Chemically Modified Starch Films with Menthol or Sulfobetaine as Antimicrobial Agents for Active Packaging Applications
Abstract
1. Introduction
2. Materials and Methods
2.1. Material
2.2. Starch Functionalization
2.3. Film Preparation
2.4. Starch Characterization & Equipment
2.5. Film Characterization & Equipment
2.6. Statistical Analysis
3. Results
3.1. Functionalized-Starch Characterization
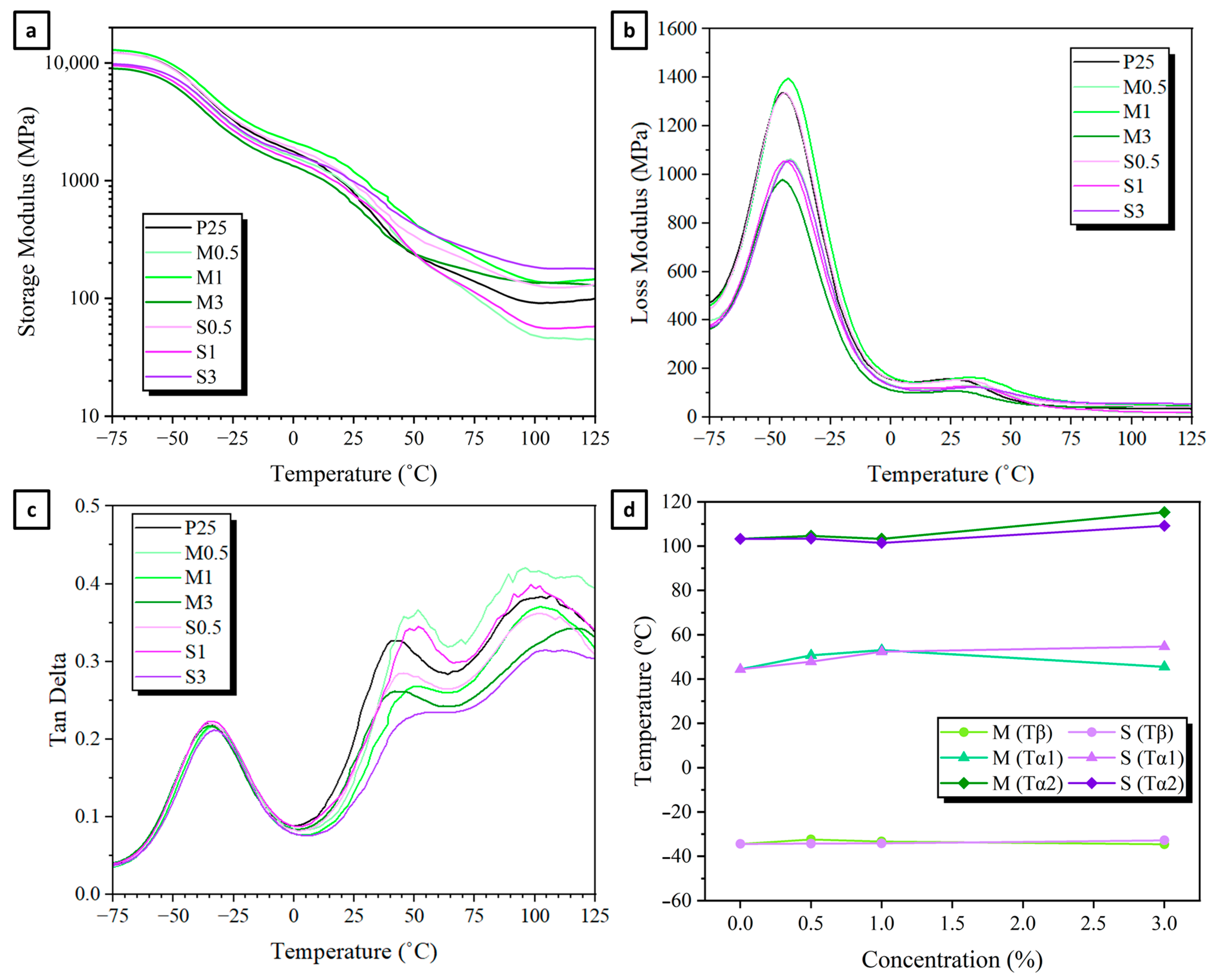
3.2. Film Characterization
4. Discussion
5. Conclusions
Supplementary Materials
Author Contributions
Funding
Institutional Review Board Statement
Data Availability Statement
Conflicts of Interest
Abbreviations
| ANOVA | Analysis of variance |
| CFU | Colony-forming units |
| DMTA | Dynamic mechanical thermal analysis |
| DS | Degree of substitution |
| DSC | Differential Scanning Calorimetry |
| Ea | Apparent activation energy |
| EtOH | Ethanol |
| E. Coli | Escherichia coli |
| FESEM | Field emission scanning electron microscope |
| FTIR | Fourier-transform infrared spectroscopy |
| HMDI | Hexamethyl diisocyanate |
| M0.5/M1/M3 | Films reinforced with menthol-functionalized starch |
| Methyl-THF | 2-Methyltetrahydrofuran |
| NMR | Nuclear magnetic resonance |
| P25 | Control film |
| S0.5/S1/S3 | Films reinforced with sulfobetaine-functionalized starch |
| S. Aureus | Staphylococcus Aureus |
| SM | Functionalized starch with menthol |
| SS | Functionalized starch with sulfobetaine |
| THF | Tetrahydrofuran |
| TGA | Thermogravimetric analysis |
| TPS | Thermoplastic starch |
| WI | Whiteness index |
| WVP | Water vapor permeability |
| WVTR | Water vapor transmission rate |
| YI | Yellow index |
References
- Villar, M.A.; Barobsa, S.E.; García, M.A.; Castillo, L.A.; López, O.V. Starch-Based Materials in Food Packaging: Processing, Characterization and Applications; Academic Press: Cambridge, MA, USA, 2017; Volume 4, ISBN 978/0/12/809439/6/0128094397. [Google Scholar]
- Llanos, J.H.R.; Tadini, C.C. Preparation and Characterization of Bio-Nanocomposite Films Based on Cassava Starch or Chitosan, Reinforced with Montmorillonite or Bamboo Nanofibers. Int. J. Biol. Macromol. 2018, 107, 371–382. [Google Scholar] [CrossRef]
- Garcia, M.A.V.T.; Garcia, C.F.; Faraco, A.A.G. Pharmaceutical and Biomedical Applications of Native and Modified Starch: A Review. Starch-Stärke 2020, 72, 1900270. [Google Scholar] [CrossRef]
