Synthesis, Spectral Characteristics, and Molecular Docking Studies of 2,4-Dichloro-N-(2,2,2-trichloro-1-((5-(phenylamino)-1,3,4-thiadiazol-2-yl)amino)ethyl)benzamide †
Abstract
1. Introduction
2. Materials and Methods
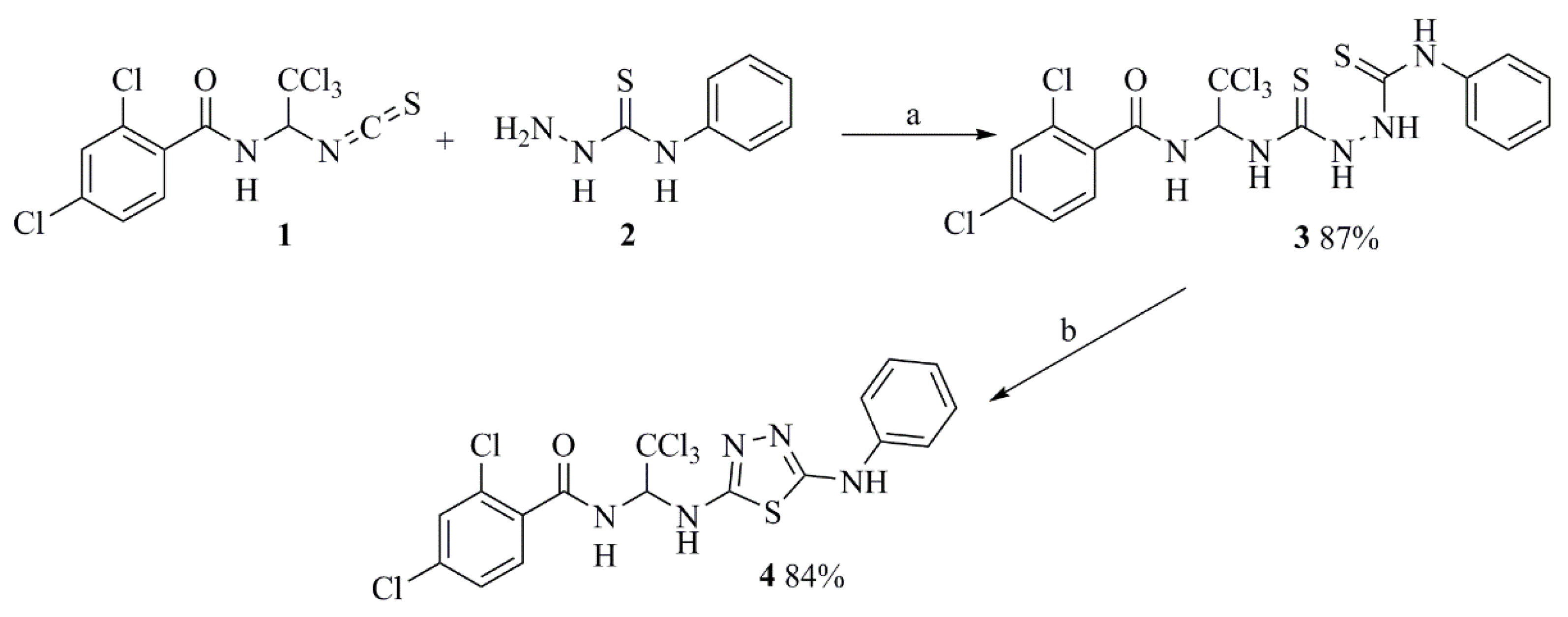
2.1. Chemistry
2.2. Molecular Docking Studies
3. Results and Discussion
3.1. Chemistry
3.2. Molecular Docking Studies
4. Conclusions
Supplementary Materials
Author Contributions
Funding
Institutional Review Board Statement
Informed Consent Statement
Data Availability Statement
Conflicts of Interest
References
- Hu, Y.; Li, C.-Y.; Wang, X.-M.; Yang, Y.-H.; Zhu, H.-L. 1,3,4-Thiadiazole: Synthesis, Reactions, and Applications in Medicinal, Agricultural, and Materials Chemistry. Chem. Rev. 2014, 114, 5572–5610. [Google Scholar] [CrossRef] [PubMed]
- Jain, A.K.; Sharma, S.; Vaidya, A.; Ravichandran, V.; Agrawal, R.K. 1,3,4-Thiadiazole and its Derivatives: A Review on Recent Progress in Biological Activities. Chem. Biol. Drug Des. 2013, 81, 557–576. [Google Scholar] [CrossRef] [PubMed]
- Janowska, S.; Paneth, A.; Wujec, M. Cytotoxic Properties of 1,3,4-Thiadiazole Derivatives—A Review. Molecules 2020, 25, 4309. [Google Scholar] [CrossRef] [PubMed]
- Obakachia, V.A.; Kushwaha, B.; Kushwaha, N.D.; Mokoena, S.; Ganai, A.M.; Pathan, T.K.; van Zyl, W.E.; Karpoormath, R. Synthetic and anti-cancer activity aspects of 1,3,4-thiadiazole containing bioactive molecules: A concise review. J. Sulfur Chem. 2021, 42, 670–691. [Google Scholar] [CrossRef]
- Munkuev, A.A.; Dyrkheeva, N.S.; Kornienko, T.E.; Ilina, E.S.; Ivankin, D.I.; Suslov, E.V.; Korchagina, D.V.; Gatilov, Y.V.; Zakharenko, A.L.; Malakhova, A.A.; et al. Adamantane-Monoterpenoid Conjugates Linked via Heterocyclic Linkers Enhance the Cytotoxic Effect of Topotecan. Molecules 2022, 27, 3374. [Google Scholar] [CrossRef]
- Vanitha, U.; Elancheran, R.; Kabilan, S.; Krishnasamy, K. Screening of 1,3,4-Thiadiazole Derivatives by in silico Molecular Docking to Target Estrogen Receptor for Breast Cancer. Biointerface Res. Appl. Chem. 2023, 13, 160. [Google Scholar] [CrossRef]
- Mondal, U.K.; Doroba, K.; Shabana, A.M.; Adelberg, R.; Alam, M.R.; Supuran, C.T.; Ilies, M.A. PEG Linker Length Strongly Affects Tumor Cell Killing by PEGylated Carbonic Anhydrase Inhibitors in Hypoxic Carcinomas Expressing Carbonic Anhydrase IX. Int. J. Mol. Sci. 2021, 22, 1120. [Google Scholar] [CrossRef]
- Gonda, M.K.; Pandey, S.K.; Chandra, S.; Tiwari, N.; Bharty, M.K.; Maiti, B.; Katiyar, D.; Butcher, R.J. Zinc(II) catalyzed synthesis of 2-(4-methoxyphenyl)-5-(2-pyridyl)-1,3,4-thiadiazole: Characterizations, Crystal Structure, DFT calculation, Hirshfeld surface analysis, and Molecular docking analysis. J. Mol. Struct. 2022, 1267, 133586. [Google Scholar] [CrossRef]
