Next Article in Journal
Tuning the Properties of Redox-Responsive Chitosan Networks Through Diacid Chain Length and EDC–Carboxylic Acid Molar Ratio
Previous Article in Journal
Polyelectrolyte Complex-Based Chitosan/Carboxymethylcellulose Powdered Microgels Loaded with Eco-Friendly Silver Nanoparticles as Innovative Biomaterials for Hemostasis Treatments
Previous Article in Special Issue
In Situ Silanization of Ligno-Cellulosic Microfibers Derived from Industrial Waste to Enhance Mechanical Properties of Natural Rubber Compounds
 
 
Font Type:
Arial Georgia Verdana
Font Size:
Aa Aa Aa
Line Spacing:
Column Width:
Background:
Article

Acetylated Xylan as Renewable Feedstock for Biodegradable Food Packaging: Synthesis, Structural Characterization and Performance Evaluation

by
Petronela Nechita
1,*,
Mirela Iana-Roman
1 and
Silviu-Marian Năstac
2
1
Department of Environmental, Applied Engineering and Agriculture, Dunărea de Jos University of Galați, Călărașilor Str., 29, 810017 Brăila, Romania
2
Research Centre for Mechanics of Machines and Technological Equipment—MECMET, Dunărea de Jos University of Galați, Călărașilor Str., 29, 810017 Brăila, Romania
*
Author to whom correspondence should be addressed.
Polysaccharides 2025, 6(3), 85; https://doi.org/10.3390/polysaccharides6030085
Submission received: 4 July 2025 / Revised: 6 August 2025 / Accepted: 18 September 2025 / Published: 19 September 2025
(This article belongs to the Special Issue Recent Progress on Lignocellulosic-Based Materials)

Abstract

This study investigates the potential of acetylated xylan as a functional component in coatings for biodegradable paper-based food packaging. Acetylated xylan was synthesized in the laboratory via the reaction of native beechwood xylan with acetic anhydride. Multilayer coatings composed of acetylated xylan, chitosan, and zinc oxide nanoparticles (ZnO NPs) were applied to paper substrates as single and double layers (approximately 5 g/m2) to enhance their barrier and antimicrobial properties. The coated papers were evaluated for mechanical properties, resistance to water, oil, and grease, antimicrobial activity against pathogenic bacteria, and biodegradability in soil. The combination of xylan derivatives with chitosan significantly improved surface hydrophobicity (contact angle ~87°) and achieved complete inhibition (100%) of Staphylococcus aureus and Salmonella spp., without compromising biodegradability. Incorporation of ZnO NPs further enhanced both the barrier properties and antimicrobial efficacy, particularly against S. aureus. A high biodegradation rate (~92%) was recorded after 42 days of soil burial. These results demonstrate the suitability of xylan-based multilayer coatings as sustainable alternatives for food packaging applications.