- Sandhu, K.S.; Sharma, L.; Kaur, M. Effect of Granule Size on Physicochemical, Morphological, Thermal and Pasting Properties of Native and 2-Octenyl-1-Ylsuccinylated Potato Starch Prepared by Dry Heating under Different PH Conditions. LWT 2015, 61, 224–230. [Google Scholar] [CrossRef]
- Wilpiszewska, K.; Spychaj, T. Chemical Modification of Starch with Hexamethylene Diisocyanate Derivatives. Carbohydr. Polym. 2007, 70, 334–340. [Google Scholar] [CrossRef]
- Castro, L.M.G.; Alexandre, E.M.C.; Saraiva, J.A.; Pintado, M. Impact of High Pressure on Starch Properties: A Review. Food Hydrocoll. 2020, 106, 105877. [Google Scholar] [CrossRef]
- Cao, Y.; Ding, S. Starch Functionalization and Coupling Reaction. J. Food Technol. Food Chem. 2022, 4, 1–24. [Google Scholar]
- Valodkar, M.; Thakore, S. Isocyanate Crosslinked Reactive Starch Nanoparticles for Thermo-Responsive Conducting Applications. Carbohydr. Res. 2010, 345, 2354–2360. [Google Scholar] [CrossRef]
- Okoli, C.P.; Adewuyi, G.O.; Zhang, Q.; Zhu, G.; Wang, C.; Guo, Q. Aqueous Scavenging of Polycyclic Aromatic Hydrocarbons Using Epichlorohydrin, 1,6-Hexamethylene Diisocyanate and 4,4-Methylene Diphenyl Diisocyanate Modified Starch: Pollution Remediation Approach. Arab. J. Chem. 2019, 12, 2760–2773. [Google Scholar] [CrossRef]
- Tabaght, F.E.; El Idrissi, A.; Aqil, M.; Benahemad, A.; El Barkany, S.; Bellaouchi, R.; Asehraou, A. Synthesis and Characterization of (Thio)Carbamates Based on Cellulose and Cellulose Acetate: Biodegradation and Solubility Studies. Cellul. Chem. Technol. 2020, 54, 207–223. [Google Scholar] [CrossRef]
- Schwach, E.; Six, J.L.; Avérous, L. Biodegradable Blends Based on Starch and Poly(Lactic Acid): Comparison of Different Strategies and Estimate of Compatibilization. J. Polym. Environ. 2008, 16, 286–297. [Google Scholar] [CrossRef]
- Abualhasan, M.N.; Zaid, A.N.; Jaradat, N.; Mousa, A. GC Method Validation for the Analysis of Menthol in Suppository Pharmaceutical Dosage Form. Int. J. Anal. Chem. 2017, 2017, 1728414. [Google Scholar] [CrossRef]
- Sun, Y.; Fan, S.; Liang, R.; Ni, X.; Du, Y.; Wang, J.; Yang, C. Design and Characterization of Starch/Solid Lipids Hybrid Microcapsules and Their Thermal Stability with Menthol. Food Hydrocoll. 2021, 116, 106631. [Google Scholar] [CrossRef]