- Liu, Y.; Li, J.; Liu, X.; Li, Z.; Men, Y.; Sun, Y.; Chen, B. Design, synthesis, and screening for the antiproliferative activity of new 1,3,4-thiadiazole scaffold linked to substituted phenacyl derivatives and disulfides. J. Sulfur Chem. 2022, 43, 426–442. [Google Scholar] [CrossRef]
- Frija, L.M.T.; Ntungwe, E.; Sitarek, P.; Andrade, J.M.; Toma, M.; Śliwiński, T.; Cabral, L.; Cristiano, M.L.S.; Rijo, P.; Pombeiro, A.J.L. In Vitro Assessment of Antimicrobial, Antioxidant, and Cytotoxic Properties of Saccharin–Tetrazolyl and –Thiadiazolyl Derivatives: The Simple Dependence of the pH Value on Antimicrobial Activity. Pharmaceuticals 2019, 12, 167. [Google Scholar] [CrossRef]
- Sousa-Pereira, D.; de Oliveira, T.S.; Paiva, R.O.; Chaves, O.A.; Netto-Ferreira, J.C.; Echevarria-Lima, J.; Echevarria, A. Synthetic (E)-3-Phenyl-5-(phenylamino)-2-styryl-1,3,4-thiadiazol-3-ium Chloride Derivatives as Promising Chemotherapy Agents on Cell Lines Infected with HTLV-1. Molecules 2020, 25, 2537. [Google Scholar] [CrossRef] [PubMed]
- Serban, G. Synthetic Compounds with 2-Amino-1,3,4-Thiadiazole Moiety Against Viral Infections. Molecules 2020, 25, 942. [Google Scholar] [CrossRef] [PubMed]
- Brai, A.; Ronzini, S.; Riva, V.; Botta, L.; Zamperini, C.; Borgini, M.; Trivisani, C.I.; Garbelli, A.; Pennisi, C.; Boccuto, A.; et al. Synthesis and Antiviral Activity of Novel 1,3,4-Thiadiazole Inhibitors of DDX3X. Molecules 2019, 24, 3988. [Google Scholar] [CrossRef]
- Płonka, W.; Paneth, A.; Paneth, P. Docking and QSAR of Aminothioureas at the SARS-CoV-2 S-Protein–Human ACE2 Receptor Interface. Molecules 2020, 25, 4645. [Google Scholar] [CrossRef]
- Rashdan, H.R.M.; Abdelmonsef, A.H.; Abou-Krisha, M.M.; Yousef, T.A. Synthesis and Identification of Novel Potential Thiadiazole Based Molecules Containing 1,2,3-triazole Moiety Against COVID-19 Main Protease Through Structure-Guided Virtual Screening Approach. Biointerface Res. Appl. Chem. 2022, 12, 8258–8270. [Google Scholar] [CrossRef]
- Zaki, Y.H.; Abdelhamid, A.O.; Sayed, A.R.; Mohamed, H.S. Synthesis of 1,3,4-Thiadiazole Derivatives Using Hydrazonoyl Bromide: Molecular Docking and Computational Studies. Polycycl. Aromat. Compd. 2022, 1–14. [Google Scholar] [CrossRef]
- Bhat, M.A.; Jan, M.; Manzoor, U.; Shalla, A.H.; Butcher, R.J.; Jasinski, J.P. Synthesis of novel 2,5-bis(substituted thio)-1,3,4-thiadiazoles by acid catalyzed intermolecular cyclization reactions of substituted dithiocarbazates as a possible 2019-nCoV main protease inhibitor. J. Mol. Struct. 2022, 1253, 132252. [Google Scholar] [CrossRef]
