Previous Article in Journal
Development of a Broad-Spectrum High Affinity Antibody for a Non-Targeted Early Warning and Verification Strategy of Organophosphorus Nerve Agents Exposure
 
 
Due to scheduled maintenance work on our servers, there may be short service disruptions on this website between 11:00 and 12:00 CEST on March 28th.
Font Type:
Arial Georgia Verdana
Font Size:
Aa Aa Aa
Line Spacing:
Column Width:
Background:
Article

Natural Deep Eutectic Solvents for Analytical Sample Preparation of Polyphenol-Rich Plant Extracts: Chemical Characterization and Bioanalytical Validation

1
Institute of Chemistry, Saint Petersburg State University, Universitetskaya Emb. 7/9, 199034 St Petersburg, Russia
2
Federal Research Center Kola Scientific Center of the Russian Academy of Sciences, Akademgorodok, 41, 184209 Apatity, Russia
3
Department of Physics, Biology and Engineering Technologies, Murmansk Arctic University, Lesnaya str., 29, 184209 Apatity, Russia
4
Yanka Kupala State University of Grodno, Bulvar Leninskogo Komsomola, 5, 230009 Grodno, Belarus
*
Author to whom correspondence should be addressed.
Analytica 2026, 7(2), 26; https://doi.org/10.3390/analytica7020026
Submission received: 28 January 2026 / Revised: 27 February 2026 / Accepted: 20 March 2026 / Published: 27 March 2026
(This article belongs to the Section Sample Pretreatment and Extraction)

Abstract

Natural deep eutectic solvents (NADES) offer sustainable alternatives to conventional solvents for plant extraction, yet their influence on extract composition and bioactivity preservation requires further study. Here, choline chloride-based NADES with lactic acid or propylene glycol were evaluated for ultrasound-assisted extraction (60 °C, 30 min, 1:20 w/v) of polyphenol-rich fractions from Sanguisorba officinalis and Symphytum officinale. Spectrophotometric analysis yielded total phenolic contents of 6.49–9.67 mg GAE g−1 and total flavonoids of 0.08–0.52 mg g−1, with values dependent on the plant matrix and the NADES formulation. Targeted HPLC-MS/MS enabled identification of representative phenolic acids (chlorogenic, caffeic, ferulic, rosmarinic) and flavonoid markers (rutin, quercetin derivatives), showing qualitative differences in the detected marker profiles between solvents and matrices. Functional assays demonstrated pronounced antioxidant-related effects, including DPPH radical scavenging at 0.5–25 µg mL−1 (polyphenols), inhibition of lipid peroxidation in rat erythrocytes at 0.25–1.20 µg mL−1, and modulation of mitochondrial respiration and permeability transition in isolated rat liver mitochondria. Overall, the results indicate that choline chloride-based NADES can be used to obtain polyphenol-rich plant extracts compatible with the applied analytical workflow while preserving redox-active fractions, supporting their utility in green analytical sample preparation.

Graphical Abstract

1. Introduction

The development of reliable and sustainable analytical strategies for the preparation and characterization of complex natural matrices such as plant materials remains a central challenge in modern analytical chemistry [1]. Medicinal plants are chemically rich systems comprising structurally diverse secondary metabolites whose physicochemical and redox properties (including polarity and apparent molecular size) are dictated by their underlying chemical scaffolds and functional group composition (e.g., acyclic vs. cyclic frameworks, heteroatom content, and substitution patterns), making them valuable objects for evaluating extraction selectivity, analytical compatibility, and method robustness [1,2]. Plant secondary metabolites such as saponins, phenolic acids, phytosterols, terpenoids, tannins, flavonoids, and alkaloids are not synthesized in animal tissues and originate from adaptive defense mechanisms against ultraviolet radiation, reactive oxygen species (ROS), pathogens, and herbivores [2]. Their chemical diversity and functional activity pose significant analytical challenges related to efficient isolation, stabilization, and reproducible determination in complex matrices.
Polyphenolic compounds are among the most extensively studied classes of plant metabolites and are frequently used as representative analytical targets in studies focused on sample preparation, separation, and detection strategies [3,4]. Beyond their biological relevance, polyphenols are particularly suitable probe analytes for analytical method development because their structural diversity spans wide ranges of polarity, acidity, and conjugation, which directly affect extraction behavior, ionization efficiency, and chromatographic retention and selectivity (including the need to resolve closely related isomers). In addition, many polyphenols are susceptible to oxidation and other transformations during extraction and storage, making them useful for evaluating sample-handling robustness and the need for stability-oriented conditions (e.g., pH control, limited thermal exposure, and minimization of air/light contact). Finally, polyphenols often exhibit strong specific interactions (hydrogen bonding, π–π interactions, and complexation) with extraction media and chromatographic stationary phases, which can cause adsorption losses, matrix effects, or retention shifts; therefore, they provide a sensitive chemical test set for assessing compatibility of extraction solvents with downstream chromatographic analysis. In this context, flavonoids and related phenolic compounds are often employed to assess extraction efficiency, selectivity, and preservation of functional properties during analytical workflows [3,4].
Phytochemicals are also widely investigated in medicine owing to their broad spectrum of reported biological effects and low toxicity [5,6,7]. Their proposed mechanisms include modulation of oxidative processes, interaction with cellular membranes, and regulation of intracellular signaling pathways such as Nrf2, ERK1/2, and cAMP-response element-binding protein (CREB) [8]. From an analytical perspective, these properties highlight the importance of maintaining chemical integrity and redox activity of polyphenols during sample preparation, as alterations induced by extraction conditions can directly affect both qualitative and quantitative analytical outcomes.
Functional bioanalytical models based on redox-sensitive biological systems are increasingly employed as complementary tools for evaluating the integrity of complex plant extracts [9]. Mitochondria represent a particularly sensitive system that responds to changes in redox balance, calcium homeostasis, and membrane properties, making them useful functional readouts for assessing the impact of extraction strategies on biologically relevant properties of phytochemical mixtures [9]. Experimental studies demonstrate that individual plant metabolites and plant-derived fractions can modulate mitochondrial respiration, membrane permeability, and oxidative stress-related parameters. For example, epigallocatechin gallate isolated from Geranium rectum roots using ethanol and chloroform-ethyl acetate suppressed UVB-induced oxidative damage in erythrocytes by reducing ROS formation, lipid peroxidation, and glutathione oxidation while scavenging DPPH radicals [10]. Hydrolysable tannins isolated from Rhus typhina leaves altered membrane microviscosity and phase behavior and effectively neutralized DPPH radicals [11]. The terpenoid ferutinin isolated from Ferula tenuisecta inhibited mitochondrial respiration, reduced the acceptor control ratio, dissipated membrane potential, and increased calcium permeability in isolated rat mitochondria at concentrations of 5–60 μM [12]. Anthocyanin rich extracts of red cabbage prepared using diluted hydrochloric acid were also shown to modulate mitochondrial respiration and calcium-induced permeability transition in experimental models [13].
Despite the pronounced functional activity of plant secondary metabolites, their low abundance in plant biomass, often below 1% of dry weight, presents a major analytical limitation for efficient and reproducible extraction. Conventional organic solvent-based extraction approaches suffer from toxicity, volatility, and limited sustainability, which restricts their applicability in modern green analytical chemistry and necessitates the development of alternative sample preparation media [14].
Natural deep eutectic solvents (NADES) have recently emerged as promising candidates for analytical sample preparation of plant-derived metabolites. These systems are typically composed of naturally occurring components such as sugars, amino acids, and choline derivatives and form liquids with melting points significantly lower than those of their individual constituents due to extensive hydrogen bonding interactions [15,16]. The tunable polarity, negligible vapor pressure, and compatibility with aqueous and chromatographic systems enable NADES to efficiently solubilize phenolics, flavonoids, and alkaloids and make them attractive for sustainable analytical workflows. Molecular modeling studies further suggest that intermolecular interaction energies within NADES systems govern extraction selectivity toward specific classes of bioactive compounds, providing opportunities for rational solvent design in analytical chemistry [17].
In addition to their extraction efficiency, NADES may influence the stability, solubility, and functional behavior of extracted phytochemicals, which is of direct relevance for analytical characterization. Previous studies on Rhodiola rosea demonstrated that NADES-based extracts exhibit enhanced antioxidant and antimicrobial activity compared to ethanol or aqueous extracts [18]. Certain NADES components may also possess intrinsic bioactivity that contributes to the overall functional response of the extract [19]. From an analytical chemistry standpoint, NADES align well with green and white analytical chemistry principles by reducing hazardous solvent consumption and improving operational safety and sustainability [20]. The advantages of NADES-based extraction approaches have been quantitatively confirmed using analytical greenness assessment tools such as the Analytical Eco Scale, Green Analytical Procedure Index, and AGREEprep [21].
Nevertheless, the analytical performance of NADES in terms of extraction selectivity, compatibility with chromatographic techniques, and preservation of chemically and functionally relevant properties of polyphenol-rich extracts remains insufficiently explored. In particular, systematic studies linking NADES-based sample preparation, detailed chemical characterization, and functional bioanalytical validation are still limited. The present study therefore aims to develop and evaluate a NADES-based analytical strategy for the preparation and characterization of polyphenol-rich plant extracts using chromatographic and spectrophotometric techniques, complemented by functional bioanalytical assays as validation tools for assessing redox activity and mitochondrial responsiveness.

2. Materials and Methods

2.1. Materials and Reagents

All chemicals were of analytical or HPLC grade. For the preparation of natural deep eutectic solvents, choline chloride, lactic acid, and propylene glycol were used together with high-purity water (Milli-Q, resistivity 18.2 MΩ·cm). Methanol and acetonitrile (HPLC-MS/MS grade), formic acid (≥99%), and reference standards of rutin, naringenin, baicalin, ferulic acid, chlorogenic acid, caffeic acid, rosmarinic acid, and quercetin were purchased from Macklin (Shanghai, China).
For spectrophotometric assays, Folin–Ciocalteu reagent, gallic acid, and sodium carbonate were obtained from Lenreactiv (Saint Petersburg, Russia). BSTFA (N,O-bis(trimethylsilyl)trifluoroacetamide) with 1% TMCS (trimethylchlorosilane) for derivatization procedures was purchased from Supelco (Bellefonte, PA, USA).
Calcium chloride dihydrate, disodium succinate hexahydrate, EGTA (ethylene glycol-bis(β-aminoethyl ether)-N,N,N′,N′-tetraacetic acid tetrasodium salt), 1,1-diphenyl-2-picrylhydrazyl radical (DPPH), ADP, cyclosporin A (CsA), tert-butyl hydroperoxide (tBHP), trichloroacetic acid (TCA), Ellman reagent (5,5′-dithiobis(2-nitrobenzoic acid)), thiobarbituric acid (TBA), sodium sulfite, potassium chloride (KCl), magnesium sulfate (MgSO4), potassium dihydrogen phosphate (KH2PO4), sodium dihydrogen phosphate (NaH2PO4), disodium hydrogen phosphate (Na2HPO4), and ruthenium red (RuR) were purchased from Sigma-Aldrich (St. Louis, MO, USA) or Merck (Darmstadt, Germany).
All solutions were prepared using a Milli-Q Direct water purification system (Merck KGaA, Darmstadt, Germany).

