Synthesis and Evaluation of an Azo Dye for the Chromogenic Detection of Metal Cations †
Abstract
1. Introduction
2. Experimental Section
2.1. Instruments and Materials
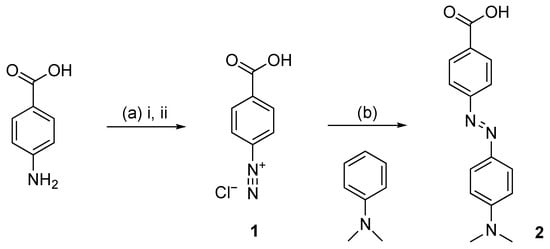
2.2. Synthesis of Dabcyl 2
2.3. Preliminary Chemosensing Studies and Spectrophotometric Titrations of Dabcyl 2
3. Results and Discussion
3.1. Synthesis and Characterization of Dabcyl 2
3.2. Preliminary Chemosensing Studies of Dabcyl 2
3.3. Spectrophotometric Titrations of Dabcyl 2
4. Conclusions
Author Contributions
Funding
Institutional Review Board Statement
Informed Consent Statement
Data Availability Statement
Conflicts of Interest
References
- You, L.; Zha, D.; Anslyn, E.V. Recent advances in supramolecular analytical chemistry using optical sensing. Chem. Rev. 2015, 115, 7840–7892. [Google Scholar] [CrossRef] [PubMed]
- Kaur, B.; Kaur, N.; Kumar, S. Colorimetric metal ion sensors—A comprehensive review of the years 2011–2016. Coord. Chem. Rev. 2018, 358, 13–69. [Google Scholar] [CrossRef]
- Wu, D.; Sedgwick, A.C.; Gunnlaugsson, T.; Akkaya, E.U.; Yoon, J.; James, T.D. Fluorescent chemosensors: The past, present and future. Chem. Soc. Rev. 2017, 46, 7105–7123. [Google Scholar] [CrossRef] [PubMed]
- Heo, G.; Manivannan, R.; Kim, H.; Kim, M.J.; Min, K.S.; Son, Y.-A. Developing an RGB—Arduino device for the multi-color recognition, detection and determination of Fe(III), Co(II), Hg(II) and Sn(II) in aqueous media by a terpyridine moiety. Sens. Actuators B Chem. 2019, 297, 126723. [Google Scholar] [CrossRef]
- Ando, S.; Koide, K. Development and applications of fluorogenic probes for mercury(II) based on vinyl ether oxymercuration. J. Am. Chem. Soc. 2011, 133, 2556–2566. [Google Scholar] [CrossRef] [PubMed]
- Liu, S.; Tan, S.; Hu, H.; Chen, Z.; Pu, S. Novel colorimetric and fluorescent chemosensor for Hg2+/Sn2+ based on a photochromic diarylethene with a styrene-linked pyrido[2,3-b] pyrazine unit. J. Photochem. Photobiol. A Chem. 2021, 418, 113439. [Google Scholar] [CrossRef]
- Manna, S.K.; Mondal, S.; Jana, B.; Samanta, K. Recent advances in tin ion detection using fluorometric and colorimetric chemosensors. New J. Chem. 2022, 46, 7309–7328. [Google Scholar] [CrossRef]
- Gupta, V.K.; Shoora, S.K.; Kumawat, L.K.; Jain, A.K. A highly selective colorimetric and turn-on fluorescent chemosensor based on 1-(2-pyridylazo)-2-naphthol for the detection of aluminium(III) ions. Sens. Actuators B Chem. 2015, 209, 15–24. [Google Scholar] [CrossRef]
- Singh, V.P.; Tiwari, K.; Mishra, M.; Srivastava, N.; Saha, S. 5-[{(2-Hydroxynaphthalen-1-yl)methyl}amino]pyridine-2,4(1H,3H)-dione as Al3+ selective colorimetric and fluorescent chemosensor. Sens. Actuators B Chem. 2013, 182, 546–554. [Google Scholar] [CrossRef]
- Sareen, D.; Paramjit Kaur, P.; Singh, K. Strategies in detection of metal ions using dyes. Coord. Chem. Rev. 2014, 265, 125–154. [Google Scholar] [CrossRef]
- Kaur, P.; Kaur, S.; Mahajan, A.; Singh, K. Highly selective colorimetric sensor for Zn2+ based on hetarylazo derivative. Inorg. Chem. Commun. 2008, 11, 626–629. [Google Scholar] [CrossRef]
- Kempf, O.; Kempf, K.; Schobert, R.; Bombarda, E. Hydrodabcyl: A superior hydrophilic alternative to the dark fluorescence quencher Dabcyl. Anal. Chem. 2017, 89, 11893–11897. [Google Scholar] [CrossRef] [PubMed]