- Janowska, S.; Khylyuk, D.; Andrzejczuk, S.; Wujec, M. Design, Synthesis, Antibacterial Evaluations and In Silico Studies of Novel Thiosemicarbazides and 1,3,4-Thiadiazoles. Molecules 2022, 27, 3161. [Google Scholar] [CrossRef]
- Rashdan, H.R.M.; Abdelrahman, M.T.; Shehadi, I.A.; El-Tanany, S.S.; Hemdan, B.A. Novel Thiadiazole-Based Molecules as Promising Inhibitors of Black Fungi and Pathogenic Bacteria: In Vitro Antimicrobial Evaluation and Molecular Docking Studies. Molecules 2022, 27, 3613. [Google Scholar] [CrossRef]
- Stefaniu, A.; Pintilie, L.; Anastasoaie, V.; Ungureanu, E.-M. In silico Evaluation of Antimicrobial Activity of Some Thiadiazoles Using Molecular Docking Approach. Chem. Proc. 2021, 3, 116. [Google Scholar] [CrossRef]
- Omar, A.Z.; Alshaye, N.A.; Mosa, T.M.; El-Sadany, S.K.; Hamed, E.A.; El-Atawy, M.A. Synthesis and Antimicrobial Activity Screening of Piperazines Bearing N,N′-Bis(1,3,4-thiadiazole) Moiety as Probable Enoyl-ACP Reductase Inhibitors. Molecules 2022, 27, 3698. [Google Scholar] [CrossRef] [PubMed]
- Pund, A.A.; Saboo, S.S.; Sonawane, G.M.; Dukale, A.C.; Magare, B.K. Synthesis of 2,5-disubstituted-1,3,4-thiadiazole derivatives from (2S)-3-(benzyloxy)-2-[(tert-butoxycarbonyl) amino]propanoic acid and evaluation of anti-microbial activity. Synth. Commun. 2020, 50, 3854–3864. [Google Scholar] [CrossRef]
- Chen, M.; Duan, W.-G.; Lin, G.-S.; Fan, Z.-T.; Wang, X. Synthesis, Antifungal Activity, and 3D-QSAR Study of Novel Nopol-Derived 1,3,4-Thiadiazole-Thiourea Compounds. Molecules 2021, 26, 1708. [Google Scholar] [CrossRef] [PubMed]
- Patel, A.B.; Rohit, J.V. Development of 1,3,4-Thiadiazole and Piperazine Fused Hybrid Quinazoline Derivatives as Dynamic Antimycobacterial Agents. Polycycl. Aromat. Compd. 2021, 42, 5991–6002, in press. [Google Scholar] [CrossRef]
- Muğlu, H.; Akın, M.; Çavuş, M.S.; Yakan, H.; Şaki, N.; Güzel, E. Exploring of antioxidant and antibacterial properties of novel 1,3,4-thiadiazole derivatives: Facile synthesis, structural elucidation and DFT approach to antioxidant characteristics. Comput. Biol. Chem. 2022, 96, 107618. [Google Scholar] [CrossRef]
- Gomha, S.M.; Muhammad, Z.A.; Al-Hussain, S.A.; Zaki, M.E.A.; Abdel-Aziz, H.M. Synthesis, Characterization, and Antimicrobial Evaluation of Some New 1,4-Dihydropyridine Hybrid with 1,3,4-Thiadiazole. Polycycl. Aromat. Compd. 2022, 42, 1697–1709. [Google Scholar] [CrossRef]