2.2. Apparatus

Gas chromatography–mass spectrometry (GC-MS) was performed on a Shimadzu GC-MS QP-2010 SE system (Shimadzu, Kyoto, Japan). Liquid chromatography–tandem mass spectrometry (HPLC-MS/MS) was carried out using a Shimadzu LC-MS-8030 system (Shimadzu, Kyoto, Japan) equipped with an autosampler, with chromatographic separation achieved on a Luna C18 column (150 × 2.0 mm, 5 µm; Phenomenex, Torrance, CA, USA).
Spectrophotometric measurements were conducted with a Shimadzu UV-1240 UV/Vis spectrophotometer (Shimadzu, Kyoto, Japan). Ultrasound-assisted extraction was performed in an ultrasonic bath VBS-3D (Vilitek, Moscow, Russia). NADES preparation was carried out using a C-MAG HS 7 magnetic stirrer with heating (IKA, Staufen, Germany).
Mitochondrial respiration was measured with a Clark-type oxygen electrode system (Hansatech Instruments Ltd., Norfolk, UK). Centrifugation steps for the isolation of mitochondria and erythrocytes were performed using an Eppendorf 5804 R refrigerated centrifuge (Eppendorf, Hamburg, Germany). Temperature-controlled incubations were conducted in a thermostatic water bath (Memmert, Schwabach, Germany).

2.3. NADES Preparation

Two NADES systems were prepared by mixing choline chloride (ChCl) with either lactic acid (La) or propylene glycol (Pg) as hydrogen-bond donors. The mixtures were prepared in fixed molar ratios: ChCl/La (1:1) and ChCl/Pg (1:3). For both systems, the final water content was adjusted to 30% (w/w) by adding ultrapure water (Milli-Q). In the case of ChCl/La, the commercial lactic acid was an aqueous solution containing 80% (w/w) lactic acid (20% (w/w) water), and this intrinsic water fraction was accounted for when calculating the amount of additional water required to obtain a final water content of 30% (w/w) in the NADES. Precisely weighed components were mixed in glass vials and heated to 60 °C with constant magnetic stirring (C-MAG HS 7, IKA, Germany) until formation of clear, homogeneous liquids. The prepared NADES were stored in airtight glass vials at room temperature (25 ± 2 °C) until use.

2.4. Plant Material

The aerial parts (leaves and stems) of Symphytum officinale L. and Sanguisorba officinalis L. were selected for this study based on their documented polyphenolic content and traditional medicinal uses. The plant material was obtained from the Botanical Garden of St. Petersburg State University (St. Petersburg, Russia), where taxonomic identification was verified by staff botanists. Voucher specimens (SO-2024-001 for Sanguisorba officinalis and SY-2024-001 for Symphytum officinale) were deposited in the institution’s herbarium for future reference.
Following ethical collection protocols, the plant material was thoroughly washed with distilled water to remove surface contaminants and dried in a forced-air oven (Memmert, Schwabach, Germany) at 50 ± 2 °C until constant weight was achieved (typically 48–72 h). The dried material was then homogenized using an IKA A11 analytical mill (IKA-Werke, Staufen, Germany) and sieved through a 0.5 mm stainless steel mesh (Retsch, Haan, Germany). The resulting powder was stored in amber glass containers with PTFE-lined caps at 25 ± 2 °C and 40% relative humidity until extraction to prevent photodegradation and moisture absorption.

2.5. Extraction of Bioactive Compounds

For NADES extraction, 0.10 g of powdered plant material was mixed with 2.0 mL of the prepared NADES (solid-to-solvent ratio 1:20, w/v). The mixtures were placed in an ultrasonic bath (VBS-3D, Vilitek, Moscow, Russia) and extracted at 60 °C for 30 min. After extraction, the samples were centrifuged at 5000 rpm for 10 min, and the supernatants were carefully collected. Before HPLC-MS/MS analysis, the NADES extracts were diluted fivefold with distilled water to reduce viscosity and ensure compatibility with the chromatographic system. NADES extracts were not evaporated. After centrifugation, the supernatants were used directly for subsequent assays. For methods requiring reduced matrix effects and improved analytical compatibility, the NADES extracts were diluted with water. A NADES matrix blank was prepared for each solvent system by processing the corresponding NADES in the same way but without plant material (centrifugation and the same dilution steps), and these blanks were used where appropriate in analytical and bioanalytical measurements.
For complementary GC-MS profiling, ethanolic extracts were prepared because direct GC-MS analysis of NADES extracts is not feasible due to the nonvolatile and highly viscous eutectic matrix. Specifically, 0.10 g of powdered plant material was mixed with 2.0 mL of 96% ethanol (solid-to-solvent ratio 1:20, w/v) and extracted under identical ultrasonic bath conditions (60 °C, 30 min). The ethanolic extracts were then either (i) analyzed by GC-MS by direct injection or (ii) evaporated to dryness under reduced pressure and derivatized using BSTFA + 1% TMCS prior to GC-MS analysis. The obtained GC-MS data were used for qualitative, complementary characterization and were not intended for quantitative comparison with NADES extracts.

2.6. Determination of Total Flavonoid Content

Conventional spectrophotometric assays for total flavonoids based on Al(III) complexation are susceptible to pronounced matrix- and solvent-dependent interferences and are not directly applicable to NADES-containing extracts, particularly for acidic systems such as ChCl/lactic acid. In such media, acidic eutectic components can compete for Al3+ and suppress the formation of the characteristic flavonoid-Al(III) chromophore. Therefore, total flavonoids were determined using a modified, DES-compatible, metal-free spectrophotometric protocol adapted from [22]. The method relies on pH-induced chromophore formation: in alkaline solution (approximately pH 10), flavonols (represented by rutin as a calibration standard) undergo deprotonation of phenolic hydroxyl groups, which increases π-electron delocalization and produces a bathochromic shift into the visible region, yielding a stable, yellow-colored species with measurable absorbance. This pH adjustment step minimizes the influence of acidic NADES components and eliminates the need for Al(III) complexation.
For preparation of calibration solutions, a stock solution of rutin (6 mg in 50 mL ethanol) was prepared. Aliquots of this standard solution (50–500 µL) were transferred into 5 mL Eppendorf tubes. To each tube, 2500 µL of freshly prepared 10% (w/v) sodium carbonate solution was added to establish alkaline conditions, and the final volume was adjusted to 3.0 mL with distilled water. For extract analysis, 100 µL of the NADES plant extract was transferred into an Eppendorf tube, followed by addition of 2500 µL of the same sodium carbonate solution to adjust the medium to alkaline pH, and dilution to 3.0 mL with distilled water. The mixture was manually mixed, and the absorbance was measured immediately at 410 nm against a distilled water blank using a Shimadzu UV-1240 UV/Vis spectrophotometer (Shimadzu, Kyoto, Japan). All measurements were performed in triplicate. A calibration curve was constructed by plotting absorbance versus rutin concentration in the standard solutions and was used to express results as rutin equivalents. A corresponding NADES matrix blank was processed in parallel (same Na2CO3 addition and dilution) to account for any residual background after alkalization.

2.7. Determination of Total Phenolic Content

The total phenolic content of the plant extracts was determined using the Folin–Ciocalteu method, optimized for analysis of NADES-based extracts. For calibration, standard solutions of gallic acid (100 mg L−1 in ethanol) were prepared. To construct the calibration curve, aliquots of 100, 80, 60, 50, 20, and 10 μL of the gallic acid solution were mixed with 0, 20, 40, 50, 80, and 90 μL of distilled water, respectively, to ensure a constant final volume. Each calibration mixture was combined in a polymer tube with 0.5 mL of 10% sodium carbonate solution, 2 mL of distilled water, and 0.2 mL of 2 M Folin–Ciocalteu reagent. The solutions were manually mixed and incubated at room temperature for 30 min. Absorbance was measured at 770 nm against a blank using a Shimadzu UV-1240 spectrophotometer (Shimadzu, Kyoto, Japan). For the analysis of plant extracts, 100 μL of extract was mixed in a polymer tube with 0.5 mL of 10% sodium carbonate solution, 2 mL of distilled water, and 0.2 mL of 2 M Folin–Ciocalteu reagent. After 30 min of incubation at room temperature, absorbance was measured at 770 nm relative to the blank. If the absorbance exceeded 1.0, the extracts were diluted with 70% ethanol before analysis. Results were expressed as milligrams of gallic acid equivalents per gram of dry plant material (mg GAE/g).

2.8. Determination of Antioxidant Activity

The radical scavenging activity of plant extracts against the stable 2,2-diphenyl-1-picrylhydrazyl (DPPH) radical was assessed by recording the dependence of DPPH reduction on polyphenol concentration. Briefly, the plant extracts in NADES were diluted to appropriate polyphenol concentrations by ethanol and 10 μL of extract solutions were added to 490 μL of a DPPH (1000 μM in ethanol) for the antioxidant activity evaluations. The mixtures were incubated for 1 h at 25 °C and subsequently analyzed using an EPR spectrometer Spinscan X (Adani, Minsk, Belarus). Data were acquired and processed using e-Spinoza software V.1.0.34.9. The volumes of NADES used did not influence the EPR signal of DPPH. For comparison, 10 μL of various flavonoid quercetin concentrations in ethanol were prepared and added to 490 μL of a DPPH solution (1000 μM in ethanol).
The scavenging effect was quantified by measuring the intensity of the central band of the EPR signal (arbitrary units) in the absence and presence of plant extracts. Instrument settings were as follows: modulation frequency—100 kHz, center field—338.00 mT, modulation amplitude—100.00 μT, microwave power—10.000 mW. The DPPH radical concentration was calculated from a calibration curve prepared under identical experimental conditions. Controls included a reagent blank (DPPH solution without extract) and a corresponding NADES matrix blank treated identically to account for any background signal of the eutectic medium after dilution.

2.9. HPLC-MS/MS Analysis

Qualitative targeted analysis of polyphenolic constituents was performed using a Shimadzu LCMS-8030 triple-quadrupole mass spectrometer (Shimadzu, Kyoto, Japan) equipped with dual LC-30AD binary pumps and a CTO-20A column oven. Chromatographic separation was carried out on a Luna C18 analytical column (150 × 2.0 mm, 5 μm; Phenomenex, Torrance, CA, USA) maintained at 40 °C. The mobile phase consisted of 0.1% formic acid in water (A) and 0.1% formic acid in acetonitrile (B). Elution was performed in gradient mode at a constant flow rate of 0.30 mL min−1 using the following program: 5% B at 1.0 min, linear increase to 25% B at 17.0 min, to 55% B at 32.0 min, and to 90% B at 33.0 min. The system was held at 90% B until 60.0 min, then returned to 5% B at 65.0 min for re-equilibration. The total runtime was 73.0 min. The injection volume was 5 μL.
Mass spectrometric detection was performed with electrospray ionization (ESI) operated in both positive and negative ion modes. The interface temperature was 400 °C and the drying-gas temperature was 220 °C. Nitrogen was used as the nebulizing gas (3 L min−1) and drying gas (15 L min−1). Data were acquired in multiple reaction monitoring (MRM) mode using compound-specific precursor-to-product ion transitions with optimized collision energies. The optimized MRM transitions, collision energies, dwell times, and bias voltages are provided in Supplementary Table S1.
Authentic reference standards were available for all investigated analytes and were analyzed under identical chromatographic conditions to establish the expected retention times and to confirm the corresponding MRM transitions. Thus, compound identification in the extracts was based on the simultaneous agreement of retention time and MRM transition(s) with those of the respective standards. All samples and mobile phases were filtered through 0.45 μm PTFE membranes prior to analysis. Data acquisition and data processing were performed using Shimadzu LabSolutions software (Ver. 5.128, Shimadzu, Japan). No calibration solutions were prepared, and the HPLC-MS/MS data were used exclusively for qualitative identification. Accordingly, quantitative validation parameters (calibration curves, linearity, LOD/LOQ, accuracy, and precision) were not established, as quantitative determination was beyond the scope of this work.