- Srivastava, V.; Singh, S.; Das, D. Sugarcane Bagasse Fiber Reinforced Active Starch Biocomposite Films with Menthol Encapsulated Powder for Fresh-Cut Fruit Packaging. Food Bioprocess Technol. 2025, 18, 6191–6212. [Google Scholar] [CrossRef]
- Dong, D.; Hao, T.; Wang, C.; Zhang, Y.; Qin, Z.; Yang, B.; Fang, W.; Ye, L.; Yao, F.; Li, J. Zwitterionic Starch-Based Hydrogel for the Expansion and “Stemness” Maintenance of Brown Adipose Derived Stem Cells. Biomaterials 2018, 157, 149–160. [Google Scholar] [CrossRef]
- Chu, X.; Zhang, M.; Zhou, N.; Wu, F.; Sun, B.; Shen, J. Synthesis and Characterization of a Novel Antibacterial Material Containing Poly(Sulfobetaine) Using Reverse Atom Transfer Radical Polymerization. RSC Adv. 2018, 8, 33000–33009. [Google Scholar] [CrossRef]
- Yin, M.; Wang, Y.; Ren, X.; Huang, T.S. Development of a Biodegradable, Cytocompatible, Antibacterial, and Biofilm-Controlling Chitosan Sulfobetaine Derivative Film as a Biological Material. Engineering 2024, 35, 95–103. [Google Scholar] [CrossRef]
- Zhao, Z.; Ding, R.; Wang, Y.; Yuan, R.; Zhang, H.; Li, T.; Zheng, W.; Chen, E.; Wang, A.; Shi, Y. Sulfobetaine Modification of Poly (D, L-Lactide-Co-Glycolic Acid) Nanoparticles Enhances Mucus Permeability and Improves Bioavailability of Orally Delivered Liraglutide. J. Drug Deliv. Sci. Technol. 2024, 93, 105437. [Google Scholar] [CrossRef]
- Englezou, G.; Kortsen, K.; Pacheco, A.A.C.; Cavanagh, R.; Lentz, J.C.; Krumins, E.; Sanders-Velez, C.; Howdle, S.M.; Nedoma, A.J.; Taresco, V. 2-Methyltetrahydrofuran (2-MeTHF) as a Versatile Green Solvent for the Synthesis of Amphiphilic Copolymers via ROP, FRP, and RAFT Tandem Polymerizations. J. Polym. Sci. 2020, 58, 1571–1581. [Google Scholar] [CrossRef]
- Biyani, M.V.; Weder, C.; Foster, E.J. Photoswitchable Nanocomposites Made from Coumarin-Functionalized Cellulose Nanocrystals. Polym. Chem. 2014, 5, 5501–5508. [Google Scholar] [CrossRef]
- Karbhari, V.M.; Wang, Q. Multi-Frequency Dynamic Mechanical Thermal Analysis of Moisture Uptake in E-Glass/Vinylester Composites. Compos. Part B Eng. 2004, 35, 299–304. [Google Scholar] [CrossRef]
- ASTM E96-00; Standard Test Methods for Water Vapor Transmission of Materials. ASTM: West Conshohocken, PA, USA, 2002.