- Laachir, A.; Zine, H.; Guesmi, S.; Ketatni, E.M.; Saadi, M.; Ammari, L.E.; Mentré, O.; Bentiss, F. Unusual mixed-valence CuII/CuI coordination polymer based on 2,5-bis(pyridine-2-yl)-1,3,4-thiadiazole and thiocyanate: Synthesis, structural characterization and antimicrobial in vitro activity assessment. Polyhedron 2021, 209, 115494. [Google Scholar] [CrossRef]
- Pund, A.A.; Shaikh, M.H.; Chandak, B.G.; Bhosale, V.N.; Magare, B.K. Pyridine-1,3,4-Thiadiazole-Schiff Base Derivatives, as Antioxidant and Antimitotic Agent: Synthesis and in Silico ADME Studies. Polycycl. Aromat. Compd. 2022, 1–16. [Google Scholar] [CrossRef]
- Budziak, I.; Karcz, D.; Makowski, M.; Rachwał, K.; Starzak, K.; Matwijczuk, A.; Myśliwa-Kurdziel, B.; Oniszczuk, A.; Combrzyński, M.; Podleśna, A.; et al. Non-Typical Fluorescence Effects and Biological Activity in Selected 1,3,4-thiadiazole Derivatives: Spectroscopic and Theoretical Studies on Substituent, Molecular Aggregation, and pH Effects. Int. J. Mol. Sci. 2019, 20, 5494. [Google Scholar] [CrossRef]
- Hashem, H.E.; Amr, A.E.-G.E.; Nossier, E.S.; Elsayed, E.A.; Azmy, E.M. Synthesis, Antimicrobial Activity and Molecular Docking of Novel Thiourea Derivatives Tagged with Thiadiazole, Imidazole and Triazine Moieties as Potential DNA Gyrase and Topoisomerase IV Inhibitors. Molecules 2020, 25, 2766. [Google Scholar] [CrossRef]
- Liu, Z.; Bian, M.; Ma, Q.-Q.; Zhang, Z.; Du, H.-H.; Wei, C.-X. Design and Synthesis of New Benzo[d]oxazole-Based Derivatives and Their Neuroprotective Effects on β-Amyloid-Induced PC12 Cells. Molecules 2020, 25, 5391. [Google Scholar] [CrossRef] [PubMed]
- Węglińska, L.; Bekier, A.; Dzitko, K.; Pacholczyk-Sienicka, B.; Albrecht, Ł.; Plech, T.; Paneth, P.; Paneth, A. 1,3,4-Thiadiazoles Effectively Inhibit Proliferation of Toxoplasma gondii. Cells 2021, 10, 1053. [Google Scholar] [CrossRef] [PubMed]
- Holota, S.; Yushyn, I.; Khyluk, D.; Vynnytska, R.; Lesyk, R. N-(3-Cyano-4,5,6,7-tetrahydrobenzothiophen-2-yl)-2-[[5-[(1,5-dimethyl-3-oxo-2-phenylpyrazol-4-yl)amino]-1,3,4-thiadiazol-2-yl]sulfanyl]acetamide. Molbank 2021, 2021, M1211. [Google Scholar] [CrossRef]
- Omar, Y.M.; Abdel-Moty, S.G.; Abdu-Allah, H.H.M. Further insight into the dual COX-2 and 15-LOX anti-inflammatory activity of 1,3,4-thiadiazole-thiazolidinone hybrids: The contribution of the substituents at 5th positions is size dependent. Bioorg. Chem. 2020, 97, 103657. [Google Scholar] [CrossRef]
- Aggarwal, N.; Jain, S.; Chopra, N. Hybrids of Thiazolidin-4-Ones and 1,3,4-Thiadiazole: Synthesis and Biological Screening of A Potential New Class of Acetylcholinesterae Inhibitors. Biointerface Res. Appl. Chem. 2022, 12, 2800–2812. [Google Scholar] [CrossRef]
