Microcredit Membership and Self-Reported Healthcare Autonomy among Bangladeshi Women
Abstract
1. Introduction
2. Methods
2.1. Survey and Data Collection
2.2. Measures
2.3. Data Analysis
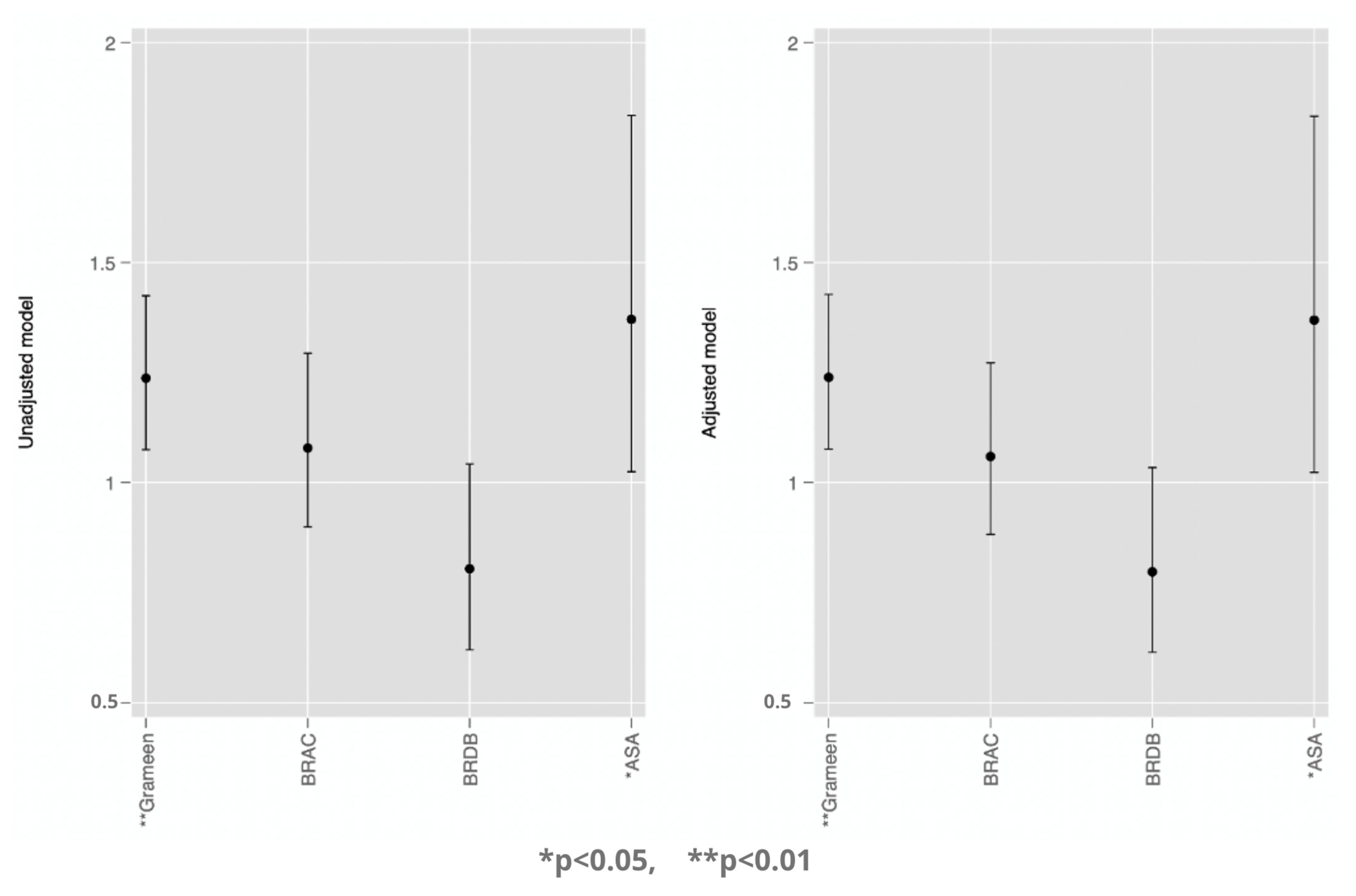
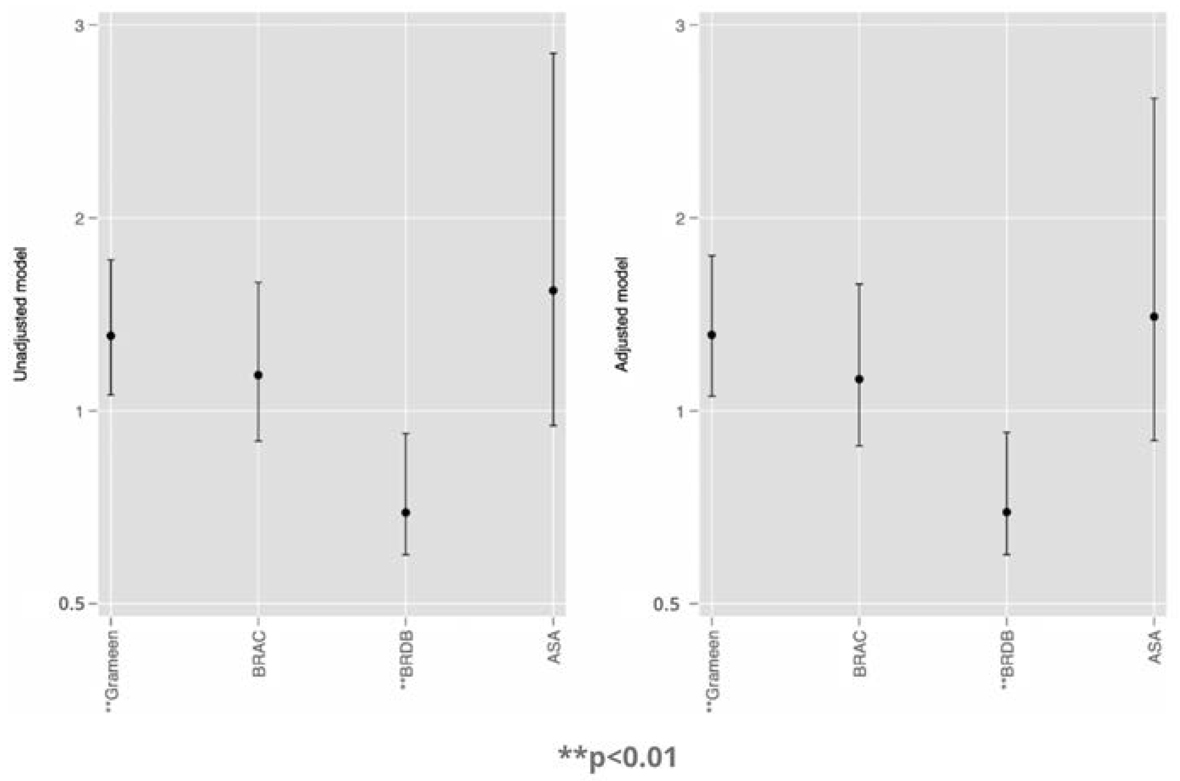
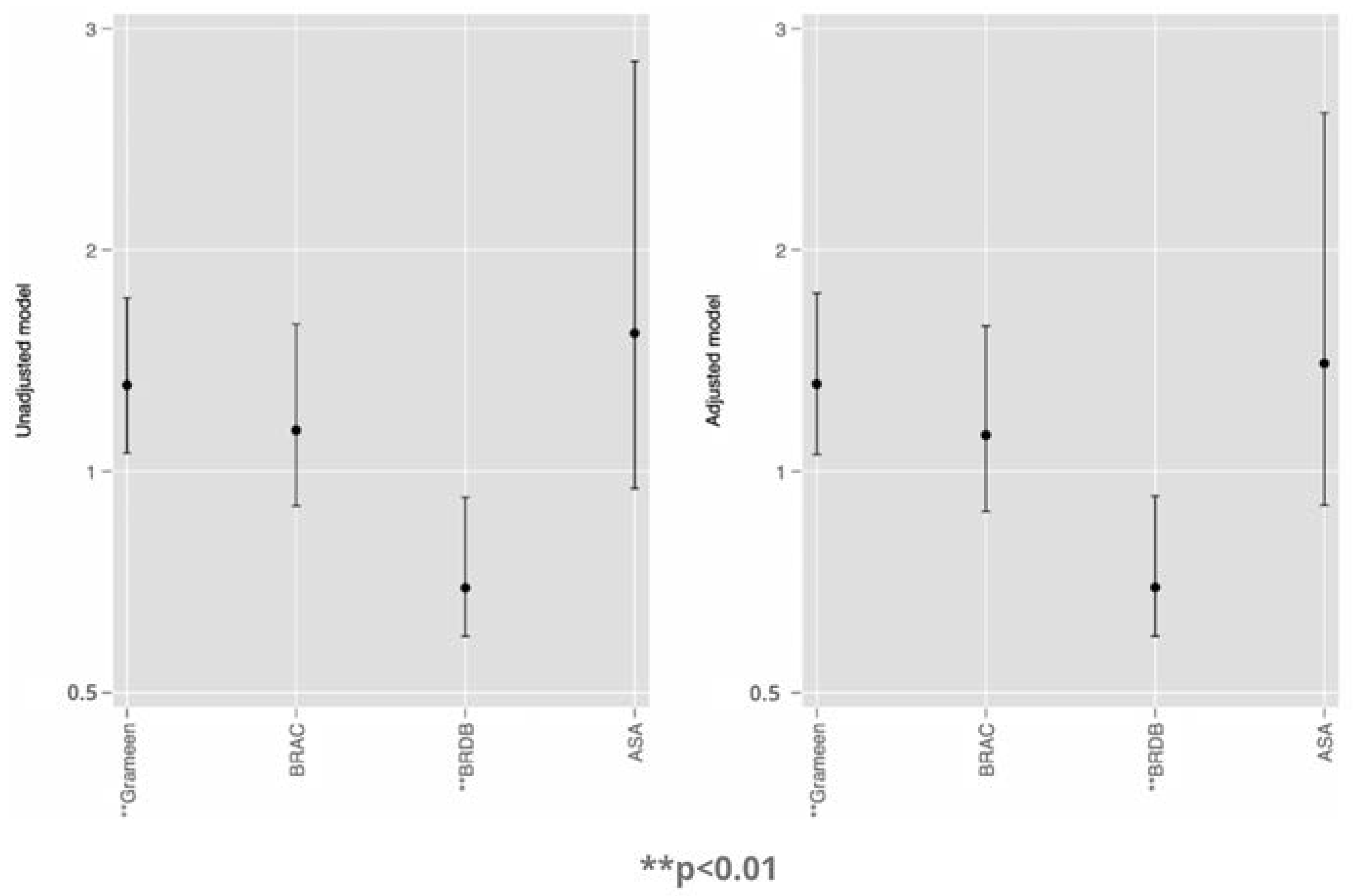
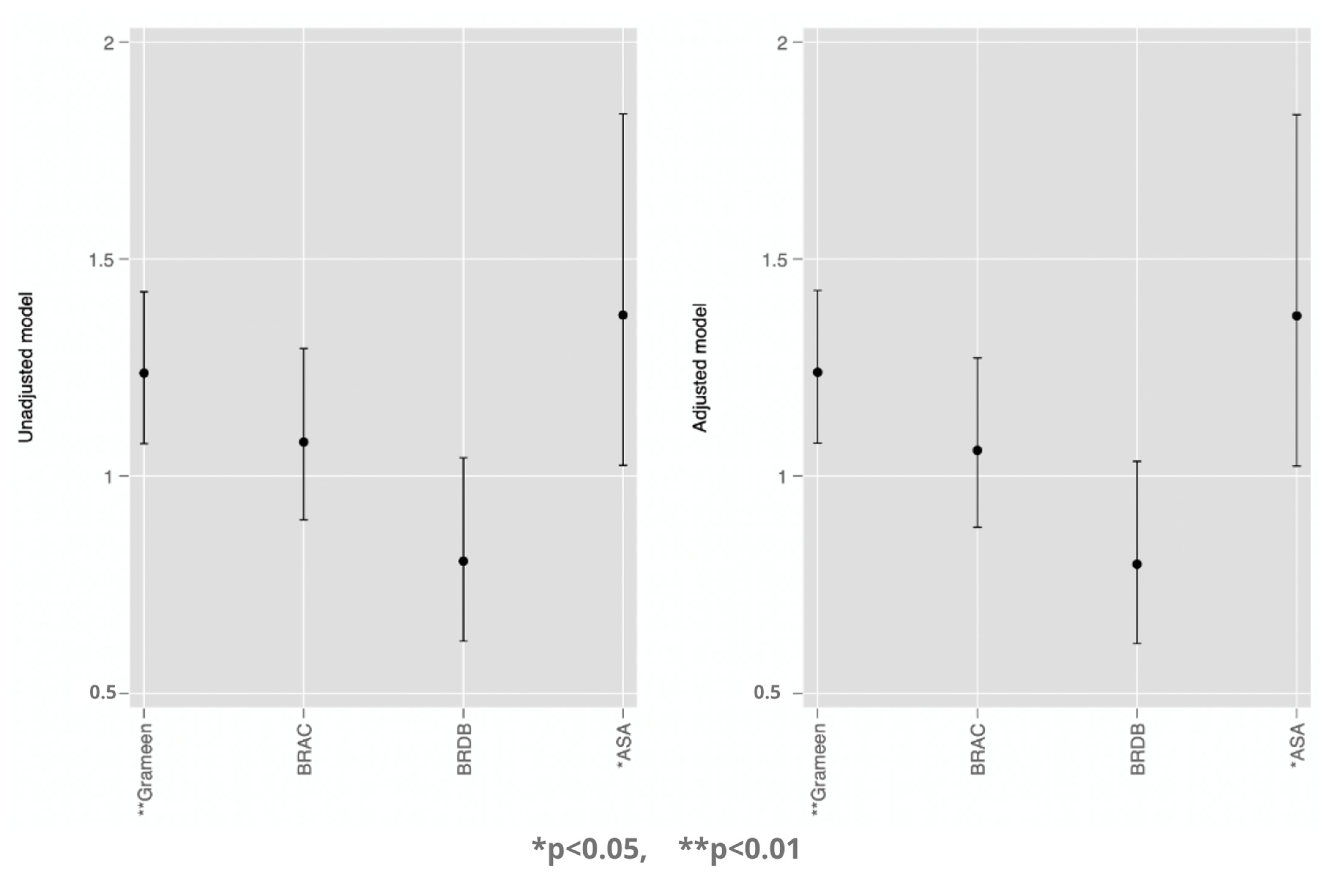
3. Results
3.1. Descriptive Analyses
3.2. Multivariate Analyses
4. Discussion
Strengths and Limitations
5. Conclusions
Author Contributions
Funding
Institutional Review Board Statement
Informed Consent Statement
Data Availability Statement
Conflicts of Interest
Abbreviations
| BRAC | Bangladesh Rural Advancement Committee |
| BRDB | Bangladesh Rural Development Board |
| ASA | Association for Social Advancement |
| BDHS | Bangladesh Demographic and Health Survey |
| EAs | enumeration areas |
| HA | Healthcare autonomy |
| MC | Microcredit |
| SES | Socioeconomic status |
| NIPORT | National Institute of Population Research and Training |
| USAID | US Agency for International Development |
References
- Government Committed to Women’s Empowerment in Bangladesh. Available online: https://borgenproject.org/womens-empowerment-in-bangladesh/ (accessed on 17 November 2018).
- Women Empowerment: Bangladesh Sets Example for the World. Available online: https://www.dhakatribune.com/opinion/special/2018/07/12/women-empowerment-bangladesh-sets-example-for-the-world (accessed on 17 November 2018).
