Frictional Pressure Drops Modeling for Helical Pipes: Comparative Evaluation of Recent Predictive Approaches over Various Geometries and Operating Conditions
Abstract
1. Introduction
2. Advances in Correlations for Two-Phase Frictional Pressure Drops in Helically Coiled Pipes
2.1. Colombo et al.
2.2. Ferraris and Marcel
2.3. Moradkhani et al.
- It = Tan(γ/2) is the inclination factor, γ is 0 for horizontal, −π/2 for vertical downflow, and +π/2 for vertical upflow;
- Pred = P/Pcritical is the reduced pressure evaluated as ratio of the pressure system to the critical pressure;
- X is the L-M parameter;
- Reₗₒ and Regₒ are the liquid-only and gas-only Reynolds number, respectively;
- δ = d/D is the curvature ratio, where d is the tube diameter and D is the coil diameter.
2.4. Su et al.
2.5. Giardina and Lombardo
3. Models Validation Against Experiments
3.1. Experimental Data at Pressure from 0.1 to 0.4 MPa and Curvature Ratio of 0.012 and 0.01875
3.2. Experimental Data at 2.14 MPa and Curvature Ratio of 0.0246
3.3. Experimental Data at Pressures from 2 to 6 MPa and Curvature Ratio 0.01253
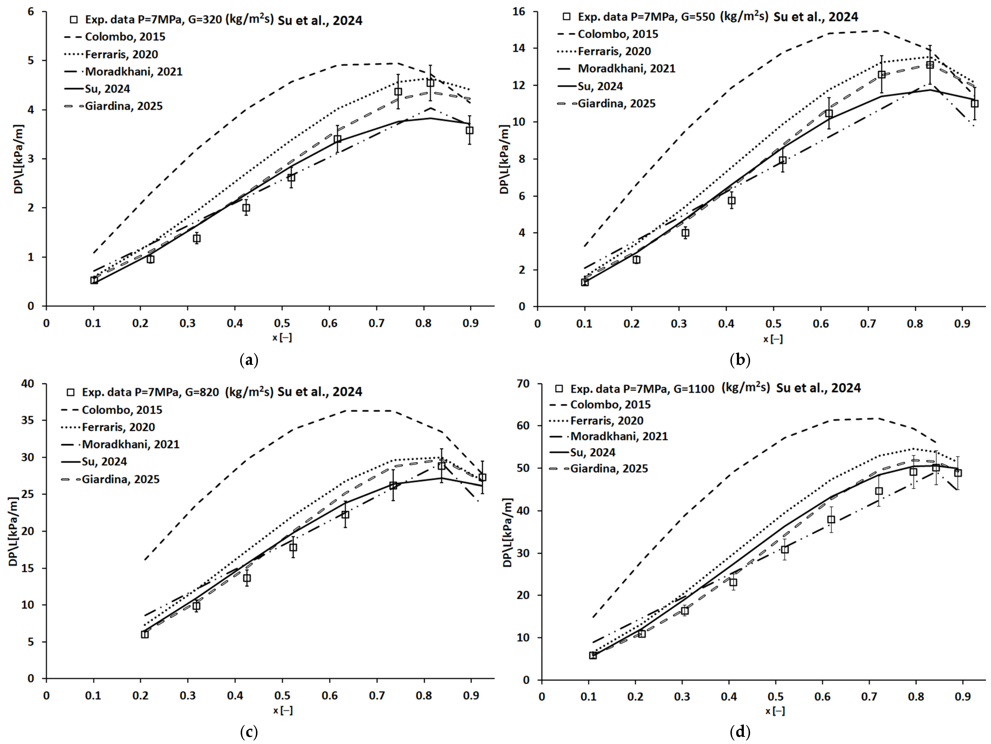
3.4. Experimental Data at 7 MPa and Curvature Ratio of 0.107
3.5. Comparison Results
- p_lower checks whether the mean difference is not lower than −30%;
- p_upper checks whether the mean difference is not higher than +30%.
| Correlation | p_lower | p_upper | Equivalent (SL = 0.05) | MAPE (%) | 
|---|---|---|---|---|
| Colombo [1] | 8.85725 × 10−210 | 1 | NO | 32.29 | 
| Ferraris [2] | 4.59264 × 10−230 | 1 | NO | 19.96 | 
| Moradkhani [3] | 1 | 4.6142 × 10−161 | NO | 45.32 | 
| Su [5] | 3.72241 × 10−250 | 1 | NO | 23.27 | 
| Giardina [6] | 6.12354 × 10−249 | 0.00287597 | YES | 14.78 | 
4. Conclusions
- Ferraris correlation [2] shows the highest agreement with all experimental data. However, the predictions appear more sensitive to changes in the curvature ratio and become less accurate as the flow rate increases.