- Karcz, D.; Starzak, K.; Ciszkowicz, E.; Lecka-Szlachta, K.; Kamiński, D.; Creaven, B.; Miłoś, A.; Jenkins, H.; Ślusarczyk, L.; Matwijczuk, A. Design, Spectroscopy, and Assessment of Cholinesterase Inhibition and Antimicrobial Activities of Novel Coumarin–Thiadiazole Hybrids. Int. J. Mol. Sci. 2022, 23, 6314. [Google Scholar] [CrossRef]
- Zhao, X.; Zhan, X.; Zhang, H.; Wan, Y.; Yang, H.; Wang, Y.; Chen, Y.; Xie, W. Synthesis and biological evaluation of isatin derivatives containing 1,3,4-thiadiazole as potent a-glucosidase inhibitors. Bioorganic Med. Chem. Lett. 2021, 54, 128447. [Google Scholar] [CrossRef]
- Ali, A.; Ali, A.; Warsi, M.H.; Rahman, M.A.; Ahsan, M.J.; Azam, F. Toward the Discovery of a Novel Class of Leads for High Altitude Disorders by Virtual Screening and Molecular Dynamics Approaches Targeting Carbonic Anhydrase. Int. J. Mol. Sci. 2022, 23, 5054. [Google Scholar] [CrossRef]
- Du, X.-J.; Peng, X.-J.; Zhao, R.-Q.; Zhao, W.-G.; Dong, W.-L.; Liu, X.-H. Design, synthesis and antifungal activity of threoninamide carbamate derivatives via pharmacophore model. J. Enzym. Inhib. Med. Chem. 2020, 35, 682–691. [Google Scholar] [CrossRef]
- Chen, M.; Zhang, X.; Lu, D.; Luo, H.; Zhou, Z.; Qin, X.; Wu, W.; Zhang, G. Synthesis and Bioactivities of Novel 1,3,4-Thiadiazole Derivatives of Glucosides. Front. Chem. 2021, 9, 645876. [Google Scholar] [CrossRef]
- Pan, N.; Liu, C.; Wu, R.; Fei, Q.; Wu, W. Novel Pyrimidine Derivatives Bearing a 1,3,4-Thiadiazole Skeleton: Design, Synthesis, and Antifungal Activity. Front. Chem. 2022, 10, 922813. [Google Scholar] [CrossRef] [PubMed]
- Karcz, D.; Matwijczuk, A.; Kamiński, D.; Creaven, B.; Ciszkowicz, E.; Lecka-Szlachta, K.; Starzak, K. Structural Features of 1,3,4-Thiadiazole-Derived Ligands and Their Zn(II) and Cu(II) Complexes Which Demonstrate Synergistic Antibacterial Effects with Kanamycin. Int. J. Mol. Sci. 2020, 21, 5735. [Google Scholar] [CrossRef] [PubMed]
- Hangan, A.C.; Turza, A.; Lucaciu, R.L.; Sevastre, B.; Páll, E.; Oprean, L.S.; Borodi, G. New Cu+2 Complexes with N-Sulfonamide Ligands: Potential Antitumor, Antibacterial, and Antioxidant Agents. Molecules 2022, 27, 3338. [Google Scholar] [CrossRef] [PubMed]
- Masaryk, L.; Zoufalý, P.; Słoczyńska, K.; Zahradniková, E.; Milde, D.; Koczurkiewicz-Adamczyk, P.; Štarha, P. New Pt(II) diiodido complexes containing bidentate 1,3,4-thiadiazole-based ligands: Synthesis, characterization, cytotoxicity. Inorg. Chim. Acta 2022, 536, 120891. [Google Scholar] [CrossRef]