2.10. GC-MS Analysis

Gas chromatography–mass spectrometry (GC–MS) analysis was performed using a Shimadzu GCMS-QP2010 SE system (Shimadzu, Kyoto, Japan) equipped with an electron impact (EI) ion source operating in total ion current (TIC) acquisition mode. Because NADES matrices are nonvolatile and highly viscous, GC-MS was applied to ethanolic extracts prepared solely for complementary untargeted profiling. Two analytical protocols were used: direct injection of ethanolic extracts and analysis following derivatization.
For direct analysis, 1 μL of the ethanol extract was injected into the GC–MS system without pretreatment. For derivatization, filtered extracts were evaporated to dryness at 50 °C. The dry residue was dissolved in 2 mL of reagent-grade pyridine containing 50 μL of O-methoxylamine hydrochloride solution in pyridine (15 mg/mL; Tokyo Chemical Industry, Tokyo, Japan), followed by incubation in darkness at 40 °C for 120 min. Then, 250 μL of BSTFA containing 1% TMCS (N,O-Bis(trimethylsilyl)trifluoroacetamide with 1% trimethylchlorosilane; Hevel Technology, Moscow, Russia) was added. The mixture was vortexed for 10 min and heated at 70 °C for 30 min. After cooling to room temperature, 1 μL of the derivatized sample was injected into the GC–MS system.
For silylated samples, chromatographic separation was carried out using an Optima-1 capillary column (25 m × 0.32 mm i.d., 0.35 µm film thickness; Macherey-Nagel, Düren, Germany). The oven temperature program was: 70 °C (2 min), ramped to 320 °C over 56 min, then held at 320 °C for 52 min (total runtime: 110 min). The injector temperature was 300 °C. Helium was used as the carrier gas at a pressure of 43.4 kPa, with a total flow rate of 8.1 mL·min−1 and a column flow of 2.55 mL·min−1. The injection was performed in split mode (1:1). The ion source temperature was set to 250 °C, the detector voltage to 1.17 kV, and the scan range was m/z 35–1000.
For non-derivatized samples, an Optima-5MS capillary column (30 m × 0.32 mm i.d., 0.25 µm film thickness; Macherey-Nagel, Germany) was used. The oven program was: 60 °C (3 min), ramped to 280 °C over 22 min, then held at 280 °C for 25 min (total runtime: 50 min). The injector temperature was 250 °C. Helium was used as the carrier gas at a pressure of 56.1 kPa, with a total flow of 32.1 mL·min−1 and a column flow of 2.64 mL·min−1. The split ratio was 1:1. The ion source temperature was 250 °C, the detector voltage was 1.37 kV, and the scan range was m/z 40–500. Data were acquired and processed using GCMSsolution software (GCMSsolution Version 2.70, Shimadzu, Japan). Compound identification was performed by matching EI mass spectra against the Mass Spectral Library (NIST) and by evaluating characteristic fragment ions together with retention behavior. Only assignments with consistent spectral matches and diagnostic ions were accepted, and the key ions (m/z) are reported in the GC-MS chemical profile table.

2.11. Animals

For the study, we used clinically healthy outbred male albino Wistar rats weighing 120–140 g, provided by the vivarium of the Institute of Physiology, National Academy of Sciences of Belarus. The health status of the animals was verified with Sanitary-Hygienic Certificate No. 33-48/500 dated 28 September 2017 (Center for Hygiene and Epidemiology, Pervomaisky District, Minsk). All animals were kept under standard laboratory conditions with ad libitum access to food and water. Prior to experiments, the animals were acclimated for one week. The care, use, and procedures performed in this experiment were approved by the Ethic Committee of the Institute of Biochemistry of Biologically Active Compounds, National Academy of Sciences of Belarus, Grodno (Protocol No 29/23 of 25 May 2023) and complied with the European Convention for the Protection of Vertebrate Animals Used for Experimental and Other Scientific Purposes and the NIH guide for the care and use of laboratory animals (NIH publication No. 80-23; revised 1978).

2.12. Blood Collection and Preparation of Erythrocytes

After rat decapitation under anesthesia, arterial blood was collected by puncturing the abdominal aorta. To prevent coagulation, samples were immediately stabilized with hirudin at a final concentration of 50 μg/mL. The collected blood was centrifuged at 600× g for 10 min at 4 °C to separate erythrocytes, which were then washed three times by resuspension and centrifugation (1000× g, 5 min at 4 °C) in cold isotonic phosphate-buffered saline (PBS; 145 mM NaCl, 1.9 mM NaH2PO4, 8.1 mM Na2HPO4, pH 7.4) at a ratio of 1:5. The final erythrocyte suspensions were prepared at 5% hematocrit for further analysis. The erythrocytes were used immediately after isolation.

2.13. Liver Tissue Collection and Isolation of Mitochondria

Rat liver tissues were excised immediately post-mortem, carefully washed to remove blood, and placed into ice-cold isolation buffer (0.02 M Tris-HCl, 0.25 M sucrose, 1 mM EGTA, pH 7.2). The tissues were blotted dry on filter paper, weighed (6 g), and minced into small fragments. The fragments were homogenized in fivefold buffer volume using a Teflon-glass homogenizer at 600 rpm for 1 min. The homogenate was centrifuged at 650× g for 10 min at 4 °C to remove cell debris and nuclei using a Hermle Z 32 HK centrifuge (Hermle Labortechnik GmbH, Wehingen, Germany, version Z32HK_V2.15). The supernatant was further centrifuged at 8500× g for 10 min at 4 °C to pellet mitochondria [23]. The mitochondrial pellet was washed twice with cold isolation medium and resuspended to achieve a protein concentration of 35–40 mg/mL, determined using the Lowry method [24].

2.14. Preincubation of Erythrocytes and Mitochondria with Plant Extracts

For testing, both erythrocyte suspensions (5% hematocrit in PBS) and mitochondrial preparations (0.5 mg protein/mL in sucrose—Tris-HCl—KH2PO4 media) were preincubated with the prepared plant extracts at the desired concentrations for 10 min at 25 °C. Plant extracts were added as solutions in appropriate NADES. In the case of ChCl/La system, the pH of the solutions was recovered to 7.4 by 7.0 M NaOH. The volume of NADES added does not exceed 0.5%. Control experiments confirmed that the plant extract solvent systems used (NADES) did not induce significant background effects on the parameters measured. NADES without polyphenols were used as blank solutions for all the used methods. For all bioassays, vehicle controls containing the corresponding blank NADES solutions at the same dilution level as the tested extracts were included to account for potential matrix effects of the eutectic media.

2.15. Induction of Oxidative Stress in Erythrocytes

To model oxidative stress, erythrocyte suspensions (5% hematocrit in PBS) were incubated with the water-soluble lipid hydroperoxide analog t-butyl hydroperoxide (tBHP) at 1 mM for 1 h to assess lipid peroxidation (LPO) and at 100 µM for 10 min to assess reduced glutathione (GSH) oxidation. The incubation was conducted at 27 °C.

2.16. Determination of Reduced Glutathione (GSH) in Erythrocytes

After exposure to tBHP in the absence or presence of plant extracts, erythrocyte samples were treated with 25% trichloroacetic acid (TCA) to precipitate proteins and centrifuged at 3000× g for 10 min at 4 °C. A 0.5 mL aliquot of the resulting supernatant was mixed with 1.0 mL of 0.5 M phosphate buffer (pH 7.8) and 0.05 mL of 5 mM Ellman reagent (5,5′-dithiobis(2-nitrobenzoic acid)). The absorbance of the resulting yellow-colored product was measured at 412 nm to determine GSH concentration and following the method of Ellman [25] using a Jasco V-650 Spectrophotometer (JASCO INTERNATIONAL CO., LTD., Tokyo, Japan). Data were acquired and processed using JASCO Spectra Manager II software package V.2.08.04. The molar extinction coefficient 14,150 M−1 cm−1 was used for calculations.

2.17. Determination of Lipid Peroxidation Products in Erythrocytes

The concentration of thiobarbituric acid reactive substances (TBARS), primarily malondialdehyde (MDA), was determined spectrophotometrically after erythrocyte suspension oxidation. After TCA precipitation and centrifugation (3000× g, 10 min), 700 μL of the supernatant was mixed with 0.5 mL of 1% thiobarbituric acid (TBA) prepared in 0.05 M NaOH. The mixture was incubated in a boiling water bath for 20 min, cooled, and absorbance was measured at 532 nm using a Jasco V-650 spectrophotometer (Tokyo, Japan). The extinction coefficient ε = 1.56 × 105 M−1·cm−1 was used to calculate TBARS concentrations [26].

2.18. Measurement of Mitochondrial Respiratory Activity

Rat mitochondrial oxygen consumption was measured polarographically at 26 °C using a Clark-type oxygen electrode in a sealed, thermostated 2 mL chamber Hansatech Oxytherm+Chamber (Hansatech Instruments Ltd., Norfolk, UK). Data were acquired and processed using Oxytherm+ software package V.1.0.48. Electrode calibration was performed with sodium sulfite. The respiration medium contained 0.05 M sucrose, 0.01 M Tris-HCl, 0.125 M KCl, 2.5 mM KH2PO4, 5 mM MgSO4, 0.5 mM EGTA, pH 7.2, with a mitochondrial protein concentration of 0.5 mg/mL. Succinate (5 mM) and ADP (200 μM) were added as substrates, and oxygen uptake was monitored in real time. To study FADH2-dependent respiration, the oxygen consumption rates were determined in the presence of 5 mM succinate as a substrate (respiratory state 2, V2), after ADP (200 µM) addition (ADP-stimulated state 3, V3) and after ADP consumption (state 4, V4). The respiratory control ratio (RCR) equal to the ratio of the respiratory rates (V3/V4) of mitochondria in state 3 and state 4 and the coefficient of phosphorylation (ADP/O ratio) were calculated.

2.19. Assessment of Calcium-Induced Mitochondrial Swelling

Calcium-induced or spontaneous (in the absence of exogenous Ca2+) respiring rat mitochondria swelling was monitored by recording the decrease in the absorbance of mitochondrial suspension at 520 nm, as we described earlier [27]. Measurements of the rate of the mitochondrial permeability transition (MPT) pore formation were conducted at 25 °C in EGTA-free medium containing 0.25 M sucrose, 0.02 M Tris-HCl, 0.001 M KH2PO4, 0.005 M succinate, pH 7.4, with a mitochondrial protein concentration of 0.5 mg/mL and a Ca2+ concentration of 70 μM (or without Ca2+). To evaluate the effect of cyclosporine A (CsA), an inhibitor of MPT pore formation, or RuR, an inhibitor of mitochondrial calcium uniporter (MCU), the mitochondria were pretreated with 1 µM RuR or 10 µM CsA for 5 min.

2.20. Statistical Analysis

Statistical analysis of the experimental data was performed using standard one-way analysis of variance (ANOVA) to assess the significance of differences between experimental groups. All measurements were conducted in 5–6 repetitions, and results were expressed as mean ± standard deviation (SD). Statistical significance was set at p < 0.05. The data of the experiments were processed statistically by the packages of applied programs Microsoft Excel 2013 and Statistica 10.0.

