Urban Soil Enzyme Activity Restoration with Sandwich Compost †
Abstract
:1. Introduction
2. Materials and Methods
2.1. Site Study, Experimental Design and Treatment
2.2. Sandwich compost Soil-Restoration Treatment
2.3. Soil Analysis
2.4. Statistical Analysis
3. Results and Discussions
3.1. Soil pH
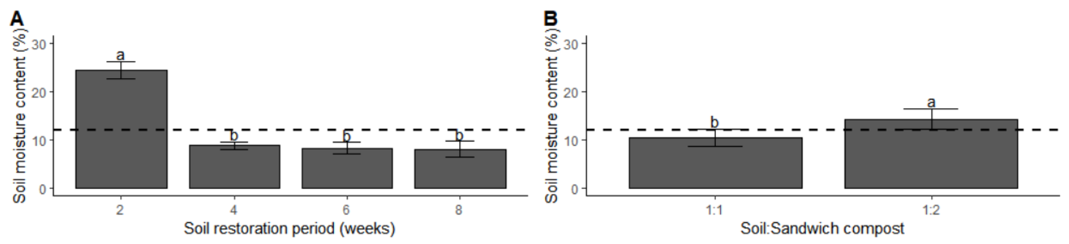
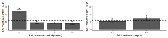
3.2. Soil Moisture Content
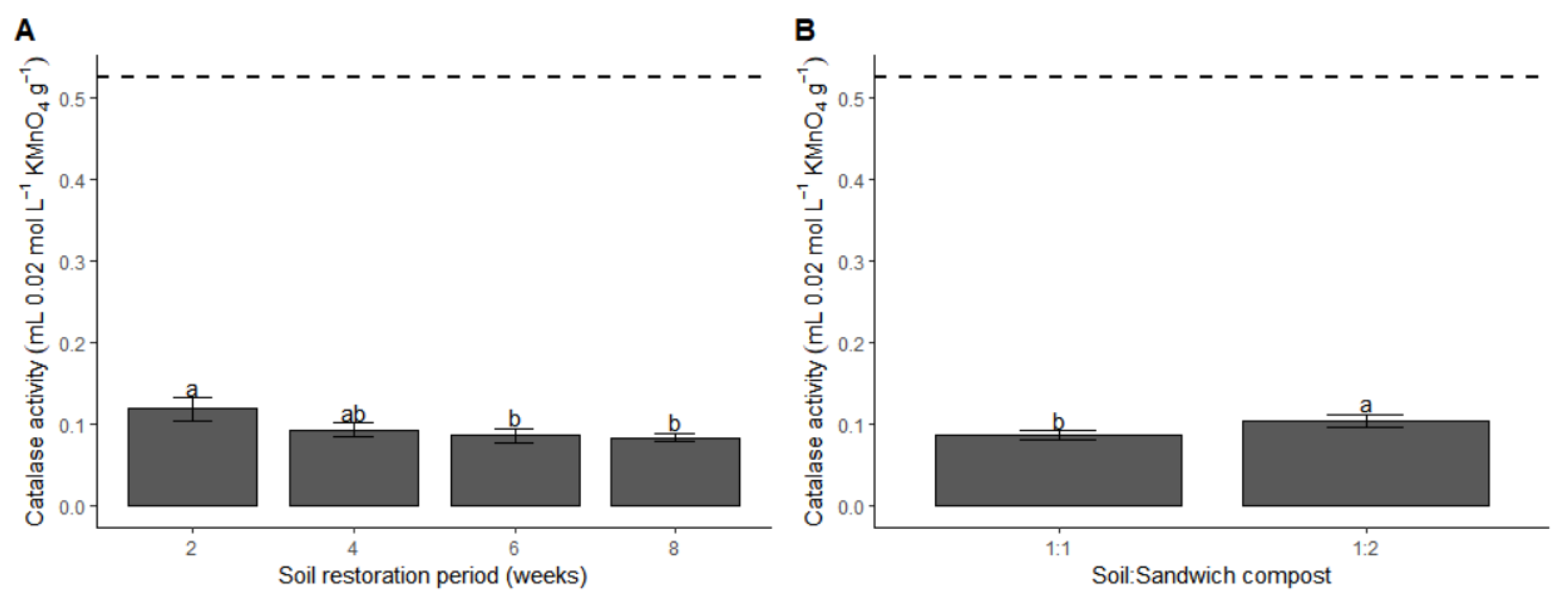
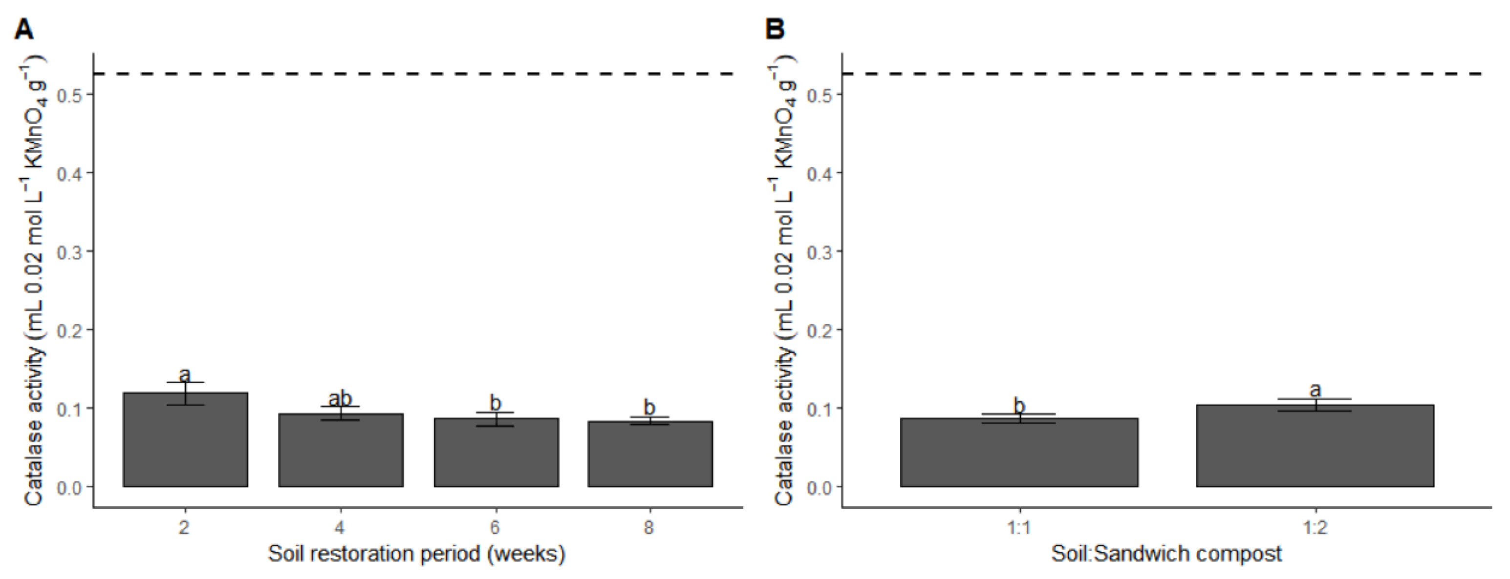
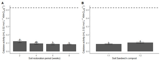
3.3. Soil Catalase Activity
3.4. Soil Urease Activity
4. Conclusions
Supplementary Materials
Author Contributions
Funding
Institutional Review Board Statement
Informed Consent Statement
Data Availability Statement
Acknowledgments
Conflicts of Interest
References
- Vázquez, E.; Benito, M.; Espejo, R.; Teutscherova, N. Response of soil properties and microbial indicators to land use change in an acid soil under Mediterranean conditions. Catena 2020, 189, 104486. [Google Scholar] [CrossRef]
- Guan, S. Soil Enzymes and Their Research Methods; Agricultural Press: Beijing, China, 1986; ISBN 16144·3123. [Google Scholar]
- Zhang, Y.L.; Chen, L.J.; Chen, X.H.; Tan, M.L.; Duan, Z.H.; Wu, Z.J.; Li, X.J.; Fan, X.H. Response of soil enzyme activity to long-term restoration of desertified land. Catena 2015, 133, 64–70. [Google Scholar] [CrossRef]
- Feng, C.; Ma, Y.; Jin, X.; Wang, Z.; Ma, Y.; Fu, S.; Chen, H.Y.H. Soil enzyme activities increase following restoration of degraded subtropical forests. Geoderma 2019, 351, 180–187. [Google Scholar] [CrossRef]
- Jim, C.Y. Urban soil characteristics and limitations for landscape planting in Hong Kong. Landsc. Urban Plan. 1998, 40, 235–249. [Google Scholar] [CrossRef]
- UNSD Sustainable Consumption and Production–United Nations Sustainable Development. Available online: https://www.un.org/sustainabledevelopment/sustainable-consumption-production/ (accessed on 27 August 2020).