- Rahman, M.M.; Khanam, R.; Nghiem, S. The Effects of Microfinance on Women’s Empowerment: New Evidence from Bangladesh. Int. J. Soc. Econ. 2017, 44, 1745–1757. [Google Scholar] [CrossRef]
- Rahman, S.; Junankar, P.N.; Mallik, G. Factors Influencing Women’s Empowerment on Microcredit Borrowers: A Case Study in Bangladesh. J. Asia Pac. Econ. 2009, 14, 287–303. [Google Scholar] [CrossRef]
- Ferdousi, F. Impact of Microfinance on Sustainable Entrepreneurship Development. Dev. Stud. Res. 2015, 2, 51–63. [Google Scholar] [CrossRef]
- Lorenzetti, L.M.J.; Leatherman, S.; Flax, V.L. Evaluating the Effect of Integrated Microfinance and Health Interventions: An Updated Review of the Evidence. Health Policy Plan 2017, 32, 732–756. [Google Scholar] [CrossRef] [PubMed]
- Molla, A.A.; Chi, C. Who Pays for Healthcare in Bangladesh? An Analysis of Progressivity in Health Systems Financing. Int. J. Equity Health 2017, 16, 167. [Google Scholar] [CrossRef]
- Saha, S. ‘More Health for the Money’: An Analytical Framework for Access to Health Care through Microfinance and Savings Groups. Community Dev. J. 2014, 49, 618–630. [Google Scholar] [CrossRef]
- Saha, S.; Annear, P.L. Overcoming Access Barriers to Health Services through Membership-Based Microfinance Organizations: A Review of Evidence from South Asia. WHO South East Asia J. Public Health 2014, 3, 125–134. [Google Scholar] [CrossRef] [PubMed]
- Adams, A.M.; Nababan, H.Y.; Hanifi, S.M.M.A. Building Social Networks for Maternal and Newborn Health in Poor Urban Settlements: A Cross-Sectional Study in Bangladesh. PLoS ONE 2015, 10, e0123817. [Google Scholar] [CrossRef]
- Ahmed, S.M. Capability Development among the Ultra-Poor in Bangladesh: A Case Study. J. Health Popul. Nutr. 2009, 27, 528–535. [Google Scholar] [CrossRef][Green Version]
- Hadi, A. Management of Acute Respiratory Infections by Community Health Volunteers: Experience of Bangladesh Rural Advancement Committee (BRAC). Bull. World Health Organ. 2003, 81, 183–189. [Google Scholar]
- Hadi, A. Fighting Arsenic at the Grassroots: Experience of BRAC’s Community Awareness Initiative in Bangladesh. Health Policy Plan 2003, 18, 93–100. [Google Scholar] [CrossRef] [PubMed]
- Islam, M.A.; Wakai, S.; Ishikawa, N.; Chowdhury, A.M.R.; Vaughan, J.P. Cost-Effectiveness of Community Health Workers in Tuberculosis Control in Bangladesh. Bull. World Health Organ. 2002, 80, 445–450. [Google Scholar] [PubMed]
- Jolly, S.P.; Rahman, M.; Afsana, K.; Yunus, F.M.; Chowdhury, A.M.R. Evaluation of Maternal Health Service Indicators in Urban Slum of Bangladesh. PLoS ONE 2016, 11, e0162825. [Google Scholar] [CrossRef] [PubMed]
- Mahmud, S.; Shah, N.M.; Becker, S. Measurement of Women’s Empowerment in Rural Bangladesh. World Dev. 2012, 40, 610–619. [Google Scholar] [CrossRef]
- Miah, M.U.; Chowdhury, M.S. The Experience of Microfinance Recipients of Bangladesh Rural Development Board: A Case Study on Integrated Rural Women Development Programme. Bangladesh J. Public Adm. 2019, 27. [Google Scholar] [CrossRef]
- Develtere, P.; Huybrechts, A. The Impact of Microcredit on the Poor in Bangladesh. Altern. Glob. Local Political 2005, 30, 165–189. [Google Scholar] [CrossRef]
- Microcredit “Death Trap” for Bangladesh’s Poor. BBC News. 2010. Available online: https://www.bbc.com/news/business-11664632 (accessed on 17 November 2018).
- Roodman, D. Microcredit Doesn’t End Poverty, despite All the Hype. Washington Post. 2012. Available online: https://www.washingtonpost.com/opinions/microcredit-doesnt-end-poverty-despite-all-the-hype/2012/01/20/gIQAtrfqzR_story.html (accessed on 17 November 2018).
- Ghose, B. Frequency of TV Viewing and Prevalence of Overweight and Obesity among Adult Women in Bangladesh: A Cross-Sectional Study. BMJ Open 2017, 7, e014399. [Google Scholar] [CrossRef]
- NIPORT/Bangladesh. Bangladesh Demographic and Health Survey 2014. 2016. Available online: http://www.niport.gov.bd/ (accessed on 17 November 2018).