3. Results and Discussion

3.1. Analytical Rationale and Preparation of Plant Extracts

The selected plant matrices, Sanguisorba officinalis and Symphytum officinale, are chemically rich and compositionally distinct sources of polyphenols (flavonoids, tannins, and phenolic acids), making them suitable models for evaluating extraction selectivity and the chemical representativeness of NADES-based sample preparation. Two choline chloride-based NADES with complementary hydrogen-bond donors (lactic acid vs. propylene glycol) were chosen to probe how donor identity and solvent properties influence the qualitative polyphenolic marker profiles and analytical compatibility. Water was incorporated into both systems (30% w/w) to reduce viscosity and facilitate mass transfer. The obtained extracts were subsequently subjected to spectrophotometric and chromatographic characterization, while functional bioanalytical assays were used as complementary validation to verify preservation of redox-active fractions

3.2. Spectrophotometric Screening of Polyphenolic Fractions

Spectrophotometric screening was applied as an initial analytical tool to evaluate the efficiency and selectivity of NADES-based extraction with respect to total flavonoid and total phenolic contents in Sanguisorba officinalis and Symphytum officinale extracts. The measurements provided a rapid quantitative comparison of extract composition obtained using two choline chloride-based NADES systems and served as a preliminary assessment prior to chromatographic characterization (Table 1).
The total flavonoid content in rutin equivalents revealed pronounced differences between the two plant matrices. Extracts of Sanguisorba officinalis contained substantially higher flavonoid levels, amounting to 0.52 mg per g dry weight in ChCl lactic acid and 0.5 mg per g dry weight in ChCl propylene glycol. In contrast, Symphytum officinale extracts exhibited markedly lower values of 0.11 mg per g dry weight and 0.08 mg per g dry weight for the respective NADES systems. From an analytical standpoint, these results indicate a lower abundance of rutin-type flavonoids in Symphytum officinale and highlight matrix-dependent differences in extractable flavonoid fractions under identical extraction conditions.
The total phenolic content, determined using the Folin–Ciocalteu assay and expressed as gallic acid equivalents, showed a narrower variation across both plant species and solvent systems. The measured values ranged from 6.49 to 9.67 mg per g dry weight, with Sanguisorba officinalis extracts consistently exhibiting slightly higher phenolic levels than Symphytum officinale, particularly when extracted using the lactic acid-based NADES. The lack of direct correlation between total flavonoid and total phenolic contents suggests that non-flavonoid phenolics, including gallic, caffeic, and ellagic acid derivatives, contribute significantly to the overall phenolic pool.
Comparison of the two NADES formulations demonstrated that the ChCl lactic acid system provided more consistent recovery of both flavonoids and total phenolics, especially for Sanguisorba officinalis. This behavior can be attributed to stronger hydrogen-bonding interactions and improved polarity matching between the acidic NADES and hydroxyl-rich phenolic compounds. However, the absolute differences between the two solvent systems remained moderate, indicating that the intrinsic phytochemical composition of the plant matrix plays a more dominant role than the choice of hydrogen-bond donor under the applied analytical conditions.

3.3. HPLC-MS/MS Characterization of Polyphenolic Profiles

Targeted HPLC-MS/MS analysis was employed to characterize the polyphenolic profiles of extracts obtained from Symphytum officinale and Sanguisorba officinalis. Compound identification was performed using authentic reference standards based on retention time matching and multiple reaction monitoring transitions, enabling selective and reliable assignment of individual analytes. The target list included representative flavonoids and phenolic acids, namely rutin, naringenin, baicalin, quercetin, chlorogenic acid, caffeic acid, ferulic acid, and rosmarinic acid, which cover major subclasses of plant polyphenols and are commonly used as analytical markers (Table 2).
In extracts of Symphytum officinale, both NADES systems provided comparable qualitative polyphenolic profiles. Naringenin, baicalin, chlorogenic acid, rosmarinic acid, and quercetin were consistently detected irrespective of the hydrogen-bond donor employed. The absence of qualitative differences between the two solvent systems indicates similar extraction selectivity toward the dominant polyphenolic constituents of this matrix. From an analytical perspective, this suggests that both acidic and alcoholic NADES formulations are suitable for reproducible profiling of Symphytum officinale polyphenols under the applied conditions. The stable detection of rosmarinic acid and baicalin further confirms effective solubilization of glycosylated and structurally sensitive phenolic compounds.
In contrast, the polyphenolic profiles of Sanguisorba officinalis extracts showed a pronounced dependence on NADES composition. Extraction with the lactic acid-based NADES resulted in detection of a broader range of analytes, including rutin, naringenin, ferulic acid, chlorogenic acid, caffeic acid, and rosmarinic acid. When propylene glycol was used as the hydrogen-bond donor, the detectable profile was restricted primarily to chlorogenic acid, caffeic acid, and rosmarinic acid. The exclusive detection of rutin and ferulic acid in the lactic acid-based system indicates enhanced extraction selectivity toward higher molecular weight flavonoid glycosides and moderately hydrophobic phenolic acids in acidic media.
These findings demonstrate that both the botanical matrix and the chemical nature of the hydrogen-bond donor play a decisive role in determining the analytical selectivity of NADES-based extraction. While Symphytum officinale exhibited a robust and solvent-independent polyphenolic profile, Sanguisorba officinalis showed increased compound diversity and selectivity when extracted using the lactic acid-based NADES. The improved recovery of rutin and ferulic acid under these conditions likely reflects more favorable solvation and ionization behavior of these compounds in mildly acidic eutectic systems.
Although quantitative profiling of individual markers can provide additional compositional insight, the present work prioritizes quantitative assessment of the global bioactive fraction (TPC, TFC) and functional antioxidant endpoints, because the antioxidant response of plant extracts is commonly governed by the combined pool of constituents and their synergistic interactions. Quantitative HPLC-MS/MS of individual compounds will be addressed in future work together with systematic evaluation of their individual and combined antioxidant contributions. Representative HPLC-MS/MS chromatograms are provided in the Supplementary Materials (Figures S1–S4).

3.4. GC-MS Characterization of Ethanol-Extractable Constituents

While HPLC-MS/MS enabled selective identification of predefined polyphenolic targets, its targeted nature restricted detection to compounds included in the multiple reaction monitoring list and supported by authentic standards. In contrast, gas chromatography–mass spectrometry provided an untargeted analytical approach based on electron ionization spectra and library matching, allowing broader coverage of low molecular weight and semi-volatile metabolites without the need for compound-specific reference materials.
Direct GC-MS analysis of NADES extracts was not feasible due to the nonvolatile character and high viscosity of the eutectic matrices. Therefore, ethanol extracts of Symphytum officinale and Sanguisorba officinalis were prepared under conditions identical to those used for NADES extraction, with a solid-to-solvent ratio of 1:20 and ultrasound-assisted extraction at 60 °C for 30 min. Importantly, these ethanolic extracts were used only to enable qualitative GC-MS profiling and were not intended as a benchmark for direct quantitative comparison with NADES extracts, given solvent-dependent extraction selectivity and yields. Two analytical workflows were applied, namely direct injection of non-derivatized extracts and analysis following sequential oximation with O methoxylamine in pyridine and silylation using BSTFA containing one percent trimethylchlorosilane (Table 3). This strategy enabled assessment of both native volatile constituents and polar metabolites rendered volatile through derivatization.
In Symphytum officinale extracts, non-derivatized samples contained predominantly low volatility and lipophilic components, including 2,5 dimethyl 4 hydroxy 3(2H) furanone, indolizine, methyl alpha D mannofuranoside, octadecanoic acid, beta sitosterol, and campesterol. Following derivatization, the detectable metabolite spectrum expanded substantially and included organic acids such as lactic, oxalic, malic, glyceric, succinic, and butanoic acids, polyols and sugars including glycerol, D glucose, D fructose, D ribose, glucitol, and inositol, nitrogen containing metabolites such as urea and amino acids, as well as phenolic compounds including catechollactate and caffeic acid. Lipid-related components such as 1 monopalmitoylglycerol and disaccharides such as sucrose were also detected. These results demonstrate that ethanolic extraction combined with derivatization enables broad qualitative detection of both primary and secondary metabolites by GC-MS in this matrix, providing complementary compositional context rather than a quantitative assessment relative to NADES extracts.
In Sanguisorba officinalis, the GC-MS profiles exhibited higher overall chemical diversity in both non-derivatized and derivatized fractions. The non-derivatized extracts were dominated by beta sitosterol, linoleic acid, and stearic acid. After derivatization, additional compounds were identified, including lactic, acetic, and DL malic acids, monosaccharides such as D xylose, D ribose, D glucose, D fructose, and arabinofuranose, phenolic compounds including catechin and protocatechuic acid, sugar alcohols such as inositol and glucitol, nucleoside derivatives such as uridine, and organic acids including benzoic and galacturonic acids. The presence of 1 monopalmitin further reflects lipid-related constituents in this species.
Several thermally generated compounds were detected in extracts of both plant species, including 5 hydroxymethylfurfural, furfural, and pyrogallol. These compounds are consistent with thermal degradation of carbohydrates and polyphenols during ethanol extraction and derivatization. Pyrogallol can originate from hydrolysable tannins, furfural reflects pentose degradation, and 5 hydroxymethylfurfural is associated with hexose decomposition. From an analytical standpoint, these compounds serve as indirect markers of polysaccharide- and tannin-rich matrices and highlight the importance of temperature control during sample preparation.
The overall intensity of sugar-derived signals followed the order Sanguisorba officinalis greater than Symphytum officinale, in agreement with reported differences in polysaccharide content. The detection of sugar alcohols such as glucitol, mannitol, and 1,5 anhydro D mannitol indicates partial hydrolysis processes occurring during extraction and derivatization. Minor fatty acids including pentadecanoic, butanoic, and hexanoic acids were also observed and may originate from endogenous plant metabolism or low-level microbial contributions.
Despite challenges associated with overlapping trimethylsilyl derivatives and complex chromatographic patterns typical of carbohydrate-rich samples, GC-MS provided valuable complementary information that is not readily accessible by HPLC-MS/MS. In combination, targeted HPLC-MS/MS and untargeted GC-MS profiling provide a more complete analytical context for the studied plant matrices (including thermal sensitivity markers), while acknowledging that solvent-dependent extraction selectivity and yields preclude direct quantitative equivalence between ethanolic and NADES extracts. Representative GC-MS TIC chromatograms are provided in the Supplementary Materials (Figures S5–S8).

3.5. Antioxidative and Bioanalytical Validation of Plant Extracts

Antioxidative activity and mitochondria-related effects were evaluated as bioanalytical validation tools to assess the functional integrity of polyphenol-rich extracts obtained by NADES-based sample preparation. Symphytum officinale and Sanguisorba officinalis were used as model plant matrices with contrasting polyphenolic profiles identified by spectrophotometric screening and HPLC-MS/MS analysis.
Radical scavenging capacity was quantified using an EPR-based DPPH reduction assay, providing a direct measure of redox-active constituents. Preservation of antioxidant function in a biological environment was further assessed in tert butyl hydroperoxide-treated rat erythrocytes by monitoring inhibition of lipid peroxidation and maintenance of reduced glutathione levels.
In addition, isolated rat liver mitochondria were employed as a sensitive bioanalytical system to probe the influence of extracted fractions on mitochondrial respiration and membrane-associated processes. Within this study, mitochondrial assays were applied as complementary validation tools rather than primary pharmacological endpoints.

