Abstract
This work is devoted to the synthesis of triazolyl derivatives based on propargyl ethers of the thiazolo[3,2-a]pyrimidine series by [3+2]-cycloaddition and the study of their structure in solution and crystalline phase. The formation of homochiral chains in the crystalline phase is attributed to the establishment of a halogen bond between the bromine atom and the nitrogen atom of the nitrile group. Additionally, the generation of a racemic dimer is linked to the formation of a halogen bond between the bromine atom and the nitrogen atom of the triazolyl fragment.
1. Introduction
Today, the investigation and creation of chemical compounds with antitumor properties represent a significant and crucial undertaking within the field of chemistry. It is estimated that 56.8% of drugs contain a heterocyclic backbone [1]. This class of organic compounds is prevalent among pharmaceuticals due to their capacity to simultaneously function as hydrogen bond donors and acceptors, enabling efficient interaction with target enzymes and receptors. In addition, heterocycles can alter the lipophilicity of drug molecules, thereby conferring the requisite pharmacokinetic and pharmaceutical properties [2].
2-Arylmethylidenthiazolo[3,2-a]pyrimidine derivatives exhibit high biological and pharmacological activity, making them promising molecules with significant potential as antitumor agents. For example, compound A, illustrated in Figure 1, was observed to exhibit enhanced cytotoxic activity and selectivity towards M-Hela and HuTu 80 cancer cell lines in comparison to the comparator drug, Sorafenib [3].
Figure 1.
Structure of compounds A (a), B (b), and C (c).
Additionally, heterocyclic compounds based on 1,2,3-triazole demonstrated notable efficacy in the creation of synthetic frameworks with pronounced anti-HIV, anti-cancer, and antibacterial activity [4]. Compound B was identified as an NMDA receptor antagonist [5], while compound C displayed antitumor activity (see Figure 1) [4].
In this context, it is worthwhile to examine the structure and biological properties of compounds that contain both a thiazolo[3,2-a]pyrimidine and a 1,2,3-triazole fragment.
2. Results and Discussion
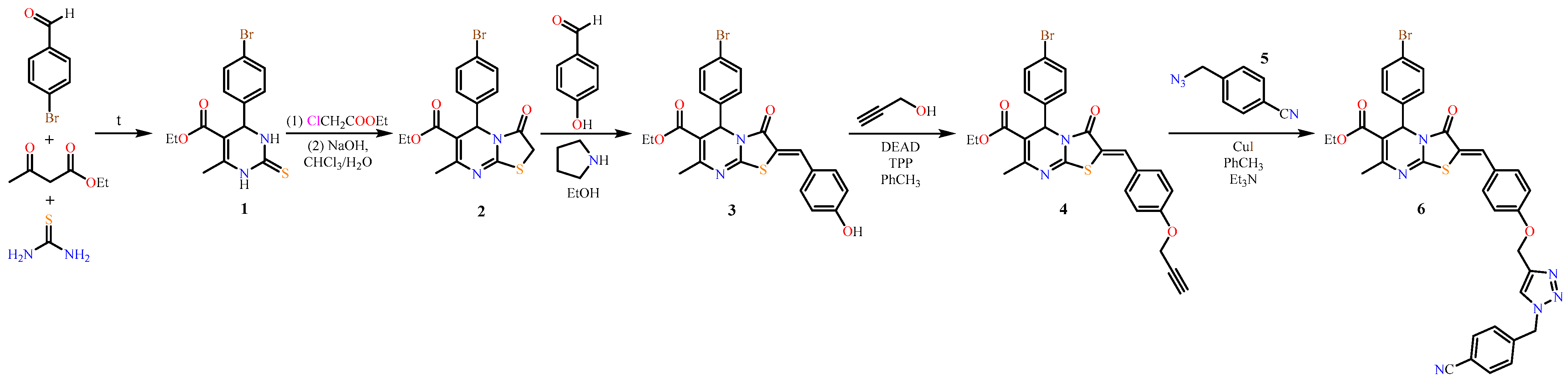
Triazolyl derivatives on the thiazolo[3,2-a]pyrimidine platform 6 were synthesized following the scheme presented in Figure 2. In the first stage, a three-component Biginelli condensation involving appropriate 4-brombenzaldehyde, thiourea, and acetoacetic ether in a molar ratio of 1:1.5:1 led to the preparation of 1,2,3,4-tetrahydropyrimidine-2-thione 1 [6]. The next step was the preparation of thiazolo[3,2-a]pyrimidine 2 by interaction of 1,2,3,4-tetrahydropyrimidine-2-thione 1 with excess ethyl chloroacetate [7]. The resulting compound was then used as a precursor for the synthesis of 4-hydroxybenzylidenethiazolo[3,2-a]pyrimidine 3. The desired product was obtained by filtration of the reaction mixture followed by recrystallization from ethanol solution in high yield (88%).