- Moradkhani correlation [3] showed large deviations from the experimental data for different curvature ratios and operating pressures.
- Su correlation [5] performs with errors comparable to the Ferraris correlation. However, accuracy decreases at a mass flow rate of 1100 kg/m2s, pressure of 7 MPa, and high curvature ratios (δ = 0.107), where RMSE rises to about 33% (see Table 3). At pressures below 0.4 MPa and curvature δ = 0.01875, the experimental data exhibit large scatter around an average error of approximately −30% (Figure 5b).
- Giardina correlation [6] demonstrated a good reliability, with errors generally within 30% across the full range of operating pressures, mass, and curvature ratios examined in this paper.
Author Contributions
Funding
Data Availability Statement
Acknowledgments
Conflicts of Interest
Nomenclature
| Acronyms | |
| CA | Cluster Analysis | 
| FPD | Frictional Pressure Drop | 
| HCT | Helically Coiled Tube | 
| L-M | Lockhart–Martinelli | 
| MAPE | Mean Absolute Percentage Error | 
| RMSE | Root Mean Squared Error | 
| SL | Significance Level | 
| TP | Two-Phase | 
| TOST | Two One-Sided Tests | 
| Notation | |
| d | Inner tube diameter (m) | 
| D | Coil diameter (m) | 
| De | Dean number (−) | 
| f | Frictional factor (−) | 
| G | Mass flux (kg/m2s) | 
| P | System pressure (Pa) | 
| p | Picth (m) | 
| Re | Reynolds number (−) | 
| x | Steam quality (−) | 
| It | Tube inclination factor tg(γ/2) | 
| Subscript | |
| c | Coil | 
| g | Gas or steam | 
| go | Gas-only | 
| l | Liquid | 
| lo | Liquid-only | 
| m | Homogeneous model | 
| red | Reduced pressure | 
| Greek symbols | |
| β | Helix angle | 
| δ | Curvature ratio d/D | 
| γ | Inclination angle: 0 horizontal, −π/2 vertical downflow, +π/2 vertical upflow | 
| μ | Dynamic viscosity (Pa s) | 
| ϕ | Pressure drop multiplier (−) | 
| ρ | Density (kg/m3) | 
| X | Martinelli parameter (−) | 
References
- Colombo, M.; Colombo, L.P.; Cammi, A.; Ricotti, M.E. A scheme of correlation for frictional pressure drop in steam–water two-phase flow in helicoidal tubes. Chem. Eng. Sci. 2015, 123, 460–473. [Google Scholar] [CrossRef]
- Ferraris, D.L.; Marcel, C.P. Two-phase flow frictional pressure drop prediction in helical coiled tubes. Int. J. Heat Mass Transf. 2020, 162, 120264. [Google Scholar] [CrossRef]
- Moradkhani, M.A.; Hosseini, S.H.; Mansouri, M.; Ahmadi, G.; Song, M. Robust and universal predictive models for frictional pressure drop during two-phase flow in smooth helically coiled tube heat exchangers. Sci. Rep. 2021, 11, 20068. [Google Scholar] [CrossRef] [PubMed]
- Giardina, M.; Buffa, P. Simulations of single and two-phase flows through helical tubes with different geometries and mass flow rates. J. Phys. Conf. Ser. 2025, 1742, 6596. [Google Scholar] [CrossRef]
- Su, Y.; Li, X.; Wu, X. Frictional pressure drop correlation of steam-water two-phase flow in helically coiled tubes. Ann. Nucl. Energy 2024, 208, 110764. [Google Scholar] [CrossRef]
- Giardina, M.; Lombardo, C. A generalized correlation for pressure drop prediction in helically coiled tubes across different geometries and operating conditions. In Proceedings of the UIT2025-42nd International Heat Transfer Conference, Florence, Italy, 23–25 June 2025. [Google Scholar]