3.6. Antioxidative Activities of Symphytum officinale and Sanguisorba officinalis Extracts in Cellular and Cell-Free Systems In Vitro

Antioxidative properties of polyphenol-rich extracts were investigated as part of bioanalytical validation of the applied sample preparation strategy.
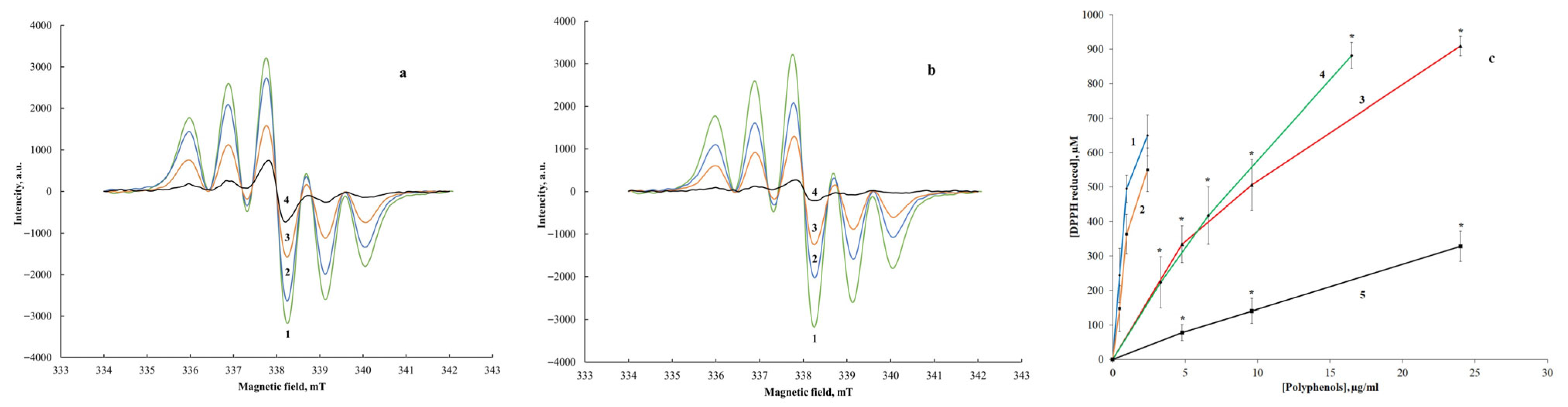
Initial evaluation of redox activity was performed using a cell-free DPPH assay monitored by electron paramagnetic resonance spectroscopy. The reduction in the DPPH radical was quantified over a polyphenol concentration range from 0.5 to 25 µg per mL (Figure 1a,b). Both plant extracts exhibited pronounced radical scavenging activity, with Sanguisorba officinalis consistently demonstrating higher efficiency than Symphytum officinale. This behavior is analytically consistent with the higher relative contribution of flavonoids and low molecular weight phenolic acids detected in Sanguisorba extracts. Importantly, no significant difference was observed between extracts prepared using ChCl lactic acid and ChCl propylene glycol in this assay, indicating that under these conditions, the nature of the hydrogen-bond donor exerted only a minor influence on the overall recovery of redox-active constituents.
Quercetin was used as a reference antioxidant to benchmark the analytical performance of the complex polyphenolic mixtures. Although quercetin efficiently reduced the DPPH radical, both plant extracts exhibited comparable or higher scavenging efficiency, as reflected by the lower amounts of extract required to reduce a fixed quantity of radicals (Table 4). From an analytical perspective, this observation highlights the contribution of matrix effects and potential synergistic interactions between multiple polyphenolic constituents present in the crude extracts.
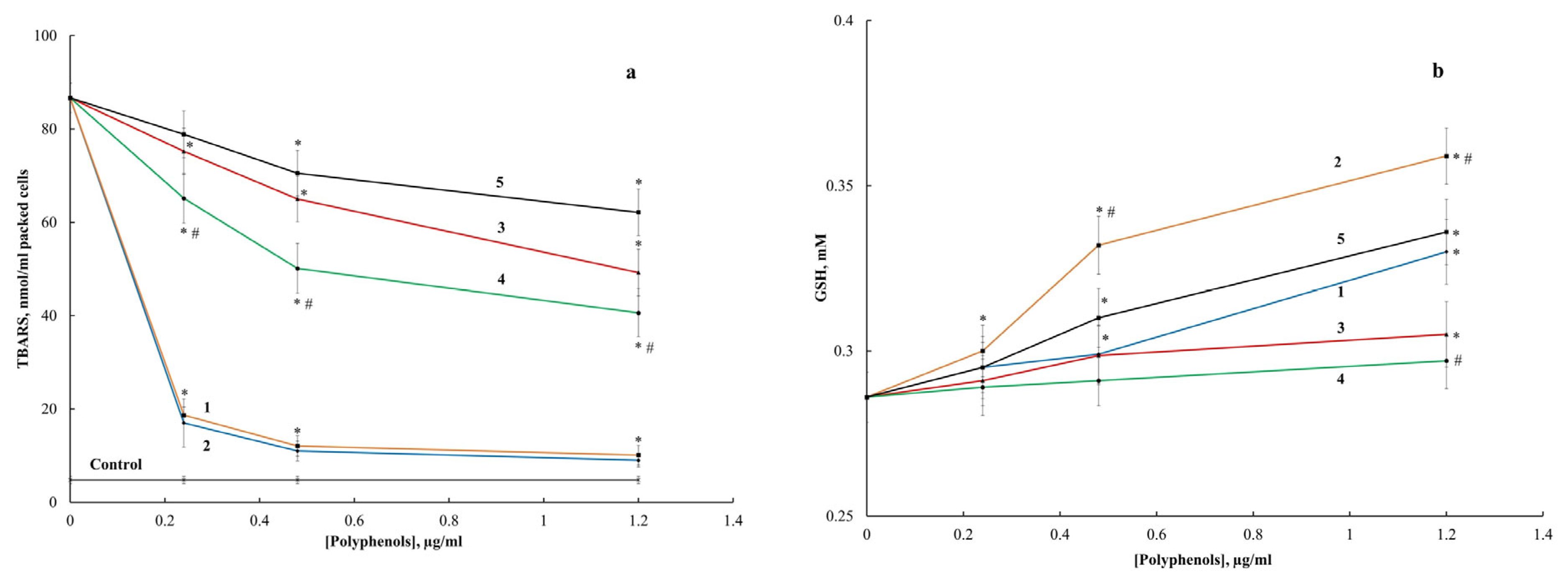
To assess whether the redox activity observed in the chemical assay translated into protection in a biological environment, the extracts were further evaluated in a cellular oxidative stress model using rat erythrocytes exposed to tert butyl hydroperoxide. Oxidative challenge resulted in pronounced lipid peroxidation and depletion of reduced glutathione. Co-incubation with the plant extracts at concentrations ranging from 0.25 to 1.20 µg polyphenols per mL led to significant inhibition of lipid peroxidation and partial preservation of intracellular glutathione levels (Figure 2a,b). The stronger suppression of membrane lipid peroxidation compared to glutathione preservation suggests preferential association of lipophilic polyphenols with the erythrocyte membrane rather than the cytosolic compartment.
Comparative analysis revealed that Sanguisorba officinalis extracts provided stronger protection against both lipid peroxidation and glutathione oxidation than Symphytum officinale. In addition, extracts prepared using the ChCl propylene glycol system generally exhibited higher protective efficacy than those obtained with ChCl lactic acid. These differences are consistent with qualitative and quantitative variations in the extracted polyphenolic profiles and differences in solvent-mediated affinity of the extracts toward biological membranes.
When compared with quercetin, the polyphenol-rich extracts demonstrated superior performance in the DPPH assay and in suppression of lipid peroxidation, while glutathione preservation was comparable. This analytical pattern supports the notion that minor constituents and collective matrix interactions contribute substantially to the observed antioxidant response. Previous reports have shown that individual flavonoids such as quercetin and catechin readily undergo oxidation and effectively protect erythrocytes from oxidative damage, whereas less reactive glycosylated flavonoids display lower activity [28]. The present results extend these observations to complex NADES-extracted phytochemical mixtures and demonstrate their suitability as multifunctional antioxidant systems.
Based on the DPPH reduction data and erythrocyte protection experiments, the amounts of extracts and reference quercetin required to reduce 500 nmol of DPPH and the IC50 values for inhibition of membrane lipid peroxidation were calculated and are summarized in Table 4. These quantitative metrics provide an analytical basis for comparing antioxidant efficiency across different extraction systems and plant matrices.

3.7. Regulation of Rat Liver Mitochondrial Functional Activities by Symphytum officinale and Sanguisorba officinalis Extracts In Vitro

