid as Potent Cholinesterases and α-Glycosidase Inhibitors: Synthesis, Characterization, and Biological Effects. J. Biochem. Mol. Toxicol. 2024, 38, e23521. [Google Scholar] [CrossRef] [PubMed]
- Siddique, S.; Hussain, K.; Shehzadi, N.; Arshad, M.; Arshad, M.N.; Iftikhar, S.; Saghir, F.; Shaukat, A.; Sarfraz, M.; Ahmed, N. Design, Synthesis, Biological Evaluation and Molecular Docking Studies of Quinoline-Anthranilic Acid Hybrids as Potent Anti-Inflammatory Drugs. Org. Biomol. Chem. 2024, 22, 3708–3724. [Google Scholar] [CrossRef] [PubMed]
- SwissADME. Available online: http://www.swissadme.ch/ (accessed on 26 September 2025).
- PASS Online. Available online: https://way2drug.com/PassOnline/ (accessed on 26 September 2025).
- ProTox 3.0. Available online: https://tox.charite.de/protox3/ (accessed on 26 September 2025).
- Rivero, I.A.; Espinoza, K.; Somanathan, R. Syntheses of Quinazoline-2,4-dione Alkaloids and Analogues from Mexican Zanthoxylum Species †. Molecules 2004, 9, 609–616. [Google Scholar] [CrossRef] [PubMed]
- Zhang, S.; Tan, Z.; Xiong, B.; Jiang, H.F.; Zhang, M. Transition-Metal-Catalyst-Free Synthesis of Anthranilic Acid Derivatives by Transfer Hydrogenative Coupling of 2-Nitroaryl Methanols with Alcohols/Amines. Org. Biomol. Chem. 2018, 16, 531–535. [Google Scholar] [CrossRef] [PubMed]
- Milusheva, M.; Stoyanova, M.; Gledacheva, V.; Stefanova, I.; Todorova, M.; Pencheva, M.; Stojnova, K.; Tsoneva, S.; Nedialkov, P.; Nikolova, S. 2-Amino-N-Phenethylbenzamides for Irritable Bowel Syndrome Treatment. Molecules 2024, 29, 3375. [Google Scholar] [CrossRef] [PubMed]
- Stoyanova, M.; Milusheva, M.; Gledacheva, V.; Stefanova, I.; Todorova, M.; Kircheva, N.; Angelova, S.; Pencheva, M.; Stojnova, K.; Tsoneva, S.; et al. Spasmolytic Activity and Anti-Inflammatory Effect of Novel Mebeverine Derivatives. Biomedicines 2024, 12, 2321. [Google Scholar] [CrossRef] [PubMed]
- Milusheva, M.; Todorova, M.; Gledacheva, V.; Stefanova, I.; Feizi-Dehnayebi, M.; Pencheva, M.; Nedialkov, P.; Tumbarski, Y.; Yanakieva, V.; Tsoneva, S.; et al. Novel Anthranilic Acid Hybrids—An Alternative Weapon against Inflammatory Diseases. Pharmaceuticals 2023, 16, 1660. [Google Scholar] [CrossRef] [PubMed]
- Lipinski, C.A.; Lombardo, F.; Dominy, B.W.; Feeney, P.J. Experimental and Computational Approaches to Estimate Solubility and Permeability in Drug Discovery and Development Settings. Adv. Drug Deliv. Rev. 2001, 46, 3–26. [Google Scholar] [CrossRef] [PubMed]
- Veber, D.F.; Johnson, S.R.; Cheng, H.Y.; Smith, B.R.; Ward, K.W.; Kopple, K.D. Molecular Properties That Influence the Oral Bioavailability of Drug Candidates. J. Med. Chem. 2002, 45, 2615–2623. [Google Scholar] [CrossRef] [PubMed]
- Pardridge, W.M. The Blood–Brain Barrier: Bottleneck in Brain Drug Development. NeuroRx 2005, 2, 3–14. [Google Scholar] [CrossRef] [PubMed]
- Yang, B.; Li, H.; Zhang, T.; Wang, Z.; Li, H.; Zhang, Y. Nonlinear and Mixed Inhibitory Effect of Matrine on the Cytotoxicity of Oligomeric Amyloid-β Protein. Neurochem. Int. 2020, 137, 104746. [Google Scholar] [CrossRef] [PubMed]
- Shukla, A.K.; Nilgirwar, P.S.; Bali, S.D. Current pharmacological treatments for neurodegenerative diseases. In The Neurodegeneration Revolution; Sastri, T., Osmani, R.A.M., Singh, E., Dutta, S., Eds.; Elsevier: Amsterdam, NL, USA, 2025; pp. 117–126. [Google Scholar] [CrossRef]



Disclaimer/Publisher’s Note: The statements, opinions and data contained in all publications are solely those of the individual author(s) and contributor(s) and not of MDPI and/or the editor(s). MDPI and/or the editor(s) disclaim responsibility for any injury to people or property resulting from any ideas, methods, instructions or products referred to in the content. |
© 2025 by the authors. Licensee MDPI, Basel, Switzerland. This article is an open access article distributed under the terms and conditions of the Creative Commons Attribution (CC BY) license (https://creativecommons.org/licenses/by/4.0/).
Share and Cite
Milusheva, M.; Gledacheva, V.; Stoyanova, M.; Todorova, M.; Stefanova, I.; Nikolova, S.A. Structure-Based Design and Synthesis of Novel Hybrid Molecules Derived from Anthranilic Acid as Drug Candidates. Chem. Proc. 2025, 18, 19. https://doi.org/10.3390/ecsoc-29-26686
Milusheva M, Gledacheva V, Stoyanova M, Todorova M, Stefanova I, Nikolova SA. Structure-Based Design and Synthesis of Novel Hybrid Molecules Derived from Anthranilic Acid as Drug Candidates. Chemistry Proceedings. 2025; 18(1):19. https://doi.org/10.3390/ecsoc-29-26686
Chicago/Turabian StyleMilusheva, Miglena, Vera Gledacheva, Mihaela Stoyanova, Mina Todorova, Iliyana Stefanova, and Stoyanka Atanasova Nikolova. 2025. "Structure-Based Design and Synthesis of Novel Hybrid Molecules Derived from Anthranilic Acid as Drug Candidates" Chemistry Proceedings 18, no. 1: 19. https://doi.org/10.3390/ecsoc-29-26686
APA StyleMilusheva, M., Gledacheva, V., Stoyanova, M., Todorova, M., Stefanova, I., & Nikolova, S. A. (2025). Structure-Based Design and Synthesis of Novel Hybrid Molecules Derived from Anthranilic Acid as Drug Candidates. Chemistry Proceedings, 18(1), 19. https://doi.org/10.3390/ecsoc-29-26686