- Osamor, P.E.; Grady, C. Women’s Autonomy in Health Care Decision-Making in Developing Countries: A Synthesis of the Literature. Int. J. Womens Health 2016, 8, 191–202. [Google Scholar] [CrossRef]
- Osamor, P.E.; Grady, C. Autonomy and Couples’ Joint Decision-Making in Healthcare. BMC Med. Ethics 2018, 19, 3. [Google Scholar] [CrossRef]
- Bishwajit, G. Household Wealth Status and Overweight and Obesity among Adult Women in Bangladesh and Nepal. Obes. Sci. Pract. 2017, 3, 185–192. [Google Scholar] [CrossRef]
- Alemayehu, M.; Meskele, M. Health Care Decision Making Autonomy of Women from Rural Districts of Southern Ethiopia: A Community Based Cross-Sectional Study. Int. J. Womens Health 2017, 9, 213–221. [Google Scholar] [CrossRef] [PubMed]
- Dutta, C.B.; Haider, M.Z.; Das, D.K. Dynamics of Economic Growth, Investment and Trade Openness: Evidence from Bangladesh. S. Asian J. Macroecon. Public Financ. 2017, 6, 82–104. [Google Scholar] [CrossRef]
- Mainuddin, A.; Ara Begum, H.; Rawal, L.B.; Islam, A.; Shariful Islam, S. Women Empowerment and Its Relation with Health Seeking Behavior in Bangladesh. J. Fam. Reprod Health 2015, 9, 65–73. [Google Scholar]
- Nazneen, S.; Hossain, N.; Sultan, M. National Discourses on Women’s Empowerment in Bangladesh: Continuities and Change. IDS Work. Pap. 2011, 2011, 1–41. [Google Scholar] [CrossRef]
- Bernasek, A. Banking on Social Change: Grameen Bank Lending to Women. Int. J. Politics Cult. Soc. 2003, 16, 369–385. [Google Scholar] [CrossRef]
- Morshed, A. Building Empowerment: Female Grameen Entrepreneurs in Rural Bangladesh. S. Asia J. S. Asian Stud. 2014, 37, 605–624. [Google Scholar] [CrossRef]
- Balasubramanian, S. Why Micro-Credit May Leave Women Worse Off: Non-Cooperative Bargaining and the Marriage Game in South Asia. J. Dev. Stud. 2013, 49, 609–623. [Google Scholar] [CrossRef]
- Mukherjee, A.K.; Kundu, A. Microcredit and Women’s Agency: A Comparative Perspective across Socioreligious Communities in West Bengal, India. Gend. Technol. Dev. 2012, 16, 71–94. [Google Scholar] [CrossRef]
- Garikipati, S. The Impact of Lending to Women on Household Vulnerability and Women’s Empowerment: Evidence from India. World Dev. 2008, 36, 2620–2642. [Google Scholar] [CrossRef]



| Total | 2004 | 2014 | p-Value | |
|---|---|---|---|---|
| 29,163 (100.0) | 11,300 (38.7) | 17,863 (61.3) | ||
| Final Say on Own Healthcare | ||||
| Someone Else | 2484 (8.8) | 1482 (13.1) | 1002 (6.0) | |
| Husband/Partner Alone | 10,042 (35.7) | 4859 (43.0) | 5183 (30.8) | |
| Respondent and Husband/Partner | 10,623 (37.8) | 2509 (22.2) | 8114 (48.2) | |
| Respondent Alone | 4977 (17.7) | 2447 (21.7) | 2530 (15.0) | <0.001 |
| Grameen membership | ||||
| No | 25,121 (86.1) | 9169 (81.1) | 15,952 (89.3) | |
| Yes | 4041 (13.9) | 2130 (18.9) | 1911 (10.7) | <0.001 |
| BRAC membership | ||||
| No | 26,905 (92.3) | 10,455 (92.6) | 16,450 (92.1) | |
| Yes | 2253 (7.7) | 840 (7.4) | 1413 (7.9) | 0.11 |
| BRDB membership | ||||
| No | 26,736 (95.4) | 11,191 (99.1) | 15,545 (93.0) | |
| Yes | 1280 (4.6) | 106 (0.9) | 1174 (7.0) | <0.001 |
| ASA membership | ||||
| No | 28,358 (97.2) | 10,500 (92.9) | 17,858 (100.0) | |
| Yes | 805 (2.8) | 800 (7.1) | 5 (0.0) | <0.001 |