At the final stage of the study, the influence of polyphenol-rich extracts on isolated rat liver mitochondria was examined as a bioanalytical validation of extract integrity and functional relevance. Mitochondria were selected as a redox-sensitive analytical system due to their well-established responsiveness to changes in membrane potential, electron transport activity, and calcium homeostasis. Previous studies have demonstrated that flavonoids can modulate mitochondrial bioenergetics and oxidative balance in experimental models of neurodegenerative disorders, including Alzheimer’s disease [29]. In addition, polyphenols are known to exert mitochondria-related effects beyond classical radical scavenging through interactions with the respiratory chain and regulation of membrane permeability [30].
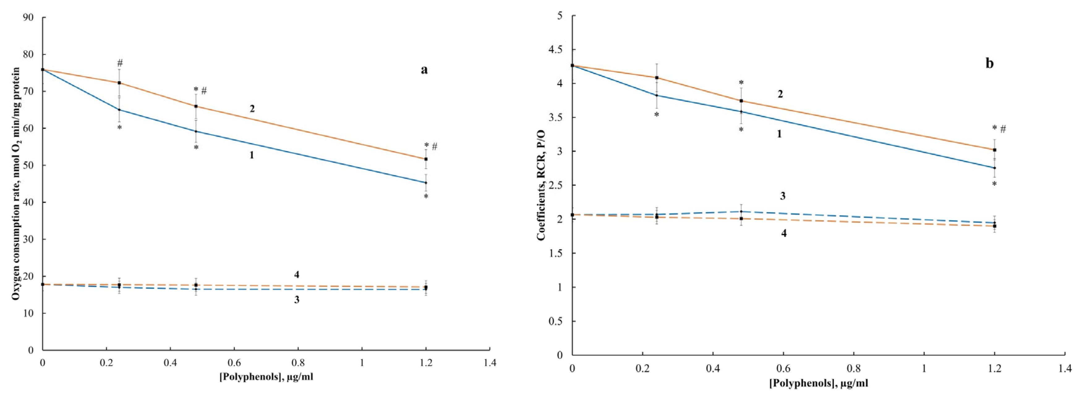
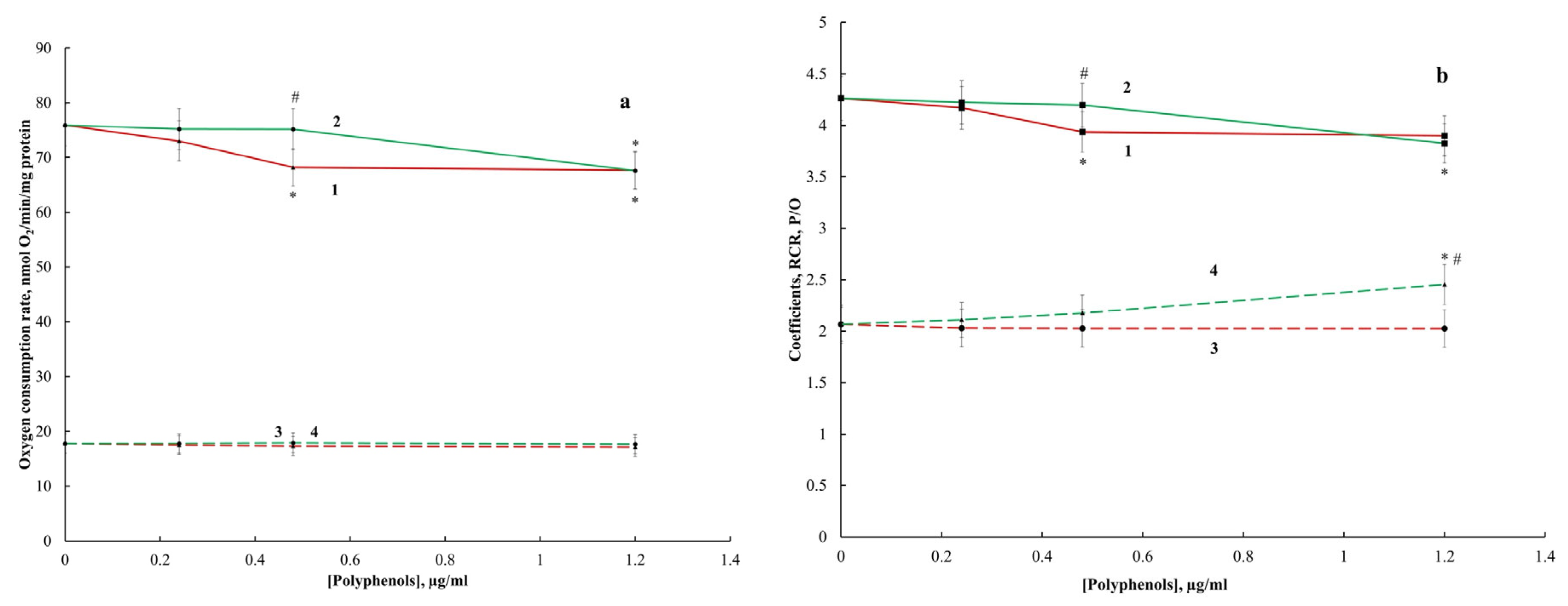
The effects of Sanguisorba officinalis and Symphytum officinale extracts on mitochondrial respiration are presented in Figure 3 and Figure 4. Extracts prepared using ChCl lactic acid and ChCl propylene glycol were tested over a concentration range from 0.25 to 1.20 µg polyphenols per mL. Both extracts induced a concentration-dependent decrease in the ADP-stimulated respiration rate V3 accompanied by a reduction in the acceptor control ratio, while substrate-dependent oxygen consumption V2 remained largely unchanged. This pattern indicates selective modulation of oxidative phosphorylation rather than nonspecific inhibition of mitochondrial respiration and is analytically consistent with a mild uncoupling effect.
Extracts of Sanguisorba officinalis produced more pronounced modulation of mitochondrial respiration than those of Symphytum officinale. In particular, ChCl lactic acid extracts of Sanguisorba officinalis caused the strongest decrease in V3 and acceptor control ratio, indicating higher bioanalytical potency of these fractions. Importantly, the ADP to oxygen ratio was not reduced, suggesting that overall coupling efficiency of oxygen consumption remained largely preserved. In some cases, especially for the ChCl propylene glycol extract of Symphytum officinale, a slight increase in the ADP to oxygen ratio was observed, indicating subtle modulation of phosphorylation efficiency rather than impairment.
Control experiments demonstrated that NADES formulations in the absence of plant material exerted only negligible effects on mitochondrial oxygen consumption. This confirms that the observed bioanalytical responses originated predominantly from extracted polyphenolic constituents rather than from the solvent systems themselves.
The influence of the extracts on mitochondrial sensitivity to calcium-induced permeability transition was evaluated using swelling assays. As shown in Figure 5a,b, addition of calcium to the mitochondrial suspension triggered rapid swelling, reflecting opening of the mitochondrial permeability transition pore. Both extracts increased the rate of spontaneous swelling in the absence of exogenous calcium and enhanced calcium-induced swelling in a concentration-dependent manner. These effects indicate sensitization of mitochondria to permeability transition by polyphenolic constituents. In the absence of added calcium, swelling is likely initiated by endogenous calcium and calcium released from damaged mitochondria in the presence of the extracts. The effects were again more pronounced for Sanguisorba officinalis, particularly for ChCl lactic acid extracts.
Complete suppression of swelling by cyclosporin A confirmed involvement of the canonical permeability transition mechanism. Previous studies have shown that reactive polyphenols can either promote or inhibit permeability transition depending on concentration and experimental conditions [31]. In the present study, ruthenium red, a specific inhibitor of the mitochondrial calcium uniporter, suppressed both spontaneous and calcium-induced swelling in the absence and presence of extracts (Figure 5a,b). Since the mitochondrial calcium uniporter mediates calcium influx across the inner mitochondrial membrane [32], these results indicate that enhanced calcium permeability via this pathway contributes to the observed effects.
The differential mitochondrial responses between extracts likely reflect variations in polyphenolic composition and relative abundance of lipophilic flavonoids and phenolic acids capable of partitioning into mitochondrial membranes. The ionophoric and protonophoric properties of polyphenols are well documented and are associated with their weak acidic character and ability to facilitate proton or cation translocation across lipid bilayers. From an analytical perspective, such mild uncoupling effects are consistent with partial modulation of membrane potential rather than overt mitochondrial toxicity.
Previous work has demonstrated that purified quercetin strongly inhibits mitochondrial respiration, uncouples ATP synthesis, and increases sensitivity to calcium-induced permeability transition while simultaneously protecting against oxidative enzyme inactivation and glutathione depletion [33]. The present results show that complex polyphenolic mixtures obtained by NADES-based extraction exert qualitatively similar but less pronounced effects. This suggests that the multicomponent nature of natural extracts leads to a balanced bioanalytical response in which modulatory and protective actions coexist and depend on concentration and matrix composition.

4. Conclusions

In this study, a comprehensive analytical and bioanalytical evaluation of polyphenol-rich extracts obtained from Sanguisorba officinalis and Symphytum officinale using natural deep eutectic solvents was performed. Quantitative phytochemical profiling by spectrophotometric methods and targeted HPLC-MS/MS demonstrated that Sanguisorba officinalis extracts contained higher total polyphenolic content and elevated levels of key marker compounds, including rutin, naringenin, baicalin, rosmarinic acid, and quercetin, compared to Symphytum officinale. These differences provided a suitable basis for correlating chemical composition with functional analytical responses.
The extracts exhibited pronounced antioxidant activity across multiple in vitro analytical models. Efficient reduction in stable DPPH radicals was observed within the concentration range from 0.5 to 25 µg polyphenols per mL, indicating high intrinsic redox activity of the extracted fractions. In a cellular oxidative stress model using rat erythrocytes, the extracts significantly suppressed membrane lipid peroxidation and partially preserved reduced glutathione at concentrations from 0.25 to 1.20 µg per mL. From an analytical perspective, these results confirm effective scavenging of alkoxyl, peroxyl, and membrane-associated lipid radicals and demonstrate preservation of redox-active constituents during NADES-based sample preparation.
Bioanalytical evaluation using isolated rat liver mitochondria revealed that the extracts induced concentration-dependent modulation of mitochondrial function. The observed inhibition of ADP-stimulated respiration, increased sensitivity to calcium-induced and spontaneous permeability transition, and stimulation of calcium uptake via the mitochondrial calcium uniporter are consistent with mild uncoupling activity and membrane-mediated effects of polyphenolic constituents. Importantly, these responses occurred without a pronounced decrease in coupling efficiency, indicating functional modulation rather than nonspecific mitochondrial damage.
Comparative analysis showed that Sanguisorba officinalis extracts consistently exhibited higher antioxidant efficiency and stronger mitochondrial modulation than Symphytum officinale. The composition of the NADES system also influenced functional outcomes. Extracts prepared using choline chloride lactic acid generally produced stronger effects on mitochondrial functional parameters, whereas choline chloride propylene glycol extracts provided enhanced protection against oxidative damage in erythrocytes. These differences reflect solvent-dependent selectivity in polyphenol extraction and differences in physicochemical properties of the resulting fractions.
Overall, the results demonstrate that the functional behavior of NADES-prepared extracts is governed by both qualitative and quantitative features of their polyphenolic composition and by physicochemical characteristics such as lipophilicity and membrane affinity. From an analytical standpoint, this study provides evidence that choline chloride-based NADES represent efficient, safe, and environmentally compatible media for preparation of polyphenol-rich plant extracts suitable for advanced analytical workflows.
Beyond their role as extraction media, NADES were shown to preserve the chemical integrity and functional activity of complex phytochemical mixtures, enabling combined chemical characterization and bioanalytical validation within a single experimental framework. This highlights the potential of NADES-based approaches as versatile tools in analytical and bioanalytical chemistry for studying redox-active natural products.
The greenness of the proposed workflow was additionally supported by an AGREEprep evaluation, which provided an overall score of 0.65, indicating a consistently high sustainability profile (Supplementary Figure S9). The lower ratings for criteria #3 and #5 primarily reflect the level of analytical automation, which, although important, was not a specific target of the present study. Criterion #7 (waste generation) was moderate: the waste volume is low but not minimal; importantly, it consists mainly of aqueous solutions of biodegradable eutectic solvents, thereby reducing the environmental burden compared to conventional organic-solvent-rich waste streams. The score for criterion #9 (instrumentation) was constrained by the use of energy-intensive platforms (HPLC-MS/MS and GC-MS); however, these techniques were essential to obtain sufficiently detailed and reliable analytical information for complex plant matrices. Criterion #10 (recyclability) was also moderate because, while most solutions are recyclable, complete recyclability is not achievable for all components under routine laboratory conditions. Overall, the AGREEprep assessment substantiates the sustainability claims while transparently highlighting the aspects that offer the greatest potential for future improvement.
Future work should focus on expanding quantitative validation of analytical performance, including robustness and matrix effects, as well as extending functional evaluation to in vivo relevant models. Such studies will further clarify the applicability of NADES-based sample preparation strategies for reliable analysis of complex plant matrices and support their integration into sustainable analytical methodologies.

Supplementary Materials

The following supporting information can be downloaded at https://www.mdpi.com/article/10.3390/analytica7020026/s1.

Author Contributions

A.S. (Andrey Shishov): Writing—original draft, Investigation, E.D.: Investigation, Y.C.: Investigation, N.T.: Investigation, A.S. (Alexey Savko): Writing—original draft, Investigation, I.B.Z.: Writing—original draft, Investigation. All authors have read and agreed to the published version of the manuscript.

Funding

The authors acknowledge Saint-Petersburg State University for research project 103753335. This study was partially supported by the State Program of Scientific Research of the Republic of Belarus “Convergence—2025” (Project No. 3.05.2) and the project of the Ministry of Science and Higher Education of the Russian Federation No. FMEZ-2025-0064.

Data Availability Statement

Dataset available on request from the authors.

Acknowledgments

The authors would like to thank the Research Parks of St. Petersburg State University (Chemical Analysis and Materials Research Centre).

Conflicts of Interest

The authors declare that they have no known competing financial interests or personal relationships that could have appeared to influence the work reported in this paper.

Abbreviations

The following abbreviations are used in this manuscript:
ACR, acceptor control ratio; ADP, adenosine diphosphate; ANOVA, analysis of variance; BSTFA, N,O-bis(trimethylsilyl)trifluoroacetamide; ChCl, choline chloride; CREB, cAMP-response element-binding protein; CsA, cyclosporin A; DPPH, 2,2-diphenyl-1-picrylhydrazyl; DW, dry weight; EGCG, epigallocatechin gallate; EGTA, ethylene glycol-bis(β-aminoethyl ether)-N,N,N′,N′-tetraacetic acid; EI, electron impact; EPR, electron paramagnetic resonance; ERK1/2, extracellular signal-regulated kinase 1/2; ESI, electrospray ionization; GAE, gallic acid equivalents; GSH, reduced glutathione; HMF, 5-hydroxymethylfurfural; IC50, half maximal inhibitory concentration; La, lactic acid; LOO•, lipoxyl radical; LPO, lipid peroxidation; MCU, mitochondrial calcium uniporter; MDA, malondialdehyde; MRM, multiple reaction monitoring; MPT, mitochondrial permeability transition; NaDES (NADES), natural deep eutectic solvents; Nrf2, nuclear factor E2-related factor 2; PBS, phosphate-buffered saline; Pg, propylene glycol; PTFE, polytetrafluoroethylene; RCR, respiratory control ratio; ROS, reactive oxygen species; RuR, ruthenium red; SD, standard deviation; TBA, thiobarbituric acid; TBARS, thiobarbituric acid reactive substances; TCA, trichloroacetic acid; tBHP, tert-butyl hydroperoxide; TIC, total ion current; TMCS, trimethylchlorosilane; TMS, trimethylsilyl; V2, state 2 respiration rate; V3, state 3 respiration rate; V4, state 4 respiration rate.