- Aragón-Gutiérrez, A.; Rosa, E.; Gallur, M.; López, D.; Hernández-Muñoz, P.; Gavara, R. Melt-Processed Bioactive Evoh Films Incorporated with Ferulic Acid. Polymers 2021, 13, 68. [Google Scholar] [CrossRef]
- ISO 20200:2015; Plastics—Determination of the Degree of Disintegration of Plastic Materials under Simulated Composting Conditions in a Laboratory-Scale Test. ISO. International Organization for Standardization: Geneva, Switzerland, 2015; pp. 1–8.
- Basiak, E.; Lenart, A.; Debeaufort, F. How Glycerol and Water Contents Affect the Structural and Functional Properties of Starch-Based Edible Films. Polymers 2018, 10, 412. [Google Scholar] [CrossRef] [PubMed]
- Ferraz, C.A.; Fontes, R.L.S.; Fontes-Sant’Ana, G.C.; Calado, V.; López, E.O.; Rocha-Leão, M.H.M. Extraction, Modification, and Chemical, Thermal and Morphological Characterization of Starch From the Agro-Industrial Residue of Mango (Mangifera Indica L) Var. Ubá. Starch/Staerke 2019, 71, 1800023. [Google Scholar] [CrossRef]
- Choque-Quispe, D.; Obregón Gonzales, F.H.; Carranza-Oropeza, M.V.; Solano-Reynoso, A.M.; Ligarda-Samanez, C.A.; Palomino-Ríncón, W.; Choque-Quispe, K.; Torres-Calla, M.J. Physicochemical and Technofunctional Properties of High Andean Native Potato Starch. J. Agric. Food Res. 2024, 15, 100955. [Google Scholar] [CrossRef]
- Estevez-Areco, S.; Guz, L.; Famá, L.; Candal, R.; Goyanes, S. Bioactive Starch Nanocomposite Films with Antioxidant Activity and Enhanced Mechanical Properties Obtained by Extrusion Followed by Thermo-Compression. Food Hydrocoll. 2019, 96, 518–528. [Google Scholar] [CrossRef]
- Charles, A.L.; Motsa, N.; Abdillah, A.A. A Comprehensive Characterization of Biodegradable Edible Films Based on Potato Peel Starch Plasticized with Glycerol. Polymers 2022, 14, 3462. [Google Scholar] [CrossRef]
- Shi, R.; Liu, Q.; Ding, T.; Han, Y.; Zhang, L.; Chen, D.; Tian, W. Ageing of Soft Thermoplastic Starch with High Glycerol Content. J. Appl. Polym. Sci. 2007, 103, 574–586. [Google Scholar] [CrossRef]
- Averous, L.; Boquillon, N. Biocomposites Based on Plasticized Starch: Thermal and Mechanical Behaviours. Carbohydr. Polym. 2004, 56, 111–122. [Google Scholar] [CrossRef]
- Wang, N.; Yu, J.; Han, C. Influence of Citric Acid on the Properties of Glycerol-Plasticised Cornstarch Extrusion Blends. Polym. Polym. Compos. 2007, 15, 545–552. [Google Scholar] [CrossRef]
- Baran, A.; Vrábel, P.; Kovaľaková, M.; Hutníková, M.; Fričová, O.; Olčák, D. Effects of Sorbitol and Formamide Plasticizers on Molecular Motion in Corn Starch Studied Using NMR and DMTA. J. Appl. Polym. Sci. 2020, 137, 48964. [Google Scholar] [CrossRef]
