Double Condensation of 3-Coumaranone with Aromatic Carbonyl Compounds Catalyzed by Brønsted Hyperacids †
Abstract
1. Introduction
2. Results and Discussion
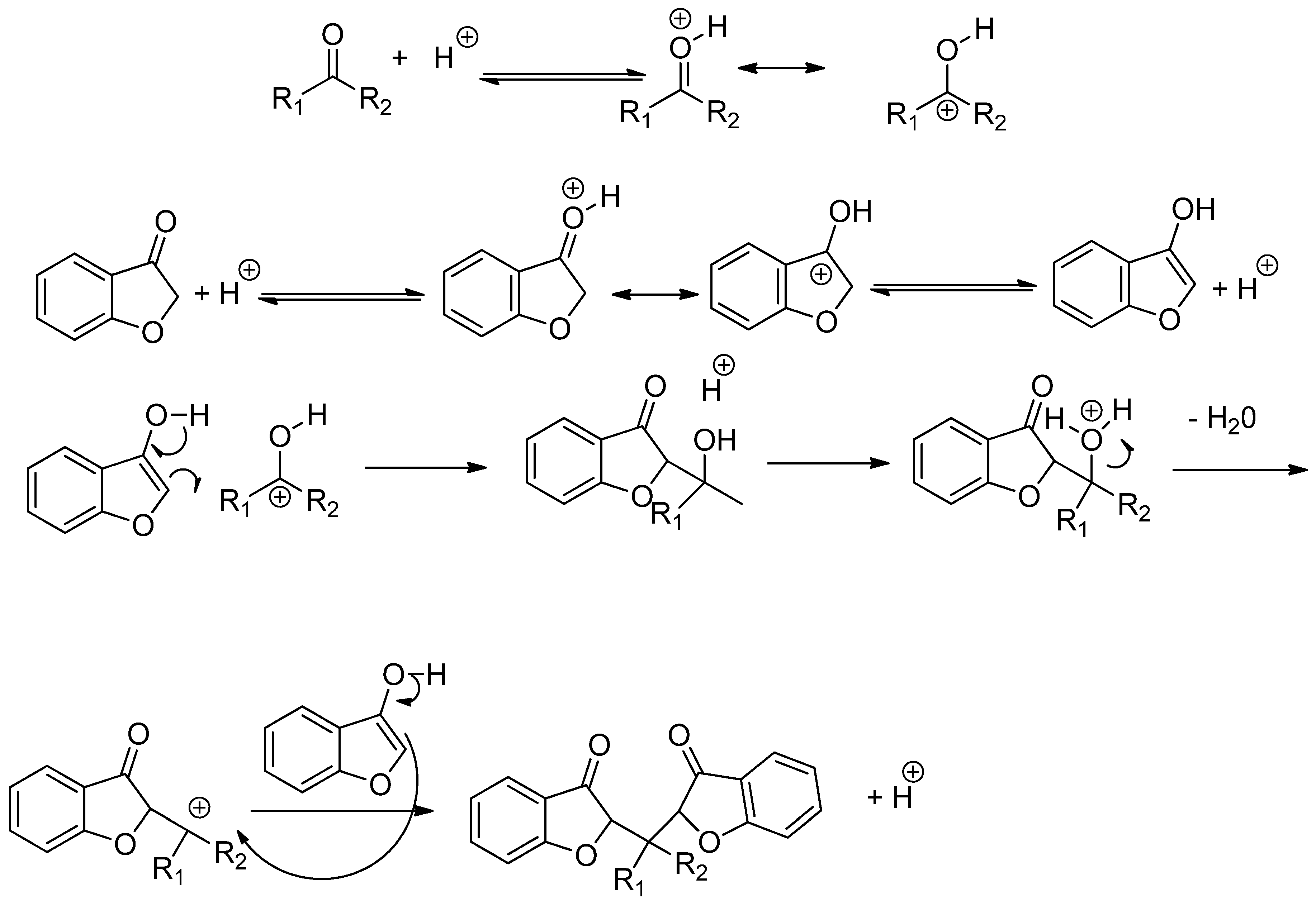
3. Reaction Mechanism
4. Experimental
4.1. General Information
4.2. Starting Reactants
4.3. Typical Experiment
5. Conclusions
Author Contributions
Funding
Institutional Review Board Statement
Informed Consent Statement
Data Availability Statement
Acknowledgments
Conflicts of Interest
References
- Boussafi, K.; Villemin, D.; Bar, N.; Belghosi, M. Green Synthesis of Aurones And related Compounds under Solvent-Free Conditions. J. Chem. Res. 2016, 40, 567–569. [Google Scholar] [CrossRef]
- Boussafi, K.; Villemin, D.; Bar, N. Clay Catalysis: Solventless Condensation of Benzofuran-3(2H)-One with α,β-Dicarbonyl Compounds under Microwave Irradiation: Synthesis of New Acyl-Aurones. Chem. Proc. 2023, 14, 32. [Google Scholar] [CrossRef]
- Funatomi, T.; Wakasugi, K.; Misaki, T.; Tanabe, Y. Pentafluorophenylammonium triflate (PFPAT): An efficient, practical, and cost-effective catalyst for esterification, thioesterification, transesterification, and macrolactone formation. Green Chem. 2006, 8, 1022–1027. [Google Scholar] [CrossRef]
- Villemin, D.; Bar, N.; Hammadi, M. Triflic Acid an Efficient Catalyst for the Thiele-Winter Reaction. Tetrahedron Lett. 1997, 38, 4777–4778. [Google Scholar] [CrossRef]
- Ohtani, Y.; Sumimoto, M. Studies on Pitch Problems Caused by Pulping and Bleaching of Tropical Woods. XIV. Chemistry of the Aurone Derivatives at the Conventional Bleaching Stages. Acta Chem. Scand. 1982, B 36, 613–621. [Google Scholar] [CrossRef][Green Version]
- Mnasri, A.; Amri, N.; Ghalla, H.; Gatri, R.; Hamdi, N. Effective Synthesis and Biological Evaluation of Dicoumarols: Preparation, Characterization, and Docking Studies. ACS Omega 2023, 8, 14926–14943. [Google Scholar] [CrossRef] [PubMed]