References

  1. Amrit, B.; Ponnampalam, E.N.; Macwan, S. Comprehensive screening and characterization of polyphenol compounds from pasture grasses used for livestock production under temperate region. Anim. Feed Sci. Technol. 2023, 300, 115657. [Google Scholar] [CrossRef]
  2. Fu, L.L.; Liu, J.; Chen, Y. In silico analysis and experimental validation of azelastine hydrochloride targeting sodium tau-rocholate co transporting polypeptide in HBV therapy. Cell Prolif. 2014, 47, 326–335. [Google Scholar] [CrossRef] [PubMed]
  3. Al Amin, M.; Barman, S.; Rahman, A. Flavonoids and Alzheimer’s disease reviewing the evidence for neuroprotective potential. Mol. Cell. Biochem. 2025, 480, 43–73. [Google Scholar] [CrossRef] [PubMed]
  4. Zhou, P.; Xu, H.; Wang, L. Cardiovascular protective effects of natural flavonoids on intestinal barrier injury. Mol. Cell. Biochem. 2025, 480, 3343–3362. [Google Scholar] [CrossRef] [PubMed]
  5. Choi, D.; Im, H.B.; Choi, S.J.; Han, D. Safety classification of herbal medicine use among hypertensive patients a systematic review and meta analysis. Front. Pharmacol. 2024, 15, 1321523. [Google Scholar] [CrossRef]
  6. Situmorang, P.C.; Wibowo, S.; Tanjung, M. Molecular mechanism of phytochemical compounds in mitigating hypertension. Phytomed. Plus 2025, 5, 100812. [Google Scholar] [CrossRef]
  7. Upadhyay, S.; Dixit, M. Role of polyphenols and other phytochemicals on molecular signaling. Oxid. Med. Cell. Longev. 2015, 2015, 504253. [Google Scholar] [CrossRef]
  8. Li, J.; Xiang, H.; Huang, C.; Lu, J. Pharmacological actions of myricetin in the nervous system a comprehensive review of pre-clinical studies in animals and cell models. Front. Pharmacol. 2021, 12, 797298. [Google Scholar] [CrossRef]
  9. Rahman, M.A.; Rahman, M.H.; Biswas, P. Potential therapeutic role of phytochemicals to mitigate mitochondrial dysfunctions in Alzheimer’s disease. Antioxidants 2020, 10, 23. [Google Scholar] [CrossRef]
  10. Sekowski, S.; Terebka, M.; Veiko, A. Epigallocatechin gallate activity against UV light induced photo damages in erythrocytes and serum albumin theoretical and experimental studies. J. Photochem. Photobiol. A Chem. 2018, 356, 379–388. [Google Scholar] [CrossRef]
  11. Sekowski, S.; Veiko, A.; Olchowik-Grabarek, E. Hydrolysable tannins change physicochemical parameters of lipid nano vesicles and reduce DPPH radical experimental studies and quantum chemical analysis. Biochim. Biophys. Acta Biomembr. 2022, 1864, 183778. [Google Scholar] [CrossRef]
  12. Ilyich, T.; Charishnikova, O.; Sekowski, S. Ferutinin induces membrane depolarization permeability transition pore formation and respiration uncoupling in isolated rat liver mitochondria by stimulation of Ca2 plus permeability. J. Membr. Biol. 2018, 251, 563–572. [Google Scholar] [CrossRef]
  13. Buko, V.; Belonovskaya, E.; Kavalenia, T. Anthocyanin rich extract of red cabbage attenuates advanced alcohol hepatotoxicity in rats in association with mitochondrial activity modulation. Eur. Pharm. J. 2022, 69, 5–16. [Google Scholar] [CrossRef]
  14. Bhaskar, R.; Xavier, L.S.E.; Udayakumaran, G. Biotic elicitors a boon for the in vitro production of plant secondary metabolites. Plant Cell Tissue Organ Cult. 2022, 149, 7–24. [Google Scholar] [CrossRef]
  15. Andruch, V.; Vojteková, V.; Kalyniukova, A. Application of deep eutectic solvents for the determination of inorganic analytes. Adv. Sample Prep. 2025, 13, 100158. [Google Scholar] [CrossRef]
  16. Nemati, M.; Tuzen, M.; Altunay, N. Development of sodium hydroxide induced homogenous liquid liquid extraction effer-vescent assisted dispersive liquid liquid microextraction based on deep eutectic solvents application in the extraction of phy-tosterols from cow cream samples. J. Food Compos. Anal. 2022, 106, 104291. [Google Scholar] [CrossRef]
  17. Kozhevnikova, A.V.; Uvarova, E.S.; Maltseva, V.E. Design of eutectic solvents with specified extraction properties based on intermolecular interaction energy. Molecules 2024, 29, 5022. [Google Scholar] [CrossRef]
  18. Tsvetov, N.; Paukshta, O.; Fokina, N. Application of natural deep eutectic solvents for extraction of bioactive components from Rhodiola rosea. Molecules 2023, 28, 912. [Google Scholar] [CrossRef]
  19. Huang, W.; Li, C.; Wang, Y. Anti inflammatory lignanamides and monoindoles from Alocasia macrorrhiza. Fitoterapia 2017, 117, 126–132. [Google Scholar] [CrossRef]
  20. Yahya, L.A.; Vakh, C.; Dushna, O. Guidelines on the proper selection of greenness and related metric tools in analytical chemistry a tutorial. Anal. Chim. Acta 2025, 1357, 344052. [Google Scholar] [CrossRef]
  21. Shishov, A.Y.; Mokhodoeva, O.B. Green chemistry metrics in analytical chemistry. J. Anal. Chem. 2024, 79, 487–499. [Google Scholar] [CrossRef]
  22. Yatsyshina, V.; Nizov, E.; Novikov, A.; Shishov, A. Molecular interference of deep eutectic solvents in flavonoid quantification. J. Mol. Liq. 2025, 433, 127943. [Google Scholar] [CrossRef]
  23. Johnson, D.; Lardy, H. Isolation of liver or kidney mitochondria. In Methods in Enzymology; Academic Press: Cambridge, MA, USA, 1967; Volume 10, pp. 94–96. [Google Scholar]
  24. Lowry, O.H.; Rosebrough, N.J.; Farr, A.L.; Randall, R.J. Protein measurement with the Folin phenol reagent. J. Biol. Chem. 1951, 193, 265–275. [Google Scholar] [CrossRef] [PubMed]
  25. Ellman, G.L. Tissue sulfhydryl groups. Arch. Biochem. Biophys. 1959, 82, 70–77. [Google Scholar] [CrossRef]
  26. Stocks, J.; Dormandy, T.L. The autoxidation of human red cell lipids induced by hydrogen peroxide. Br. J. Haematol. 1971, 20, 95–111. [Google Scholar] [CrossRef]
  27. Golovach, N.G.; Cheshchevik, V.T.; Lapshina, E.A. Calcium induced mitochondrial permeability transitions parameters of Ca2+ ion interactions with mitochondria and effects of oxidative agents. J. Membr. Biol. 2017, 250, 225–236. [Google Scholar] [CrossRef]
  28. Veiko, A.G.; Lapshina, E.A.; Zavodnik, I.B. Comparative analysis of molecular properties and reactions with oxidants for quercetin catechin and naringenin. Mol. Cell. Biochem. 2021, 476, 4287–4299. [Google Scholar] [CrossRef]
  29. Wang, D.M.; Li, S.Q.; Wu, W.L. Effects of long term treatment with quercetin on cognition and mitochondrial function in a mouse model of Alzheimer’s disease. Neurochem. Res. 2014, 39, 1533–1543. [Google Scholar] [CrossRef]
  30. Sandoval-Acuña, C.; Ferreira, J.; Speisky, H. Polyphenols and mitochondria an update on their increasingly emerging ROS scavenging independent actions. Arch. Biochem. Biophys. 2014, 559, 75–90. [Google Scholar] [CrossRef]
  31. De Marchi, U.; Biasutto, L.; Garbisa, S. Quercetin can act either as an inhibitor or an inducer of the mitochondrial permeability transition pore demonstration of the ambivalent redox character of polyphenols. Biochim. Biophys. Acta Bioenerg. 2009, 1787, 1425–1432. [Google Scholar] [CrossRef]
  32. Kirichok, Y.; Krapivinsky, G.; Clapham, D.E. The mitochondrial calcium uniporter is a highly selective ion channel. Nature 2004, 427, 360–364. [Google Scholar] [CrossRef]
  33. Ilyich, T.V.; Kovalenia, T.A.; Lapshina, E.A. Thermodynamic parameters and mitochondrial effects of supramolecular com-plexes of quercetin with beta cyclodextrins. J. Mol. Liq. 2021, 325, 115184. [Google Scholar] [CrossRef]
Figure 1. DPPH stable radical (1000 µM) reduction by plant extracts, 25 °C, 1 h DPPH exposure to extracts: (a) EPR spectra of DPPH after incubation with the ChCl/La extract of Sanguisorba officinalis. Extract concentrations: 0 (1); 0.48 (2); 0.96 (3); and 2.4 (4) μg polyphenols/mL. (b) EPR spectra of DPPH after incubation with the ChCl/La extract of Symphytum officinale. Extract concentrations: 0 (1); 5.0 (2); 10.0 (3); and 24.0 (4) μg polyphenols/mL. (c) Concentration dependence of DPPH reduction by polyphenol-rich extracts from Sanguisorba officinalis (1, 2) and Symphytum officinale (3, 4), obtained by ChCl/La (1, 3) and ChCl/Pg (2, 4), compared to quercetin (5) * p < 0.05 vs. Sanguisorba officinalis extracts.
Figure 1. DPPH stable radical (1000 µM) reduction by plant extracts, 25 °C, 1 h DPPH exposure to extracts: (a) EPR spectra of DPPH after incubation with the ChCl/La extract of Sanguisorba officinalis. Extract concentrations: 0 (1); 0.48 (2); 0.96 (3); and 2.4 (4) μg polyphenols/mL. (b) EPR spectra of DPPH after incubation with the ChCl/La extract of Symphytum officinale. Extract concentrations: 0 (1); 5.0 (2); 10.0 (3); and 24.0 (4) μg polyphenols/mL. (c) Concentration dependence of DPPH reduction by polyphenol-rich extracts from Sanguisorba officinalis (1, 2) and Symphytum officinale (3, 4), obtained by ChCl/La (1, 3) and ChCl/Pg (2, 4), compared to quercetin (5) * p < 0.05 vs. Sanguisorba officinalis extracts.
Analytica 07 00026 g001
Figure 2. Inhibition of tBHP-induced membrane lipid peroxidation (a) and reduced glutathione (GSH) oxidation (b) by extracts of Sanguisorba officinalis (1, 2) and Symphytum officinale (3, 4), obtained using ChCl/La (1, 3) or ChCl/Pg (2, 4), compared to quercetin (5). Erythrocyte suspensions (5% hematocrit) were incubated with 1 mM tBHP for 1 h in the case of TBARS-level measurements and with 100 µM tBHP for 10 min in the case of GSH-level measurements at 27 °C in PBS (pH 7.4), in the absence or presence of phytochemicals. * p < 0.05 vs. level without phytochemicals; # p < 0.05 vs. ChCl/La-derived extracts.
Figure 2. Inhibition of tBHP-induced membrane lipid peroxidation (a) and reduced glutathione (GSH) oxidation (b) by extracts of Sanguisorba officinalis (1, 2) and Symphytum officinale (3, 4), obtained using ChCl/La (1, 3) or ChCl/Pg (2, 4), compared to quercetin (5). Erythrocyte suspensions (5% hematocrit) were incubated with 1 mM tBHP for 1 h in the case of TBARS-level measurements and with 100 µM tBHP for 10 min in the case of GSH-level measurements at 27 °C in PBS (pH 7.4), in the absence or presence of phytochemicals. * p < 0.05 vs. level without phytochemicals; # p < 0.05 vs. ChCl/La-derived extracts.
Analytica 07 00026 g002
Figure 3. Effects of Sanguisorba officinalis extracts, prepared with ChCl/La (1, 3) or ChCl/Pg (2, 4), on the respiratory activity of isolated rat liver mitochondria. (a) ADP-stimulated oxygen consumption rate (V3; 1, 2) and substrate-dependent oxygen consumption rate (V2; 3, 4); (b) acceptor control ratio (ACR; 1, 2) and phosphorylation coefficient (ADP/O; 3, 4). * p < 0.05 vs. control; # p < 0.05 vs. ChCl/La-derived extracts.
Figure 3. Effects of Sanguisorba officinalis extracts, prepared with ChCl/La (1, 3) or ChCl/Pg (2, 4), on the respiratory activity of isolated rat liver mitochondria. (a) ADP-stimulated oxygen consumption rate (V3; 1, 2) and substrate-dependent oxygen consumption rate (V2; 3, 4); (b) acceptor control ratio (ACR; 1, 2) and phosphorylation coefficient (ADP/O; 3, 4). * p < 0.05 vs. control; # p < 0.05 vs. ChCl/La-derived extracts.
Analytica 07 00026 g003
Figure 4. Effects of Symphytum officinale extracts, prepared with ChCl/La (1, 3) or ChCl/Pg (2, 4), on the respiratory activity of isolated rat liver mitochondria. (a) ADP-stimulated oxygen consumption rate (V3; 1, 2) and substrate-dependent oxygen consumption rate (V2; 3, 4); (b) acceptor control ratio (ACR; 1, 2) and phosphorylation coefficient (ADP/O; 3, 4). * p < 0.05 vs. control; # p < 0.05 vs. ChCl/La-derived extracts.
Figure 4. Effects of Symphytum officinale extracts, prepared with ChCl/La (1, 3) or ChCl/Pg (2, 4), on the respiratory activity of isolated rat liver mitochondria. (a) ADP-stimulated oxygen consumption rate (V3; 1, 2) and substrate-dependent oxygen consumption rate (V2; 3, 4); (b) acceptor control ratio (ACR; 1, 2) and phosphorylation coefficient (ADP/O; 3, 4). * p < 0.05 vs. control; # p < 0.05 vs. ChCl/La-derived extracts.
Analytica 07 00026 g004
Figure 5. Effects of the Sanguisorba officinalis and Symphytum officinale extracts on the rates (ΔD520/min) of spontaneous (a) and calcium-induced (b) MPT pore formations of isolated rat liver mitochondria in the absence (1–4) and in presence of 1 µM RuR (5, 6). Swelling was measured as a decrease in optical density at 520 nm in EGTA-free medium at 25 °C without or following addition of 70 µM Ca2+. Mitochondria were preincubated with the extracts, 1 µM RuR or 10 µM cyclosporin A for 5 min. (a) The mitochondria swelling rates in the presence of extracts from Sanguisorba officinalis (1, 2, 5, 6) and Symphytum officinale (3, 4), prepared using ChCl/La (1, 3, 5) or ChCl/Pg (2, 4, 6); * p < 0.05 vs. control; # p < 0.05 vs. Sanguisorba officinalis extracts; (b) the mitochondria swelling rates in the presence of extracts from Sanguisorba officinalis in the absence (1, 3) and in the presence of 70 µM Ca2+ (2, 4, 5. 6), prepared using ChCl/La (1, 3, 5) or ChCl/Pg (2, 4, 6); * p < 0.05 vs. control.
Figure 5. Effects of the Sanguisorba officinalis and Symphytum officinale extracts on the rates (ΔD520/min) of spontaneous (a) and calcium-induced (b) MPT pore formations of isolated rat liver mitochondria in the absence (1–4) and in presence of 1 µM RuR (5, 6). Swelling was measured as a decrease in optical density at 520 nm in EGTA-free medium at 25 °C without or following addition of 70 µM Ca2+. Mitochondria were preincubated with the extracts, 1 µM RuR or 10 µM cyclosporin A for 5 min. (a) The mitochondria swelling rates in the presence of extracts from Sanguisorba officinalis (1, 2, 5, 6) and Symphytum officinale (3, 4), prepared using ChCl/La (1, 3, 5) or ChCl/Pg (2, 4, 6); * p < 0.05 vs. control; # p < 0.05 vs. Sanguisorba officinalis extracts; (b) the mitochondria swelling rates in the presence of extracts from Sanguisorba officinalis in the absence (1, 3) and in the presence of 70 µM Ca2+ (2, 4, 5. 6), prepared using ChCl/La (1, 3, 5) or ChCl/Pg (2, 4, 6); * p < 0.05 vs. control.
Analytica 07 00026 g005
Table 1. Total flavonoid and total phenolic contents in plant extracts obtained using various choline chloride-based deep eutectic solvents. Results are expressed as mg of rutin equivalents and gallic acid equivalents per gram of dry sample (mean ± SD, n = 3).
Table 1. Total flavonoid and total phenolic contents in plant extracts obtained using various choline chloride-based deep eutectic solvents. Results are expressed as mg of rutin equivalents and gallic acid equivalents per gram of dry sample (mean ± SD, n = 3).
Plant SpeciesDES SystemFlavonoids (mg Rutin/g)Phenolics (mg GA/g)
Symphytum officinaleChCl/La0.11 ± 0.019.58 ± 0.67
ChCl/Pg0.08 ± 0.016.49 ± 0.46
Sanguisorba officinalisChCl/La0.52 ± 0.049.67 ± 0.68
ChCl/Pg0.50 ± 0.049.39 ± 0.66
Table 2. Polyphenolic compounds identified by HPLC-MS/MS in Symphytum officinale and Sanguisorba officinalis extracts obtained using ChCl/La and ChCl/Pg NADES.
Table 2. Polyphenolic compounds identified by HPLC-MS/MS in Symphytum officinale and Sanguisorba officinalis extracts obtained using ChCl/La and ChCl/Pg NADES.
Plant SpeciesDES SystemCompounds Identified by HPLC-MS/MS
Symphytum officinaleChCl/LaNaringenin, baicalin, chlorogenic acid, rosmarinic acid, quercetin
ChCl/PgNaringenin, baicalin, chlorogenic acid, rosmarinic acid, quercetin
Sanguisorba officinalisChCl/LaRutin, naringenin, ferulic acid, chlorogenic acid, caffeic acid, rosmarinic acid
ChCl/PgChlorogenic acid, caffeic acid, rosmarinic acid
Table 3. Identified compounds in ethanolic extracts by GC-MS using two approaches (direct injection and derivatization with BSTFA + 1% TMCS). Ethanolic extracts were prepared solely to enable complementary qualitative GC-MS profiling, since NADES matrices are not directly amenable to GC-MS.
Table 3. Identified compounds in ethanolic extracts by GC-MS using two approaches (direct injection and derivatization with BSTFA + 1% TMCS). Ethanolic extracts were prepared solely to enable complementary qualitative GC-MS profiling, since NADES matrices are not directly amenable to GC-MS.
Plant
Species
Compounds Identified by GC-MS (Direct Injection)Compounds Identified by GC-MS (After Derivatization)
Symphytum officinale2,5-Dimethyl-4-hydroxy-3(2H)-furanone, α-d-Mannofuranoside, methyl, Octadecanoic acid, β-sitosterol, CampesterolLactic acid, L-Alanine, Oxalic acid, L-Valine, Urea, Glycerol, Succinic acid, Glyceric acid, Lactic acid dimer, Malic acid, Butanoic acid. Predominant sugars: D-Fructose, d-Glucose, d-Ribose, d-Glucitol, Inositol, Catechollactate, Caffeic acid, 1-Monopalmitoylglycerol, Sucrose, β-Sitosterol.
Sanguisorba officinalisβ-Sitosterol, Linoleic acid, Stearic acidLactic acid, Acetic acid, Glycerol, DL-Malic acid. Predominant sugars: D-Fructose, d-Ribose, d-Xylose, d-Glucose. Stereoisomers: Arabinofuranose, D-Xylofuranose, Catechine, Protocatechuic acid, Glucitol, Inositol/Myo-Inositol, 1-monopalmitin, β-Sitosterol, Linoleic acid, Stearic acid, Benzoic acid, Galacturonic acid, Uridine.
Table 4. The amount of the polyphenols required for reduction of 500 nmol of the radical DPPH and IC50 for inhibition of the membrane LPO.
Table 4. The amount of the polyphenols required for reduction of 500 nmol of the radical DPPH and IC50 for inhibition of the membrane LPO.
Plant
Species
DES SystemDPPH Reduction, Polyphenols, μg IC50 for Inhibition of the LPO, Polyphenols, μg/mL
Symphytum officinaleChCl/La9.6 ± 1.81.43 ± 0.24
ChCl/Pg8.1 ± 1.41.06 ± 0.18
Sanguisorba officinalisChCl/La1.0 ± 0.170.17 ± 0.03
ChCl/Pg2.1 ± 0.340.17 ± 0.03
Quercetin-31.6 ± 4.62.74 ± 0.51
Disclaimer/Publisher’s Note: The statements, opinions and data contained in all publications are solely those of the individual author(s) and contributor(s) and not of MDPI and/or the editor(s). MDPI and/or the editor(s) disclaim responsibility for any injury to people or property resulting from any ideas, methods, instructions or products referred to in the content.