- Jyothilakshmi, R.; Patil, S.; Hemanth Kumar, K.J.; Ghosh, S.K.; Jayakumar, S. A Study of the Processes, Parameters, and Optimisation of Anaerobic Digestion for Food Waste. In Biomethane through Resource Circularity; CRC Press: Boca Raton, FL, USA, 2021; pp. 161–175. ISBN 1000481794. [Google Scholar]
- KuenYih, H.; Yu, K. The application of effective microorganisms to improve seedling growing quality. J. Agric. Assoc. Taiwan 2010, 11, 339–355. [Google Scholar]
- Phooi, C.L.; Azman, E.A.; Ismail, R.; Shahruddin, S. Effect of Sandwich Compost Leachate on Allium Tuberosum Seed Germination. Pertanika J. Trop. Agric. Sci. 2022, 45, 481–490. [Google Scholar] [CrossRef]
- Teh, C.; Talib, J.B. Soil Physics Analyses; Universiti Putra Malaysia Press: Serdang, Malaysia, 2006; Volume I. [Google Scholar]
- Xu, Z.; Zhang, T.; Wang, S.; Wang, Z. Soil pH and C/N ratio determines spatial variations in soil microbial communities and enzymatic activities of the agricultural ecosystems in Northeast China: Jilin Province case. Appl. Soil. Ecol. 2020, 155, 103629. [Google Scholar] [CrossRef]
- Smårs, S. Influence of Different Temperature and Aeration Regulation Strategies on Respiration in Composting of Organic Household Waste. Ph.D. Thesis, Swedish University of Agricultural Sciences, Uppsala, Sweden, 2002. [Google Scholar]
- Msimbira, L.A.; Smith, D.L. The Roles of Plant Growth Promoting Microbes in Enhancing Plant Tolerance to Acidity and Alkalinity Stresses. Front. Sustain. Food Syst. 2020, 4, 106. [Google Scholar] [CrossRef]
- Van Slyke, D.D.; Archibald, R.M. Manometric, titrimetric, and colorimetric methods for measurement of urease activity. J. Biol. Chem. 1944, 154, 623–642. [Google Scholar] [CrossRef]
- Neina, D. The Role of Soil PH in Plant Nutrition and Soil Remediation. Appl. Environ. Soil Sci. 2019, 2019, 1–9. [Google Scholar] [CrossRef]
- Baldrian, P.; Merhautová, V.; Petránková, M.; Cajthaml, T.; Šnajdr, J. Distribution of microbial biomass and activity of extracellular enzymes in a hardwood forest soil reflect soil moisture content. Appl. Soil Ecol. 2010, 46, 177–182. [Google Scholar] [CrossRef]
- Li, X.; Sarah, P. Arylsulfatase activity of soil microbial biomass along a Mediterranean-arid transect. Soil Biol. Biochem. 2003, 35, 925–934. [Google Scholar] [CrossRef]
- Strickland, T.C.; Fitzgerald, J.W. Formation and mineralization of organic sulfur in forest soils. Biogeochemistry 1984, 1, 79–95. [Google Scholar] [CrossRef]
- Gömöryová, E.; Gregor, J.; Pichler, V.; Gömöry, D. Spatial patterns of soil microbial characteristics and soil moisture in a natural beech forest. Biologia 2006, 61, S329–S333. [Google Scholar] [CrossRef] [Green Version]
- Borowik, A.; Wyszkowska, J. Soil moisture as a factor affecting the microbiological and biochemical activity of soil. Plant Soil Environ. 2016, 62, 250–255. [Google Scholar] [CrossRef]
- Denmead, O.T.; Shaw, R.H. Availability of Soil Water to Plants as Affected by Soil Moisture Content and Meteorological Conditions. Agron. J. 1962, 54, 385–390. [Google Scholar] [CrossRef]
- García, C.; Hernández, T. Biological and biochemical indicators in derelict soils subject to erosion. Soil Biol. Biochem. 1997, 29, 171–177. [Google Scholar] [CrossRef]
- Brzezińska, M.; Wlodarczyk, T.; Stepniewski, W.; Przywara, G. Soil aeration status and catalase activity. Acta Agrophys. 2005, 5, 555–565. [Google Scholar]
- Xia, Q.; Zheng, N.; Heitman, J.L.; Shi, W. Soil pore size distribution shaped not only compositions but also networks of the soil microbial community. Appl. Soil Ecol. 2022, 170, 104273. [Google Scholar] [CrossRef]
- Strock, J.S. Ammonification. In Encyclopedia of Ecology; Elsevier: Amsterdam, The Netherlands, 2008; pp. 162–165. [Google Scholar]
- Fan, Z.; Lu, S.; Liu, S.; Li, Z.; Hong, J.; Zhou, J.; Peng, X. The effects of vegetation restoration strategies and seasons on soil enzyme activities in the Karst landscapes of Yunnan, southwest China. J. For. Res. 2020, 31, 1949–1957. [Google Scholar] [CrossRef]




Publisher’s Note: MDPI stays neutral with regard to jurisdictional claims in published maps and institutional affiliations. |
© 2022 by the authors. Licensee MDPI, Basel, Switzerland. This article is an open access article distributed under the terms and conditions of the Creative Commons Attribution (CC BY) license (https://creativecommons.org/licenses/by/4.0/).
Share and Cite
Phooi, C.L.; Azman, E.A.; Ismail, R. Urban Soil Enzyme Activity Restoration with Sandwich Compost. Chem. Proc. 2022, 10, 36. https://doi.org/10.3390/IOCAG2022-12198
Phooi CL, Azman EA, Ismail R. Urban Soil Enzyme Activity Restoration with Sandwich Compost. Chemistry Proceedings. 2022; 10(1):36. https://doi.org/10.3390/IOCAG2022-12198
Chicago/Turabian StylePhooi, Chooi Lin, Elisa Azura Azman, and Roslan Ismail. 2022. "Urban Soil Enzyme Activity Restoration with Sandwich Compost" Chemistry Proceedings 10, no. 1: 36. https://doi.org/10.3390/IOCAG2022-12198
APA StylePhooi, C. L., Azman, E. A., & Ismail, R. (2022). Urban Soil Enzyme Activity Restoration with Sandwich Compost. Chemistry Proceedings, 10(1), 36. https://doi.org/10.3390/IOCAG2022-12198