Figure 2.
Synthesis of compounds 1–6.
Next, the obtained 4-hydroxybenzylidenethiazolo[3,2-a]pyrimidine 3 was introduced into Mitsunobu reaction with propargyl alcohol to give propargyl ester 4. The final step was the click reaction between the propargyl derivative on the thiazolo[3,2-a]pyrimidine platform 4 and 4-(azidomethyl)benzonitrile 5. Thus, ethyl (Z)-7-methyl-3-oxo-5-(4-bromophenyl)-2-(4-((1-((1-(4-cyanobenzyl)-1H-1,2,3-triazol-4-yl)methoxy)benzylidene)-2,3-dihydro-5H-thiazolo[3,2-a]pyrimidine-6-carboxylate 6 was obtained in high yield (83%). The structure of the obtained compound was confirmed by a complex of physicochemical methods of analysis. Also, the structure of this compound was confirmed by X-ray diffraction analysis (see Figure 3).
Figure 3.
Structure of compound 6.
In a previous study, our research group investigated the supramolecular organization in the crystalline phase of 2-arylmethylidene derivatives of thiazolopyrimidine. The development of approaches for the control of supramolecular synthons to form chiral supramolecular structures in the crystalline phase in order to achieve chiral discrimination has attracted considerable interest in our research group [8,9]. In order to examine the supramolecular organization of the novel triazolyl derivatives of thiazolopyrimidine, crystalline samples were obtained through the slow evaporation of various solvent mixtures (ethyl acetate/methanol and DMF/methanol) at a 1:1 volume ratio. The driving force in the formation of supramolecular organization in both cases was Br…N halogen bonding, but the nature of this bonding differed.
It was found that in the case of crystal I, racemic dimers were formed in which a halogen bond between the bromine atom and the nitrogen atom of the triazole moiety was realized (dBr1…N9 = 3.272 Å, ∑(Br + N) = 3.4 Å) (see Figure 4). However, in the case of crystal II, homochiral chains are formed in which the halogen bond between the bromine atom of the thiazolpyrimidine moiety and the nitrogen atom of the nitrile fragment is realized (dBr1…N12 = 3.321 Å, ∑(Br + N) = 3.4 Å) (see Figure 5).
Figure 4.
ORTEP view of supramolecular dimers resulting from intermolecular halogen bonding in crystal I. The ellipsoids are presented with 50% probability, and the H atoms are omitted for clarity. Halogen bonding is presented by blue dotted lines.
Figure 5.
(a) ORTEP image of the homochiral chain formed by intermolecular halogen bonding in the crystals of crystal II. Ellipsoids are represented with 50% probability; H atoms are omitted for clarity. Halogen bonding is represented by blue dashed lines. (b) Part of the crystal packing of homochiral chains with R- and S-hydrogen bonds (colored blue and red, respectively).