Share and Cite

MDPI and ACS Style

Shishov, A.; Davydova, E.; Chepasova, Y.; Tsvetov, N.; Savko, A.; Zavodnik, I.B. Natural Deep Eutectic Solvents for Analytical Sample Preparation of Polyphenol-Rich Plant Extracts: Chemical Characterization and Bioanalytical Validation. Analytica 2026, 7, 26. https://doi.org/10.3390/analytica7020026

AMA Style

Shishov A, Davydova E, Chepasova Y, Tsvetov N, Savko A, Zavodnik IB. Natural Deep Eutectic Solvents for Analytical Sample Preparation of Polyphenol-Rich Plant Extracts: Chemical Characterization and Bioanalytical Validation. Analytica. 2026; 7(2):26. https://doi.org/10.3390/analytica7020026

Chicago/Turabian Style

Shishov, Andrey, Ekaterina Davydova, Yaroslava Chepasova, Nikita Tsvetov, Alexey Savko, and Ilya B. Zavodnik. 2026. "Natural Deep Eutectic Solvents for Analytical Sample Preparation of Polyphenol-Rich Plant Extracts: Chemical Characterization and Bioanalytical Validation" Analytica 7, no. 2: 26. https://doi.org/10.3390/analytica7020026

APA Style

Shishov, A., Davydova, E., Chepasova, Y., Tsvetov, N., Savko, A., & Zavodnik, I. B. (2026). Natural Deep Eutectic Solvents for Analytical Sample Preparation of Polyphenol-Rich Plant Extracts: Chemical Characterization and Bioanalytical Validation. Analytica, 7(2), 26. https://doi.org/10.3390/analytica7020026

Article Metrics

Article metric data becomes available approximately 24 hours after publication online.
Back to TopTop