- Wu, L.; Huang, C.; Emery, B.P.; Sedgwick, A.C.; Bull, S.D.; He, X.-P.; Tian, H.; Yoon, J.; Sessler, J.L.; James, T.D. Förster resonance energy transfer (FRET)-based small-molecule sensors and imaging agents. Chem. Soc. Rev. 2020, 49, 5110–5139. [Google Scholar] [CrossRef] [PubMed]
- Saremi, M.; Kakanejadifard, A.; Adeli, M. A ratiometric fluorescent sensor based azo compound of 4-(4-Dimethylamino-phenylazo)-N-pyridin-2-ylmethyl-benzamide for rapid and selective detection of Fe3+ ion. J. Mol. Liq. 2022, 358, 119168. [Google Scholar] [CrossRef]
- Presti, M.L.; Martínez-Máñez, R.; Ros-Lis, J.V.; Batista, R.M.F.; Costa, S.P.G.; Raposo, M.M.M.; Sancenón, F. A dual channel sulphur-containing macrocycle functionalised BODIPY probe for the detection of Hg(II) in mixed aqueous solution. New J. Chem. 2018, 42, 7863–7868. [Google Scholar] [CrossRef]
- Martins, C.D.F.; Batista, P.M.R.; Raposo, M.M.M.; Costa, S.P.G. Crown ether benzoxazolyl-alanines as fluorimetric chemosensors for the detection of palladium in aqueous environment. Chem. Proc. 2021, 3, 5. [Google Scholar]
- Esteves, C.I.C.; Ferreira, R.C.M.; Raposo, M.M.M.; Costa, S.P.G. New fluoroionophores for metal cations based on benzo[d]oxazol-5-yl-alanine bearing pyrrole and imidazole. Dyes Pigm. 2018, 151, 211–218. [Google Scholar] [CrossRef]
- Okda, H.E.; El Sayed, S.; Ferreira, R.C.M.; Gonçalves, R.C.R.; Costa, S.P.G.; Raposo, M.M.M.; Martínez-Máñez, R.; Sancenón, F. N,N-diphenylanilino-heterocyclic aldehyde-based chemosensors for UV-vis/NIR and fluorescence Cu(II) detection. New J. Chem. 2019, 43, 7393–7402. [Google Scholar] [CrossRef]
- Chevalier, A.; Renard, P.-Y.; Romieu, A. Azo-based fluorogenic probes for biosensing and bioimaging: Recent advances and upcoming challenges. Chem. Asian J. 2017, 16, 2008–2028. [Google Scholar] [CrossRef] [PubMed]
- Bandara, H.M.D.; Burdette, S.C. Photoisomerization in different classes of azobenzene. Chem. Soc. Rev. 2012, 41, 1809–1825. [Google Scholar] [CrossRef] [PubMed]




Disclaimer/Publisher’s Note: The statements, opinions and data contained in all publications are solely those of the individual author(s) and contributor(s) and not of MDPI and/or the editor(s). MDPI and/or the editor(s) disclaim responsibility for any injury to people or property resulting from any ideas, methods, instructions or products referred to in the content. |
© 2022 by the authors. Licensee MDPI, Basel, Switzerland. This article is an open access article distributed under the terms and conditions of the Creative Commons Attribution (CC BY) license (https://creativecommons.org/licenses/by/4.0/).
Share and Cite
Martins, C.D.F.; Raposo, M.M.M.; Costa, S.P.G. Synthesis and Evaluation of an Azo Dye for the Chromogenic Detection of Metal Cations. Chem. Proc. 2022, 12, 26. https://doi.org/10.3390/ecsoc-26-13556
Martins CDF, Raposo MMM, Costa SPG. Synthesis and Evaluation of an Azo Dye for the Chromogenic Detection of Metal Cations. Chemistry Proceedings. 2022; 12(1):26. https://doi.org/10.3390/ecsoc-26-13556
Chicago/Turabian StyleMartins, Cátia D. F., Maria Manuela M. Raposo, and Susana P. G. Costa. 2022. "Synthesis and Evaluation of an Azo Dye for the Chromogenic Detection of Metal Cations" Chemistry Proceedings 12, no. 1: 26. https://doi.org/10.3390/ecsoc-26-13556
APA StyleMartins, C. D. F., Raposo, M. M. M., & Costa, S. P. G. (2022). Synthesis and Evaluation of an Azo Dye for the Chromogenic Detection of Metal Cations. Chemistry Proceedings, 12(1), 26. https://doi.org/10.3390/ecsoc-26-13556