3. Materials and Methods
3.1. Synthesis and Characterisation
All reagents (Acros Organics (Geel, Belgium), Alfa Aesar (Haverhill, MA, USA)) were used without further purification. The ethyl 4-(4-bromophenyl)-6-methyl-2-thioxo-1,2,3,4-tetrahydropyrimidine-5-carboxylate 1 [10], ethyl 5-(4-bromophenyl)-7-methyl-3-oxo-2,3-dihydro-5H-thiazolo[3,2-a]pyrimidine-6-carboxylate 2 [11], ethyl (Z)-5-(4-bromophenyl)-2-(4-hydroxybenzylidene)-7-methyl-3-oxo-2,3-dihydro-5H-thiazolo[3,2-a]pyrimidine-6-carboxylate 3 [3] and 4-(azidomethyl)benzonitrile 5 [12] were synthesized according to reported methods.
NMR experiments were performed on Bruker Avance instruments (Billerica, MA, USA) with an operating frequency of 400 MHz for shooting 1H NMR spectra. Chemical shifts were determined relative to the signals of residual protons of the DMSO-d6 solvent.
IR spectra in KBr tablets were recorded on a Bruker Vector-22.
Electrospray ionization (ESI) mass spectra were obtained using a Bruker AmaZon Xion trap mass spectrometer. Melting points were determined on a BOETIUS melting table with an RNMK 05 imaging device (VEB MLW Analytik, Dresden, Germany, 100x zoom).
3.1.1. General Method for Compounds 4 and 6 Preparation
To 1 mmol of 4-hydroxybenzylidene derivative of thiazolo[3,2-a]pyrimidine 3 and 1.5 mmol of triphenylphosphine dissolved in 20 mL toluene was added 10 mmol of propargyl alcohol. Then 1.5 mmol of diethylazodicarboxylate was added dropwise to the reaction mixture under argon atmosphere without allowing heating в тeчeниe 12 чacoв. The solvent was removed under reduced pressure and a precipitate was formed when cold methanol was added to the residue. The product was filtered off, washed with cold methanol and recrystallized from ethanol.
Ethyl (Z)-5-(4-bromophenyl)-7-methyl-3-oxo-2-(4-(prop-2-yn-1-yloxy)benzylidene)-2,3-dihydro-5H-thiazolo[3,2-a]pyrimidine-6-carboxylate 4. Yield 80%, yellow powder, mp 160–162 °C. IR (KBr, cm−1): 3272 (≡C–H); 2128 (C≡C); 1704 (C=O); 1545 (C=N); 749 (C–S). 1H NMR (400 MHz, DMSO-d6, 25°C) δH ppm: 1.13 (t, 3H, J = 7.0 Hz, CH3CH2O), 2.39 (s, 3H, CH3), 3.61 (t, 1H, J = 2.4 Hz, HC≡C-), 4.01–4.07 (m, 2H, CH3CH2O), 4.89–4.90 (d, 2H, J = 2.4 Hz, C6H4-OCH2), 6.02 (s, 1H, -CH-Ar), 7.14–7.17 (m, 2H, CH (Ar)), 7.26–7.28 (m, 2H, CH (Ar)), 7.54–7.60 (m, 4H, CH (Ar)), 7.76 (s, 1H, C=CH). MS (ESI), m/z: [M+H]+: calcd. for C26H21BrN2O4S+: 538,43; found: 537,07. Anal. Calcd. for C26H21BrN2O4S, %: C 58.11; H 3.93; Br 14.87; N 5.21; O 11.91; S 5.97. Found C 58.12; H 3.98; Br 14.82; N 5.18; O 11.94; S 5.96 (see Figures S1–S3).
To 1 mmol of 4-(prop-2-in-1-yloxy)benzylidenethiazolo[3,2-a]pyrimidine 4 and 1.2 mmol of copper iodide (I) dissolved in 5 mL of toluene and 1.5 mL of triethylamine, 2 mmol of azide 5 was added dropwise. Peaкцию пpoвoдили в тeчeниe 6 чacoв. The solvent was evaporated under reduced pressure. The product obtained was filtered off, washed with ethyl acetate and recrystallized from ethanol.