- Sharma, A.; Chibber, S.S. Carbon-13 Nmr spectroscopy of methoxy- and acetoxyaurones. J. Heterocycl. Chem. 1981, 18, 275–277. [Google Scholar] [CrossRef]



![]() | ![]() | ![]() | ![]() | |
|---|---|---|---|---|
![]() | ![]() | ![]() | ||
| Entry | Coumaranone | Carbonyl Comp. | Bicoumaranone | Yield (%) |
| 1 | 1a | 2a | 3a | 70 |
| 2 | 1a | 2b | 3b | 80 |
| 3 | 1a | 2c | 3c | 78 |
| 4 | 1a | 2d | 3d | 62 |
| 5 | 1a | 2e | 3e | 78 |
| 6 | 1a | 2f | 3f | 75 |
| 7 | 1b | 2a | 4a | 60 |
| 8 | 1b | 2d | 4d | 75 |
Disclaimer/Publisher’s Note: The statements, opinions and data contained in all publications are solely those of the individual author(s) and contributor(s) and not of MDPI and/or the editor(s). MDPI and/or the editor(s) disclaim responsibility for any injury to people or property resulting from any ideas, methods, instructions or products referred to in the content. |
© 2024 by the authors. Licensee MDPI, Basel, Switzerland. This article is an open access article distributed under the terms and conditions of the Creative Commons Attribution (CC BY) license (https://creativecommons.org/licenses/by/4.0/).
Share and Cite
Boussafi, K.; Villemin, D.; Bar, N. Double Condensation of 3-Coumaranone with Aromatic Carbonyl Compounds Catalyzed by Brønsted Hyperacids. Chem. Proc. 2024, 16, 98. https://doi.org/10.3390/ecsoc-28-20264
Boussafi K, Villemin D, Bar N. Double Condensation of 3-Coumaranone with Aromatic Carbonyl Compounds Catalyzed by Brønsted Hyperacids. Chemistry Proceedings. 2024; 16(1):98. https://doi.org/10.3390/ecsoc-28-20264
Chicago/Turabian StyleBoussafi, Karima, Didier Villemin, and Nathalie Bar. 2024. "Double Condensation of 3-Coumaranone with Aromatic Carbonyl Compounds Catalyzed by Brønsted Hyperacids" Chemistry Proceedings 16, no. 1: 98. https://doi.org/10.3390/ecsoc-28-20264
APA StyleBoussafi, K., Villemin, D., & Bar, N. (2024). Double Condensation of 3-Coumaranone with Aromatic Carbonyl Compounds Catalyzed by Brønsted Hyperacids. Chemistry Proceedings, 16(1), 98. https://doi.org/10.3390/ecsoc-28-20264