- Pulido Díaz, A.; Lourdin, D.; Della Valle, G.; Fernández Quintero, A.; Ceballos, H.; Tran, T.; Dufour, D. Thermomechanical Characterization of an Amylose-Free Starch Extracted from Cassava (Manihot Esculenta, Crantz). Carbohydr. Polym. 2017, 157, 1777–1784. [Google Scholar] [CrossRef]
- Saparová, S.; Ondriš, L.; Kovaľaková, M.; Fričová, O.; Peidayesh, H.; Baran, A.; Hutníková, M.; Chodák, I. Effects of Glycerol Content on Structure and Molecular Motion in Thermoplastic Starch-Based Nanocomposites during Long Storage. Int. J. Biol. Macromol. 2023, 253, 126911. [Google Scholar] [CrossRef] [PubMed]
- Rana, L.; Kouka, S.; Gajdosova, V.; Strachota, B.; Konefał, M.; Pokorny, V.; Pavlova, E.; Stary, Z.; Lukes, J.; Patocka, M.; et al. Thermoplastic Starch with Maltodextrin: Preparation, Morphology, Rheology, and Mechanical Properties. Materials 2024, 17, 5474. [Google Scholar] [CrossRef]
- Sreekumar, P.A.; Gopalakrishnan, P.; Leblanc, N.; Saiter, J.M. Effect of Glycerol and Short Sisal Fibers on the Viscoelastic Behavior of Wheat Flour Based Thermoplastic. Compos. Part A Appl. Sci. Manuf. 2010, 41, 991–996. [Google Scholar] [CrossRef]
- JIS Z 2801 2000; Antimicrobial Products—Test for Antimicrobial Activity and Efficac. Japanese Standards Association: Tokyo, Japan, 2000.
- Zhou, X.; Cegelski, L. Nutrient-Dependent Structural Changes in S. Aureus Peptidoglycan Revealed by Solid-State NMR Spectroscopy. Biochemistry 2012, 51, 8143–8153. [Google Scholar] [CrossRef]
- Trombetta, D.; Castelli, F.; Sarpietro, M.G.; Venuti, V.; Cristani, M.; Daniele, C.; Saija, A.; Mazzanti, G.; Bisignano, G. Mechanisms of Antibacterial Action of Three Monoterpenes. Antimicrob. Agents Chemother. 2005, 49, 2474–2478. [Google Scholar] [CrossRef] [PubMed]
- Lo Schiavo, S.; Gulino, A.; Fragalà, M.E.; Mineo, P.; Nicosia, A.; Ali, R.H.; Calorenni, P.; Ferlazzo, A.; Nicolò, M.S.; De Leo, F.; et al. A Sulfobetaine Containing-Polymethylmethacrylate Surface Coating as an Excellent Antifouling Agent against Chlorella Sp. Prog. Org. Coatings 2025, 199, 108940. [Google Scholar] [CrossRef]
- Xie, Z.; Zhang, P.; Zhang, Z.; Chen, C.; Wang, X. The Choice of Antimicrobial Polymers: Hydrophilic or Hydrophobic? Chinese Chem. Lett. 2024, 35, 109768. [Google Scholar] [CrossRef]












| T10% (°C) | Tmax (°C) | Residue at 600 °C (%) | |
|---|---|---|---|
| P25 | 183.1 | 307.9 | 8.9 |
| M0.5 | 189.4 | 312.2 | 10.2 |
| M1 | 225.4 | 310.9 | 4.1 |
| M3 | 214.5 | 312.1 | 8.9 |
| S0.5 | 220.2 | 311.7 | 6.7 |
| S1 | 201.1 | 307.7 | 5.8 |
| S3 | 203.9 | 308.5 | 9.4 |
| E (MPa) | σ (MPa) | ε at Break (%) | WVP (g m/d m2 KPa) | |||||