Ethyl (Z)-5-(4-bromophenyl)-2-(4-((1-(4-cyanobenzyl)-1H-1,2,3-triazol-4-yl)methoxy)benzylidene)-7-methyl-3-oxo-2,3-dihydro-5H-thiazolo[3,2-a]pyrimidine-6-carboxylate 6. Yield 83%, brown powder, mp 193–195 °C. IR (KBr, cm−1): 2231 (C≡N); 1709 (C=O); 1596, 1509 (N=N); 1542 (C=N); 752 (C–S). 1H NMR (400 MHz, DMSO-d6, 25°C) δH ppm: 1.13 (t, 3H, J = 7.1 Hz, CH3CH2O), 2.39 (s, 3H, CH3), 4.02–4.07 (m, 2H, CH3CH2O), 5.25 (s, 2H, C6H4-OCH2), 5.74 (s, 2H, NCH2), 6.03 (s, 1H, -CH-Ar), 7.20–7.28 (m, 4H, CH (Ar)), 7.44–7.47 (m, 2H, CH (Ar)), 7.54–7.59 (m, 4H, CH (Ar)), 7.76 (s, 1H, CH (triazole)), 7.84–7.86 (m, 2H, CH (Ar)), 8.36 (s, 1H, C=CH). MS (ESI), m/z: [M+H]+: calcd. for C34H27BrN6O4S+: 696.59; found: 697.05. Anal. Calcd. for C34H27BrN6O4S, %: C 58.71; H 3.91; Br 11.49; N 12.08; O 9.20; S 4.61. Found C 58.69; H 3.93; Br 11.47; N 12.10; O 9.18; S 4.63 (see Figures S4–S6).
3.1.2. Crystallization Conditions
Crystals I of compound 6 suitable for X-ray diffraction study were obtained by slow evaporation of a methanol (7.5 mL)/ethyl acetate (7.5 mL) solution containing 0.02 mol of the dissolved compound after 3 days.
Crystals II of compound 6, suitable for X-ray diffraction study, were obtained by slow evaporation of a methanol (7.5 mL)/DMFA (7.5 mL) solution containing 0.02 mol of the dissolved compound after 6 days.
3.1.3. Single-Crystal X-Ray Diffraction
Single-crystal X-ray diffraction (SC XRD) study was performed on a Bruker D8 QUEST automated three-circle diffractometer (Bruker, Germany) with a PHOTON III area detector and an IμS DIAMOND microfocus X-ray tube (Incoatec, Germany) at a temperature of 100(2) K for crystal I and 120(2) K for crystal II: λ (Mo Kα) = 0.71073 Å, ω/ϕ-scanning mode with a step of 0.5°. The APEX3 software package was used to index the diffraction data and to determine and refine the unit cell parameters. Numerical absorption correction based on the crystal shape, additional spherical absorption correction, and systematic error correction were performed using the SADABS–2016/2 software (Bruker, 2016/2) [13]. Structures were solved by direct methods using the SHELXT-2018/3 program [14] and refined by full-matrix least-squares on F2 using the SHELXL-2018/3 program [15]. Non-hydrogen atoms were refined anisotropically. The positions of hydrogen atoms of methyl groups were inserted using the rotation of the group with idealized bond angles; the remaining hydrogen atoms were refined using a riding model. Most calculations were performed using the WinGX-2021.3 software package [16]. Crystallographic data for structures are listed in Table 1.
Table 1.
Crystallographic data and X-ray experimental parameters for the single crystals I and II.
4. Conclusions
In this work ethyl (Z)-5-(4-bromophenyl)-2-(4-((1-(4-cyanobenzyl)-1H-1,2,3-triazol-4-yl)methoxy)benzylidene)-7-methyl-3-oxo-2,3-dihydro-5H-thiazolo[3,2-a]pyrimidine-6-carboxylate was first obtained. The structure of the obtained compounds was confirmed by a complex of physicochemical methods of analysis. Two crystalline samples of the newly synthesized derivative were obtained using different solvent systems. The formation of homochiral chains in the crystalline phase is explained by the formation of a halogen bond between the bromine atom and the nitrogen atom of the nitrile group. In addition, the formation of the racemic dimer is associated with the formation of a halogen bond between the bromine atom and the nitrogen atom of the triazolyl fragment.