- Lockhart, R.W.; Martinelli, R.C. Proposed correlation of data for isothermal two-phase two-component flow in pipes. Chem. Eng. Prog. 1949, 45, 39–48. [Google Scholar]
- Ito, H. Friction factors for turbulent flow in curved pipes. ASME J. Basic Eng. Trans. 1959, 81, 123–134. [Google Scholar] [CrossRef]
- Kaufman, L.; Rousseeuw, P.J. Finding Groups in Data: An Introduction to Cluster Analysis; Wiley-Interscience: New York, NY, USA, 1990. [Google Scholar]
- MacQueen, J. Some methods for classification and analysis of multivariate observations. In Proceedings of the Fifth Berkeley Symposium on Mathematical Statistics and Probability; University of California Press: Berkeley, CA, USA, 1967; Volume 1, pp. 281–297. [Google Scholar]
- Rousseeuw, P.J. Silhouettes: A graphical aid to the interpretation and validation of cluster analysis. J. Comput. Appl. Math. 1987, 20, 53–65. [Google Scholar] [CrossRef]
- Nocedal, J.; Wright, S.J. Numerical Optimization, 2nd ed.; Springer: New York, NY, USA, 2006. [Google Scholar]
- Orio, M. Fluidodinamica Bifase in Condotti Elicoidali per Applicazioni Nucleari. Ph.D. Thesis, Politecnico di Torino, Torino, Italy, 2013. [Google Scholar]
- Kozeki, M.; Nariai, H.; Furukawa, T.; Kurosu, K. A study of helically-coiled tube once-through steam generator. Bull. JSME 1970, 13, 1485–1494. [Google Scholar] [CrossRef]
- Wellek, S. Testing Statistical Hypotheses of Equivalence and Noninferiority; CRC Press: Boca Raton, FL, USA, 2010. [Google Scholar]








| Reference | Geometry Working Fluid | Parameters Range | Correlation | 
|---|---|---|---|
| Colombo [1] | δ = 0.0125 Water–steam | 5 < P < 60 MPa 200 < G < 945 kg/(m2s) 0 < x < 1 | (dP/dz)FPD = ϕ2c (dP/dz)l (dP/dz)l = fl/2 [G2(1 − x)2]/(ρl d) fl = 0.304 Rel−0.25 + 0.029 δ0.5 ϕ2c = 0.0986 ϕ2 LM Del0.19 (ρm/ρl)−0.40 ϕ2LM = 1 + C/X + 1/X2, X = (ρg/ρl)0.5(μl/μg)0.1[(1 − x)/x]0.9 Del = Rel δ0.5, Rel = G(1 − x)d/μl ρm = [x/ρg + (1 − x)/ρl]−1 | 
| Ferraris [2] | 0.0125 < δ < 0.081 Water-steam | 0.5 < P < 8 MPa 150 < G < 1100 kg/(m2s) 0 < x < 1 | (dP/dz)FPD = fTP/2 [G2/(ρm d)] fTP = ψ fm, fm = x fgo + (1 − x) flo ψ = 1 + 0.207 x1.3 (1 − x)2/3 Relo0.27 flo = 0.304 Relo−0.25 + 0.029δ0.5 fgo = 0.304 Rego−0.25 + 0.029δ0.5 Relo = Gd/μl, Rego = Gd/μg | 
| Moradkhani [3] | 0.005 < δ < 0.092 Water-steam, R134, R290, R600 | 0.6 < P < 7.5 MPa 95 < G < 1000 kg/(m2s) 0 < x < 1 | fTP = 0.077 + 0.0016 Relo/Rego − 1.29 × 10−6 δ−2 +0.074 Pred (It − 1.67) + 0.44 A1|It| − 0.043 It It = tg(γ/2) (e.g., +1 for vertical upflow) Pred = P/Pcritical, A1 = min(0.053, X) | 
| Su [5] | 0.03 < δ < 0.109 Water-steam | 0.35 < P < 8 MPa 200 < G < 1100 kg/(m2s) 0.03 < x < 0.99 | (dP/dz)FPD = ϕ2lo (dP/dz)lo (dP/dz)lo = flo/2 G2/(ρl d) ϕ2lo = ϕ2mn [1 + 0.01(ρm/ρl)−0.591 δ0.646 Relo0.419 (1 − x)−0.066] /[1 + 0.051 (δ/0.05)3.627] ϕ2mn = [1 + 4x(1 − x)](x ρl/ρg + 1 − x)0.853 | 
| Giardina [6] | 0.01< δ < 0.11 Water-steam | 0.1 < P < 8 MPa 70 < G < 2500 kg/(m2s) 0 < x < 1 | fTP = 0.00306+ [x fgo + (1 − x) flo] + [0.0271Del0.19 −0.178 Pred) x1.948 (1 − x)0.856] Del = Relo(d/Dc)0.5, Dc = D(1 + tg(β)] | 
| G | P | Colombo [1] | Ferraris [2] | Moradkhani [3] | Su [5] | Giardina [6] | |||||
|---|---|---|---|---|---|---|---|---|---|---|---|
| [kg/m2s] | [MPa] | RMSE% | MAPE% | RMSE% | MAPE% | RMSE % | MAPE% | RMSE | MAPE% | RMSE% | MAPE% | 