- Gupta, Y.; Zaidi, Z.; Mehta, S.; Chandewar, P.R.; Kumar, N.; Paul, A.K.; Shee, D.; Mondal, A.; Sorokhaibam, L.G.; Banerjee, A. Assembly of a coordination polymer with sulphate-capped pentamolybdate units and copper: Synthesis, structure, magnetic and catalytic studies. Dalton Trans. 2022, 51, 7255–7267. [Google Scholar] [CrossRef]
- Mercuri, G.; Giambastiani, G.; Rossin, A. Thiazole- and Thiadiazole-Based Metal–Organic Frameworks and Coordination Polymers for Luminescent Applications. Inorganics 2019, 7, 144. [Google Scholar] [CrossRef]
- Suárez-Herrera, M.F.; Gamero-Quijano, A.; Scanlon, M.D. Electrosynthesis of poly(2,5-dimercapto-1,3,4-thiadiazole) films and their composites with gold nanoparticles at a polarised liquid|liquid interface. Electrochim. Acta 2022, 424, 140677. [Google Scholar] [CrossRef]
- Dylong, A.; Dysz, K.; Bogdanowicz, K.A.; Przybył, W.; Konieczny, K.A.; Turowska-Tyrk, I.; Kaim, A.; Iwan, A. Crystal Structure Determination of 4-[(Di-p-tolyl-amino)-benzylidene]-(5-pyridin-4-yl-[1,3,4]thiadiazol-2-yl)-imine along with Selected Properties of Imine in Neutral and Protonated Form with Camforosulphonic Acid: Theoretical and Experimental Studies. Materials 2021, 14, 1952. [Google Scholar] [CrossRef]
- Leal, J.F.; Guerreiro, B.; Amado, P.S.M.; Fernandes, A.L.; Barreira, L.; Paixão, J.A.; Cristiano, M.L.S. On the Development of Selective Chelators for Cadmium: Synthesis, Structure and Chelating Properties of 3-((5-(trifluoromethyl)-1,3,4-thiadiazol-2-yl)amino)benzo[d]isothiazole 1,1-dioxide, a Novel Thiadiazolyl Saccharinate. Molecules 2021, 26, 1501. [Google Scholar] [CrossRef]
- Hu, Y.; Zhao, Z.; Lu, L.; Zhu, H.; Xiong, W.; Zhu, Y.; Luo, S.; Zhang, X.; Yang, B. Investigation on a Novel Galena Depressant in the Flotation Separation from Molybdenite. Minerals 2021, 11, 410. [Google Scholar] [CrossRef]
- Kordas, G. ORMOSIL Coatings Enriched with CeO2 (5-ATDT)-Ceramic Nanocontainers for Enhanced Protection of HDG Steel Used in Concrete. Materials 2022, 15, 3913. [Google Scholar] [CrossRef]
- Kudelko, A.; Olesiejuk, M.; Luczynski, M.; Swiatkowski, M.; Sieranski, T.; Kruszynski, R. 1,3,4-Thiadiazole-Containing Azo Dyes: Synthesis, Spectroscopic Properties and Molecular Structure. Molecules 2020, 25, 2822. [Google Scholar] [CrossRef] [PubMed]
- Czernel, G.; Budziak, I.; Oniszczuk, A.; Karcz, D.; Pustuła, K.; Górecki, A.; Matwijczuk, A.; Gładyszewska, B.; Gagoś, M.; Niewiadomy, A.; et al. ESIPT-Related Origin of Dual Fluorescence in the Selected Model 1,3,4-Thiadiazole Derivatives. Molecules 2020, 25, 4168. [Google Scholar] [CrossRef] [PubMed]