1. Introduction

Against the backdrop of growing concern for environmental protection and the steadily increasing consumer demand for sustainable food packaging solutions, the eco-friendly food packaging industry has experienced significant development in recent years. Current trends in food packaging materials are guided by the principles of sustainability, with a strong emphasis on the use and development of packaging derived from renewable, recyclable, biodegradable, and/or compostable resources [1]. The growing interest in eco-friendly alternatives has driven the packaging industry to explore innovative solutions. In this context, paper stands out as an ideal packaging material, offering multiple advantages over synthetic materials, such as lower production costs from renewable sources, superior recyclability, biodegradability, and compostability [2].
Due to their numerous advantages: availability, renewability, versatility, non-toxicity, biocompatibility, and biodegradability, the utilization of biopolymers, either as standalone materials or as coating layers for paper, in the production of food packaging has attracted significant interest [3].
Polysaccharides are among the most promising biopolymers for replacing petroleum-based polymers currently employed in the coating of food packaging paper. Due to their excellent film-forming ability and strong affinity for cellulosic substrates, they significantly enhance the barrier properties of paper against gases and volatile compounds, while also improving its mechanical strength. In addition, polysaccharides are biodegradable, non-toxic, and can act as functional matrices for incorporating bioactive compounds, thus conferring antimicrobial and/or antioxidant properties to the packaging material.
From a chemical perspective, polysaccharides are carbohydrate polymers composed of hundreds or even thousands of monosaccharide units interconnected through glycosidic bonds, which result from the condensation of monosaccharide residues via hemiacetal or hemiketal linkages. These biopolymers can originate from a wide range of sources, including higher photosynthetic plants, marine biomass, bacteria, and fungi [4].
Hemicelluloses represent the second most abundant class of plant polysaccharides after cellulose and are essential components of the cell walls in lignocellulosic biomass (Figure 1). They account for approximately 20–35% of the biomass composition, with the exact proportion varying depending on the plant source.
The use of hemicelluloses in industrial applications is limited by their highly hydrophilic nature, resulting from the extensive presence of hydroxyl groups in their structure. However, this same feature enables hemicelluloses to undergo various chemical modifications, such as oxidation, reduction, esterification (e.g., acetylation, quaternization), and etherification (e.g., carboxymethylation, alkylation) [5,6]. These modifications introduce hydrophobic groups into the hemicellulose structure, thereby enhancing their thermal stability, solubility in organic solvents, water resistance, and rheological properties, properties that are essential for their use in coating layers for packaging paper.
Moreover, the hydrophilic character of hemicelluloses can be adjusted through ionic interactions with other cationic, amphoteric, or amphiphilic biopolymers, such as chitosan or hemicellulose derivatives, forming complex polyelectrolyte systems with improved functional properties. Xylans represent the main hemicellulose component in hardwood, accounting for approximately 30% of the woody cell wall. They are also found in various annual plants, such as cotton and sugarcane, as well as in several agricultural by-products, including wheat and sorghum straw, corn stalks, and cobs. Additionally, xylans are present in secondary products derived from cellulose manufacturing, as well as in certain marine algae.
In 2021, the global xylan market was valued at USD 1.57 billion, with forecasts indicating an annual growth rate of approximately 6% between 2022 and 2029, reaching nearly USD 2.50 billion by the end of the forecast period [7]. In the packaging industry, xylan is used as an additive in the production of plastic materials to enhance their mechanical strength and biodegradability [8]. In the food packaging industry, xylan can be used in the development of edible films and coatings or as a component in coating formulations for food packaging paper, with the aim of enhancing barrier properties. The scientific literature indicates that most xylan applications in packaging focus on the production of edible films, while fewer studies address its use in paper-based food packaging. Research has shown that xylan-based films exhibit good oxygen and fat barrier properties, moderate antifungal activity, and a mild antibacterial effect against certain pathogenic bacteria (E. coli, S. aureus) [9,10]. However, films made from native xylan are brittle, moisture-sensitive, and exhibit low mechanical strength, which limits their use in the native form [5]. The limitations of using xylan on a large scale for food packaging production are related, on one hand, to the availability of xylan hemicellulose in the raw materials market, and on the other hand, to the technical characteristics of native xylan hemicellulose in relation to the required properties of packaging materials intended for direct contact with food products.
The main limitation imposed by the technical characteristics of xylan-type hemicellulose lies in the fact that, in its native state, it cannot be used in high proportions for food packaging manufacturing due to its strongly hydrophilic nature, which results from the large number of hydroxyl groups present along the linear backbone and in the side chains of its structure [11]. To reduce its hydrophilicity and improve the functional properties required for food packaging, structural modifications through various chemical reactions (etherification, esterification, oxidation, reductive amination, graft copolymerization, cross-linking, enzymatic modifications) are necessary [12]. Xylan derivatives, obtained through such chemical modifications, exhibit enhanced hydrophobicity, mechanical strength, and barrier properties, making them more suitable for the development of food packaging films and coatings. Additionally, these biopolymers can form stable, flexible, and biodegradable films that better resist moisture and improve the shelf life of packaged food products. Consequently, research efforts have increasingly focused on optimizing the modification processes to tailor xylan-based materials for specific packaging applications while maintaining their environmental sustainability [13].
Chitosan is a cationic polymer that, besides amino functional groups (-NH2), contains numerous hydroxyl groups (-OH) capable of forming hydrogen bonds, allowing structural modification through various types of chemical reactions. Chitosan exhibits excellent film-forming ability, is biocompatible, non-toxic, biodegradable, and possesses antimicrobial properties effective against a wide range of microorganisms (bacteria, fungi). Therefore, its use as a coating layer on the surface of food packaging papers has been extensively investigated to develop coatings with gas and fat barrier properties, antimicrobial activity, as well as to produce smart packaging papers [14,15].
Chitosan is an important polymer for the food packaging industry due to its antimicrobial properties and film-forming abilities [16]. Chitosan films exhibit selective gas permeability (to CO2 and O2), as well as good mechanical properties. The antifungal and antimicrobial activities of chitosan arise from its polycationic nature [17]. The number of amino groups (-NH2) present in chitosan increases with the degree of deacetylation (DD), which influences its antimicrobial activity. The bactericidal activity of chitosan is caused by the electrostatic interaction between the NH3+ groups of chitosan and the phosphoryl groups of the phospholipid component of the cell membrane. The antibacterial and antifungal activity of chitosan depends on its molecular weight, degree of deacetylation, concentration, and the pH of the environment [18]. Chitosan with a high degree of deacetylation is more effective at inhibiting bacterial growth than chitosan with lower degrees of deacetylation [19].
Numerous studies have highlighted the potent antibacterial activity of zinc oxide nanoparticles (ZnO NPs) against Salmonella aureus, Bacillus atrophaeus, and Escherichia coli spp. as well as their advantageous properties for food packaging applications [20,21,22]. Research has consistently demonstrated that ZnO NPs exhibit minimal migration into food matrices, with concentrations well below the safety thresholds established for human consumption. In addition, their biocompatibility and reduced environmental persistence contribute to their appeal as sustainable alternatives for packaging materials [23]. The integration of ZnO NPs into biopolymeric matrices to create bio-nanocomposites represents a promising strategy for the development of high-performance food packaging systems. Notably, ZnO NPs synthesized via green routes using plant extracts, such as Capparis zeylanica, Phoenix roebelenii, Rubus fairholmianus, and Amaranthus spinosus, have demonstrated remarkable antibacterial efficacy against both Gram-positive and Gram-negative bacteria. In some cases, these plant-derived ZnO NPs have exhibited superior antimicrobial performance compared to conventional antibiotics [24]. The antimicrobial mechanism of ZnO NPs is primarily attributed to the release of Zn2+ ions, which interact with bacterial membranes and generate reactive oxygen species—ROS, leading to oxidative stress. This stress causes damage to essential cellular components such as membrane proteins, DNA, and mitochondria, ultimately resulting in bacterial cell death [24].
This study investigated the performance of acetylated xylan when used in composite coating formulations for food packaging paper. Acetylated xylan was synthesized in the laboratory, and colloidal dispersions containing acetylated xylan, chitosan, and zinc oxide nanoparticles (ZnONPs) were subsequently prepared. These dispersions were applied as single and double-layer coatings onto paper substrates intended for food packaging applications. Comprehensive analyses were conducted to characterize the structural and thermal stability of acetylated xylan using Fourier-transform infrared spectroscopy (FT-IR), proton nuclear magnetic resonance (1H-NMR), and thermogravimetric analysis (TGA). The functional properties of the coated papers were also evaluated, with particular focus on their mechanical strength and barrier performance against water, water vapor, oil, and grease, their resistance to microbial degradation, and their biodegradability, assessed through soil burial tests and quantification of CO2 evolution. For comparative purposes, packaging papers coated with native xylan-based dispersions, as well as uncoated papers, were included as control samples in the evaluation.