| 200 | 2 | 16.6 | 14.6 | 9.1 | 7.5 | 23.4 | 20.2 | 16,0 | 14.5 | 10.6 | 8.5 | 
| 4 | 19.8 | 17.25 | 5.0 | 4.0 | 6.2 | 4.6 | 8.4 | 7.1 | 7.2 | 5.9 | |
| 6 | 23.0 | 19.4 | 11.4 | 9.3 | 10.8 | 8.7 | 13.4 | 11.1 | 8.6 | 6.8 | |
| 400 | 2 | 12.6 | 10.7 | 10.4 | 8.5 | 22.8 | 15.1 | 7.9 | 7.3 | 8.8 | 7.7 | 
| 4 | 12.5 | 10.0 | 6.0 | 4.4 | 13.8 | 9.1 | 7.7 | 5.4 | 10.6 | 8.9 | |
| 6 | 14.3 | 10.6 | 9.6 | 7.4 | 11.2 | 8.2 | 9.6 | 7.9 | 11.9 | 9.7 | |
| 600 | 2 | 19.4 | 13.6 | 13.7 | 11.8 | 34.9 | 24.4 | 12.5 | 9.3 | 4.8 | 3.3 | 
| 4 | 22.8 | 14.4 | 12.2 | 9.1 | 49.1 | 30.1 | 15.6 | 10.8 | 13.5 | 10.2 | |
| 6 | 23.3 | 14.6 | 7.6 | 5.8 | 20.4 | 10.7 | 18.6 | 9.0 | 10.8 | 8.2 | |
| 800 | 2 | 25.7 | 16.7 | 14.7 | 12.3 | 42.6 | 28.7 | 15.7 | 11.6 | 8.6 | 6.2 | 
| 4 | 17.8 | 15.4 | 10.0 | 8.6 | 24.6 | 13.1 | 11.5 | 10.2 | 6.8 | 5.6 | |
| 6 | 8.7 | 7.3 | 6.3 | 4.8 | 7.7 | 6.4 | 9.4 | 7.9 | 10.1 | 7.1 | |
| G | Colombo [1] | Ferraris [2] | Moradkhani [3] | Su [5] | Giardina [6] | |||||
|---|---|---|---|---|---|---|---|---|---|---|
| [kg/m2s] | RMSE% | MAPE% | RMSE% | MAPE% | RMSE% | MAPE% | RMSE% | MAPE% | RMSE% | MAPE% | 
| 320 | 85.1 | 69.3 | 25.1 | 21.7 | 19.7 | 15.8 | 12.0 | 11.0 | 11.8 | 10.7 | 
| 550 | 97.6 | 77.21 | 23.2 | 19.8 | 27.3 | 20.5 | 10.9 | 9.4 | 11.0 | 8.9 | 
| 820 | 96.4 | 78.6 | 18.6 | 16.4 | 18.6 | 12.9 | 15.4 | 13.4 | 7.0 | 6.2 | 
| 1100 | 96.5 | 78.2 | 19.9 | 18.2 | 21.6 | 14.2 | 33.6 | 19.1 | 10.28 | 9.2 | 
| Disclaimer/Publisher’s Note: The statements, opinions and data contained in all publications are solely those of the individual author(s) and contributor(s) and not of MDPI and/or the editor(s). MDPI and/or the editor(s) disclaim responsibility for any injury to people or property resulting from any ideas, methods, instructions or products referred to in the content. | 
© 2025 by the authors. Licensee MDPI, Basel, Switzerland. This article is an open access article distributed under the terms and conditions of the Creative Commons Attribution (CC BY) license (https://creativecommons.org/licenses/by/4.0/).
Share and Cite
Giardina, M.; Lombardo, C. Frictional Pressure Drops Modeling for Helical Pipes: Comparative Evaluation of Recent Predictive Approaches over Various Geometries and Operating Conditions. J. Nucl. Eng. 2025, 6, 45. https://doi.org/10.3390/jne6040045
Giardina M, Lombardo C. Frictional Pressure Drops Modeling for Helical Pipes: Comparative Evaluation of Recent Predictive Approaches over Various Geometries and Operating Conditions. Journal of Nuclear Engineering. 2025; 6(4):45. https://doi.org/10.3390/jne6040045
Chicago/Turabian StyleGiardina, Mariarosa, and Calogera Lombardo. 2025. "Frictional Pressure Drops Modeling for Helical Pipes: Comparative Evaluation of Recent Predictive Approaches over Various Geometries and Operating Conditions" Journal of Nuclear Engineering 6, no. 4: 45. https://doi.org/10.3390/jne6040045
APA StyleGiardina, M., & Lombardo, C. (2025). Frictional Pressure Drops Modeling for Helical Pipes: Comparative Evaluation of Recent Predictive Approaches over Various Geometries and Operating Conditions. Journal of Nuclear Engineering, 6(4), 45. https://doi.org/10.3390/jne6040045
 
        


 
                         
       