- Huang, H.; Chen, Q.; Ku, X.; Meng, L.; Lin, L.; Wang, X.; Zhu, C.; Wang, Y.; Chen, Z.; Li, M.; et al. A Series of α-Heterocyclic Carboxaldehyde Thiosemicarbazones Inhibit Topoisomerase IIα Catalytic Activity. J. Med. Chem. 2010, 53, 3048–3064. [Google Scholar] [CrossRef] [PubMed]
- Zadorozhnii, P.; Pokotylo, I.O.; Kiselev, V.V.; Kharchenko, A.V.; Okhtina, O.V. Synthesis and spectral characteristics of N-(1-([1,2,4]triazolo[3,4-b][1,3,4]thiadiazol-6-ylamino)-2,2,2-trichloroethyl)carboxamides. Heterocycl. Commun. 2019, 25, 130–137. [Google Scholar] [CrossRef]
- Zadorozhnii, P.V.; Pokotylo, I.O.; Kiselev, V.V.; Okhtina, O.V.; Kharchenko, A.V. Molecular Docking Studies of N-(((5-Aryl-1,3,4-oxadiazol-2-yl)amino)methyl)-and N-(2,2,2-Trichloro-1-((5-aryl-1,3,4-oxadiazol-2-yl)amino)ethyl)carboxamides as Potential Inhibitors of GSK-3β. Res. J. Pharm. Technol. 2019, 12, 523–530. [Google Scholar] [CrossRef]
- Lewis, W.S.; Cody, V.; Galitsky, N.; Luft, J.R.; Pangborn, W.; Chunduru, S.K.; Spencer, H.T.; Appleman, J.R.; Blakley, R.L. Methotrexate-resistant Variants of Human Dihydrofolate Reductase with Substitutions of Leucine 22. Kinetics, crystal-lography, and potential as selectable markers. J. Biol. Chem. 1995, 270, 5057–5064. [Google Scholar] [CrossRef]
- Pettersen, E.F.; Goddard, T.D.; Huang, C.C.; Couch, G.S.; Greenblatt, D.M.; Meng, E.C.; Ferrin, T.E. UCSF Chimera-a visualization system for exploratory research and analysis. J. Comput. Chem. 2004, 25, 1605–1612. [Google Scholar] [CrossRef]
- Thiel, W. Semiempirical quantum–chemical methods. WIREs Comput. Mol. Sci. 2014, 4, 145–157. [Google Scholar] [CrossRef]
- Thompson, M.A.; Zerner, M.C. A theoretical examination of the electronic structure and spectroscopy of the photosynthetic reaction center from Rhodopseudomonas viridis. J. Am. Chem. Soc. 1991, 113, 8210–8215. [Google Scholar] [CrossRef]
- Thompson, M.A.; Glendening, E.D.; Feller, D. The Nature of K+/Crown Ether Interactions: A Hybrid Quantum Mechanical-Molecular Mechanical Study. J. Phys. Chem. 1994, 98, 10465–10476. [Google Scholar] [CrossRef]
- Thompson, M.A.; Schenter, G.K. Excited States of the Bacteriochlorophyll b Dimer of Rhodopseudomonas viridis: A QM/MM Study of the Photosynthetic Reaction Center That Includes MM Polarization. J. Phys. Chem. 1995, 99, 6374–6386. [Google Scholar] [CrossRef]
- Thompson, M.A. QM/MMpol: A Consistent Model for Solute/Solvent Polarization. Application to the Aqueous Solvation and Spectroscopy of Formaldehyde, Acetaldehyde, and Acetone. J. Phys. Chem. 1996, 100, 14492–14507. [Google Scholar] [CrossRef]
- Thompson, M. ArgusLab 4.0.1.; Planaria Software LLC: Seattle, WA, USA, 2004; Available online: https://www.arguslab.com (accessed on 19 August 2022).