Supplementary Materials
The following supporting information can be downloaded at https://www.mdpi.com/article/10.3390/ecsoc-28-20126/s1: Figure S1: 1H NMR spectrum of compound 4 (DMSO-d6, 400 MHz, 25 °C); Figure S2: ESI MS spectrum of compound 4 (ion polarity: positive); Figure S3: IR spectrum of compound 4 (KBr tablet); Figure S4: 1H NMR spectrum of compound 6 (DMSO-d6, 400 MHz, 25 °C); Figure S5: ESI MS spectrum of compound 6 (ion polarity: positive); Figure S6: IR spectrum of compound 4 (KBr tablet).
Author Contributions
Conceptualization, E.G., A.A., S.S. and I.A.; methodology, A.O. and O.L.; validation, E.G., A.A., L.F. and O.L.; formal analysis, L.F. and O.L.; investigation, M.M. and A.N.; resources, O.L.; data curation, E.G., A.A., S.S. and I.A.; writing—original draft preparation, E.G.; writing—review and editing, E.G. and A.A.; visualization, E.G.; supervision, E.G., A.A., S.S. and I.A.; project administration, S.S. and I.A.; funding acquisition, S.S. and I.A. All authors have read and agreed to the published version of the manuscript.
Funding
This research was funded by financial support from a government assignment for the Arbuzov Institute of Organic and Physical Chemistry, FRC Kazan Scientific Center, Russian Academy of Sciences.
Institutional Review Board Statement
Not applicable.
Informed Consent Statement
Not applicable.
Data Availability Statement
The data presented in this study are contained within the article, in the Supplementary Materials, or are available upon request from the corresponding author: Elina Gabitova.
Acknowledgments
The authors are grateful to the Assigned Spectral-Analytical Center of Shared Facilities for Study of Structure, Composition, and Properties of Substances and Materials of the Federal Research Center of Kazan Scientific Center of Russian Academy of Sciences (CSF-SAC FRC KSC RAS) for their technical support.
Conflicts of Interest
The authors declare no conflicts of interest.
References
- Kajal, A.; Bala, S.; Sharma, N.; Kamboj, S.; Saini, V. Mannich, Bases: An Important Pharmacophore in Present Scenario. Int. J. Med. Chem. 2014, 2014, 69–75. [Google Scholar]
- Wu, Y.J. Heterocycles and medicine: A survey of the heterocyclic drugs approved by the US FDA from 2000 to present. Prog. Heterocycl. Chem. 2012, 24, 1–53. [Google Scholar]
- Agarkov, A.S.; Nefedova, A.A.; Gabitova, E.R.; Ovsyannikov, A.S.; Amerhanova, S.K.; Lyubina, A.P.; Voloshina, A.D.; Dorovatovskii, P.V.; Litvinov, I.A.; Solovieva, S.E.; et al. Synthesis, Self-Assembly in Crystalline Phase and Anti-Tumor Activity of 2-(2-/4-Hydroxybenzylidene)thiazolo[3,2-a]pyrimidines. Molecules 2022, 27, 7747. [Google Scholar] [CrossRef] [PubMed]
- Dheer, D.; Singh, V.; Shankar, R. Medicinal attributes of 1,2,3-triazoles: Current developments. Bioorg. Chem. 2017, 71, 30–54. [Google Scholar] [CrossRef] [PubMed]
- Fray, M.J.; Bull, D.J.; Carr, C.L.; Gautier, E.C.; Mowbray, C.E.; Stobie, A. Structure− activity relationships of 1,4-dihydro-(1H,4H)-quinoxaline-2, 3-diones as N-methyl-d-aspartate (glycine site) receptor antagonists. Heterocyclic substituted 5-alkyl derivatives. J. Med. Chem. 2001, 44, 1951–1962. [Google Scholar] [CrossRef]