|---|---|---|---|---|---|---|---|---|
| P25 | 90.6 ± 12.3 | ab A | 4.3 ± 0.5 | ab A | 89.3 ± 7.0 | ab A | 0.115 | a A |
| M0.5 | 84.7 ± 9.1 | b | 3.8 ± 0.2 | a | 96.3 ± 6.1 | a | 0.119 | a |
| M1 | 112.2 ± 12.0 | a | 4.6 ± 0.4 | b | 72.7 ± 10.0 | c | 0.113 | a |
| M3 | 112.6 ± 11.1 | a | 4.6 ± 0.2 | b | 75.0 ± 8.0 | bc | 0.092 | b |
| F value | 0.17724 | 0.81409 | 0.55090 | 4.08862 | ||||
| Prob > F | 0.91004 | 0.50582 | 0.65526 | 0.04938 | ||||
| S0.5 | 104.9 ± 27.9 | A | 4.4 ± 0.3 | A | 84.8 ± 12.5 | AB | 0.106 | A |
| S1 | 138.2 ± 17.9 | A | 5.7 ± 0.5 | B | 66.4 ± 8.0 | BC | 0.107 | A |
| S3 | 225.3 ± 39.5 | B | 7.7 ± 0.9 | C | 51.6 ± 12.9 | C | 0.082 | B |
| F value | 2.01997 | 1.52151 | 0.24857 | 1.46584 | ||||
| Prob > F | 0.15997 | 0.24721 | 0.86116 | 0.30394 | ||||
Disclaimer/Publisher’s Note: The statements, opinions and data contained in all publications are solely those of the individual author(s) and contributor(s) and not of MDPI and/or the editor(s). MDPI and/or the editor(s) disclaim responsibility for any injury to people or property resulting from any ideas, methods, instructions or products referred to in the content. |
© 2025 by the authors. Licensee MDPI, Basel, Switzerland. This article is an open access article distributed under the terms and conditions of the Creative Commons Attribution (CC BY) license (https://creativecommons.org/licenses/by/4.0/).
Share and Cite
Muñoz-Gimena, P.F.; Prado, A.d.; Aragón-Gutiérrez, A.; Peponi, L.; López, D. Chemically Modified Starch Films with Menthol or Sulfobetaine as Antimicrobial Agents for Active Packaging Applications. Polysaccharides 2025, 6, 103. https://doi.org/10.3390/polysaccharides6040103
Muñoz-Gimena PF, Prado Ad, Aragón-Gutiérrez A, Peponi L, López D. Chemically Modified Starch Films with Menthol or Sulfobetaine as Antimicrobial Agents for Active Packaging Applications. Polysaccharides. 2025; 6(4):103. https://doi.org/10.3390/polysaccharides6040103
Chicago/Turabian StyleMuñoz-Gimena, Pedro Francisco, Anselmo del Prado, Alejandro Aragón-Gutiérrez, Laura Peponi, and Daniel López. 2025. "Chemically Modified Starch Films with Menthol or Sulfobetaine as Antimicrobial Agents for Active Packaging Applications" Polysaccharides 6, no. 4: 103. https://doi.org/10.3390/polysaccharides6040103
APA StyleMuñoz-Gimena, P. F., Prado, A. d., Aragón-Gutiérrez, A., Peponi, L., & López, D. (2025). Chemically Modified Starch Films with Menthol or Sulfobetaine as Antimicrobial Agents for Active Packaging Applications. Polysaccharides, 6(4), 103. https://doi.org/10.3390/polysaccharides6040103