- Trott, O.; Olson, A.J. AutoDock Vina: Improving the speed and accuracy of docking with a new scoring function, efficient optimization, and multithreading. J. Comput. Chem. 2010, 31, 455–461. [Google Scholar] [CrossRef] [PubMed]
- Riyadh, S.M.; El-Motairi, S.A.; Ahmed, H.E.A.; Khalil, K.D.; Habib, E.-S.E. Synthesis, Biological Evaluation, and Molecular Docking of Novel Thiazoles and [1,3,4]Thiadiazoles Incorporating Sulfonamide Group as DHFR Inhibitors. Chem. Biodivers. 2018, 15, e1800231. [Google Scholar] [CrossRef] [PubMed]
- Al-Rashood, S.T.; Hassan, G.S.; El-Messery, S.M.; Nagi, M.N.; Habib, E.-S.E.; Al-Omary, F.A.M.; El-Subbagh, H.I. Synthesis, biological evaluation and molecular modeling study of 2-(1,3,4-thiadiazolyl-thio and 4-methyl-thiazolyl-thio)-quinazolin-4-ones as a new class of DHFR inhibitors. Bioorg. Med. Chem. Lett. 2014, 24, 4557–4567. [Google Scholar] [CrossRef]
- Gomha, S.M.; Edrees, M.M.; Muhammad, Z.A.; El-Reedy, A.A.M. 5-(Thiophen-2-yl)-1,3,4-thiadiazole derivatives: Synthesis, molecular docking and in vitro cytotoxicity evaluation as potential anticancer agents. Drug Des. Dev. Ther. 2018, 12, 1511–1523. [Google Scholar] [CrossRef]
- El-Gazzar, Y.I.; Georgey, H.H.; El-Messery, S.M.; Ewida, H.A.; Hassan, G.S.; Raafat, M.M.; Ewida, M.A.; El-Subbagh, H.I. Synthesis, biological evaluation and molecular modeling study of new (1,2,4-triazole or 1,3,4-thiadiazole)-methylthio-derivatives of quinazolin-4(3H)-one as DHFR inhibitors. Bioorg. Chem. 2017, 72, 282–292. [Google Scholar] [CrossRef]
- El-Naggar, M.; Sallam, H.A.; Shaban, S.S.; Abdel-Wahab, S.S.; Amr, A.E.-G.E.; Azab, M.E.; Nossier, E.S.; Al-Omar, M.A. Design, Synthesis, and Molecular Docking Study of Novel Heterocycles Incorporating 1,3,4-Thiadiazole Moiety as Potential Antimicrobial and Anticancer Agents. Molecules 2019, 24, 1066. [Google Scholar] [CrossRef]



Disclaimer/Publisher’s Note: The statements, opinions and data contained in all publications are solely those of the individual author(s) and contributor(s) and not of MDPI and/or the editor(s). MDPI and/or the editor(s) disclaim responsibility for any injury to people or property resulting from any ideas, methods, instructions or products referred to in the content. |
© 2022 by the authors. Licensee MDPI, Basel, Switzerland. This article is an open access article distributed under the terms and conditions of the Creative Commons Attribution (CC BY) license (https://creativecommons.org/licenses/by/4.0/).
Share and Cite
Pavlova, V.V.; Zadorozhnii, P.V.; Kiselev, V.V.; Kharchenko, A.V. Synthesis, Spectral Characteristics, and Molecular Docking Studies of 2,4-Dichloro-N-(2,2,2-trichloro-1-((5-(phenylamino)-1,3,4-thiadiazol-2-yl)amino)ethyl)benzamide. Chem. Proc. 2022, 12, 8. https://doi.org/10.3390/ecsoc-26-13642
Pavlova VV, Zadorozhnii PV, Kiselev VV, Kharchenko AV. Synthesis, Spectral Characteristics, and Molecular Docking Studies of 2,4-Dichloro-N-(2,2,2-trichloro-1-((5-(phenylamino)-1,3,4-thiadiazol-2-yl)amino)ethyl)benzamide. Chemistry Proceedings. 2022; 12(1):8. https://doi.org/10.3390/ecsoc-26-13642
Chicago/Turabian StylePavlova, Valeriia V., Pavlo V. Zadorozhnii, Vadym V. Kiselev, and Aleksandr V. Kharchenko. 2022. "Synthesis, Spectral Characteristics, and Molecular Docking Studies of 2,4-Dichloro-N-(2,2,2-trichloro-1-((5-(phenylamino)-1,3,4-thiadiazol-2-yl)amino)ethyl)benzamide" Chemistry Proceedings 12, no. 1: 8. https://doi.org/10.3390/ecsoc-26-13642
APA StylePavlova, V. V., Zadorozhnii, P. V., Kiselev, V. V., & Kharchenko, A. V. (2022). Synthesis, Spectral Characteristics, and Molecular Docking Studies of 2,4-Dichloro-N-(2,2,2-trichloro-1-((5-(phenylamino)-1,3,4-thiadiazol-2-yl)amino)ethyl)benzamide. Chemistry Proceedings, 12(1), 8. https://doi.org/10.3390/ecsoc-26-13642