- Nagarajaiah, H.; Mukhopadhyay, A.; Moorthy, J.N. Biginelli reaction: An overview. Tetrahedron Lett. 2016, 57, 5135–5149. [Google Scholar] [CrossRef]
- Shiryaev, A.K.; Baranovskaya, N.S.; Eremin, M.S. Synthesis of 5H-thiazolo[3,2-a]pyrimidines. Chem. Heterocycl. Compd. 2013, 48, 1550–1554. [Google Scholar] [CrossRef]
- Agarkov, A.S.; Nefedova, A.A.; Gabitova, E.R.; Mingazhetdinova, D.O.; Ovsyannikov, A.S.; Islamov, D.R.; Amerhanova, S.K.; Lyubina, A.P.; Voloshina, A.D.; Litvinov, I.A.; et al. (2-Hydroxy-3-Methoxybenzylidene)thiazolo[3,2-a]pyrimidines: Synthesis, Self-Assembly in the Crystalline Phase and Cytotoxic Activity. Int. J. Mol. Sci. 2023, 24, 2084. [Google Scholar] [CrossRef] [PubMed]
- Agarkov, A.S.; Litvinov, I.A.; Gabitova, E.R.; Ovsyannikov, A.S.; Dorovatovskii, P.V.; Shiryaev, A.K.; Solovieva, S.E.; Antipin, I.S. Crystalline State Hydrogen Bonding of 2-(2-Hydroxybenzylidene)Thiazolo[3,2-a]Pyrimidines: A Way to Non-Centrosymmetric Crystals. Crystals 2022, 12, 494. [Google Scholar] [CrossRef]
- Savanur, H.M.; Kalkhambkar, R.G.; Aridoss, G.; Laali, K.K. [bmim(SO3H)][OTf]/[bmim][X] and Zn(NTf2)2/[bmim][X] (X= PF6 and BF4); efficient catalytic systems for the synthesis of tetrahydropyrimidin-ones (-thiones) via the Biginelli reaction. Tetrahedron Lett. 2016, 57, 3029–3035. [Google Scholar] [CrossRef]
- Mandhane, P.G.; Joshi, R.S.; Nagargoje, D.R.; Gill, C.H. An efficient synthesis of 3,4-dihydropyrimidin-2 (1H)-ones catalyzed by thiamine hydrochloride in water under ultrasound irradiation. Tetrahedron Lett. 2010, 51, 3138–3140. [Google Scholar] [CrossRef]
- Panja, D.; Sau, A.; Thakur, S.D.; Dey, S.; Sahu, R.; Kundu, S. Single-Atom Cobalt-Catalyzed Transfer Hydrogenation of Azides and One-Pot Synthesis of Pyrroles. Adv. Synth. Catal. 2023, 365, 2959–2968. [Google Scholar] [CrossRef]
- Krause, L.; Herbst-Irmer, R.; Sheldrick, G.M.; Stalke, D. Comparison of silver and molybdenum microfocus X-ray sources for single-crystal structure determination. J. Appl. Crystallogr. 2015, 48, 3–10. [Google Scholar] [CrossRef] [PubMed]
- Sheldrick, G.M. SHELXT—Integrated space-group and crystal-structure determination. Acta Crystallogr. Sect. A Found. Adv. 2015, 71, 3–8. [Google Scholar] [CrossRef] [PubMed]
- Sheldrick, G.M. Crystal structure refinement with SHELXL. Acta Crystallogr. Sect. C Struct. Chem. 2015, 71, 3–8. [Google Scholar] [CrossRef]
- Farrugia, L.J. WinGX and ORTEP for Windows: An update. J. Appl. Crystallogr. 2012, 45, 849–854. [Google Scholar] [CrossRef]
Disclaimer/Publisher’s Note: The statements, opinions and data contained in all publications are solely those of the individual author(s) and contributor(s) and not of MDPI and/or the editor(s). MDPI and/or the editor(s) disclaim responsibility for any injury to people or property resulting from any ideas, methods, instructions or products referred to in the content. |
© 2024 by the authors. Licensee MDPI, Basel, Switzerland. This article is an open access article distributed under the terms and conditions of the Creative Commons Attribution (CC BY) license (https://creativecommons.org/licenses/by/4.0/).