| Age Groups | ||||
| 15–19 | 3586 (12.3) | 1563 (13.8) | 2023 (11.3) | |
| 20–24 | 5363 (18.4) | 2202 (19.5) | 3161 (17.7) | |
| 25–29 | 5355 (18.4) | 2012 (17.8) | 3343 (18.7) | |
| 30–34 | 4795 (16.4) | 1783 (15.8) | 3012 (16.9) | |
| 35–39 | 3820 (13.1) | 1480 (13.1) | 2340 (13.1) | |
| 40–44 | 3355 (11.5) | 1185 (10.5) | 2170 (12.1) | |
| 45–49 | 2889 (9.9) | 1075 (9.5) | 1814 (10.2) | <0.001 |
| Type Of locality | ||||
| Urban | 10,026 (34.4) | 3859 (34.2) | 6167 (34.5) | |
| Rural | 19,137 (65.6) | 7441 (65.8) | 11,696 (65.5) | 0.08 |
| Highest Educational Level | ||||
| No Education | 8608 (29.5) | 4402 (39.0) | 4206 (23.5) | |
| Primary | 8549 (29.3) | 3323 (29.4) | 5226 (29.3) | |
| Secondary | 9606 (32.9) | 2884 (25.5) | 6722 (37.6) | |
| Higher | 2400 (8.2) | 691 (6.1) | 1709 (9.6) | <0.001 |
| Occupation | ||||
| Unemployed | 20,610 (70.7) | 8792 (77.8) | 11,818 (66.2) | |
| Blue Collar | 5657 (19.4) | 2006 (17.8) | 3651 (20.4) | |
| White Collar | 2896 (9.9) | 502 (4.4) | 2394 (13.4) | <0.001 |
| Sex of Household Head | ||||
| Male | 26,050 (89.3) | 10,250 (90.7) | 15,800 (88.5) | |
| Female | 3113 (10.7) | 1050 (9.3) | 2063 (11.5) | <0.001 |
| Wealth Index | ||||
| Lowest | 5268 (18.1) | 2017 (17.8) | 3251 (18.2) | |
| Lower | 5389 (18.5) | 2029 (18.0) | 3360 (18.8) | |
| Middle | 5730 (19.6) | 2109 (18.7) | 3621 (20.3) | |
| Higher | 6018 (20.6) | 2249 (19.9) | 3769 (21.1) | |
| Highest | 6758 (23.2) | 2896 (25.6) | 3862 (21.6) | <0.001 |
| Full Sample | Male-Headed Household | Female-Headed Household | |
|---|---|---|---|
| Grameen bank membership (No) | ref | ref | ref |
| Yes | 1.16 *** (1.09, 1.23) | 1.18 *** (1.10, 1.25) | 1.44 ** (1.13, 1.85) |
| BRAC membership (No) | ref | ref | ref |
| Yes | 1.18 ** (1.06, 1.30) | 1.33 *** (1.20, 1.47) | 0.60 (0.35, 1.02) |
| ASA membership (No) | ref | ref | ref |
| Yes | 0.93 (0.82, 1.07) | 0.95 (0.83, 1.09) | 1.19 (0.68, 2.10) |
| BRDB membership (No) | ref | ref | ref |
| Yes | 1.13 ** (1.04, 1.22) | 1.18 *** (1.09, 1.29) | 1.11 (0.79, 1.56) |
Publisher’s Note: MDPI stays neutral with regard to jurisdictional claims in published maps and institutional affiliations. |
© 2022 by the authors. Licensee MDPI, Basel, Switzerland. This article is an open access article distributed under the terms and conditions of the Creative Commons Attribution (CC BY) license (https://creativecommons.org/licenses/by/4.0/).
Share and Cite
Ghose, B.; Etowa, J.; Ghose, S. Microcredit Membership and Self-Reported Healthcare Autonomy among Bangladeshi Women. Women 2022, 2, 254-263. https://doi.org/10.3390/women2030024
Ghose B, Etowa J, Ghose S. Microcredit Membership and Self-Reported Healthcare Autonomy among Bangladeshi Women. Women. 2022; 2(3):254-263. https://doi.org/10.3390/women2030024
Chicago/Turabian StyleGhose, Bishwajit, Josephine Etowa, and Sharmistha Ghose. 2022. "Microcredit Membership and Self-Reported Healthcare Autonomy among Bangladeshi Women" Women 2, no. 3: 254-263. https://doi.org/10.3390/women2030024
APA StyleGhose, B., Etowa, J., & Ghose, S. (2022). Microcredit Membership and Self-Reported Healthcare Autonomy among Bangladeshi Women. Women, 2(3), 254-263. https://doi.org/10.3390/women2030024