2. Materials and Methods

2.1. Materials

2.1.1. Native Xylan from Hardwood (Beech)

The native xylan used in this study was derived from beechwood (Fagus sylvatica) (CAS No. 9014-63-5) and was purchased from Carl Roth GmbH (Karlsruhe, Germany). It was supplied as a beige-brown powder with a slightly aromatic odor. The material had a molecular weight of 132 g/mol, a melting point exceeding 300 °C, and a moisture loss on drying (3 h at 110 °C) of no more than 10.0%.

2.1.2. Chitosan

Chitosan (CAS No. 9012-76-4) was purchased from Sigma-Aldrich (Taufkirchen, Germany) in the form of an off-white to light beige powder with a slightly pungent odor. It had a molecular weight in the range of [190,000–310,000]n, a melting point of 102.5 °C, a viscosity of 0.494 Pa.s (C = 1% in 1% acetic acid, t = 25 °C), and a degree of deacetylation of 88%.

2.1.3. Zinc Oxide Nanoparticles (ZnO NPs)

Zinc oxide, ZnO (CAS No. 314-13-2), with an average particle size of 100 nm (as determined by TEM), was purchased from Sigma-Aldrich (Taufkirchen, Germany) in the form of a white aqueous dispersion with a mass concentration of 20%, density of 1.7 g/mL (at 25 °C), and pH of 8.9 (at 20 °C). According to the supplier technical sheet, ZnO dispersion with pH ~ 8.9 has a positive surface charge (+15 to +25 mV) with moderate colloidal stability. DLS particles size is 150–300 nm.
Commercial packaging paper made from unbleached pulp, with a basis weight of 50 g/m2, was used as the substrate for the various coating applications. Reagents of analytical grade, including acetic anhydride, sulfuric acid, ethyl alcohol, and acetic acid, were employed either in the synthesis of xylan acetate or in the preparation of chitosan dispersions.

2.2. Methods

2.2.1. Acetylated Xylan Synthesis

Acetylated xylan, with a degree of substitution (DS) of approximately 0.48, was synthesized via the esterification of native xylan using acetic anhydride at 50 °C for 1 h, applying an 8:1 molar ratio of acetic anhydride to the hydroxyl functional groups of xylan structural unit. Prior to the acetylation reaction, the native xylan, previously oven-dried, was pre-activated by mixing with glacial acetic acid and incubating at 50 °C for 5 min to enhance reactivity. The activated xylan mixture was then cooled to 25 °C in ice bath, after which acetic anhydride was added. The acetylation reaction was catalyzed using 20% sulfuric acid (H2SO4, c = 98%). To ensure completion of the acetylation process, the reaction mixture was maintained under continuous stirring for 1 h at 50 °C. Acetylated xylan was precipitated by adding 150 mL of 95% ethanol. Residual acetylation byproducts were removed by washing the precipitated xylan acetate four times with 100 mL portions of ethanol, followed by filtration using a Büchner funnel. The final product was dried in oven at 40 °C for 24 h [25].

2.2.2. Preparation of Xylan/Acetylated Xylan/Chitosan/ZnO NPs Composite Coatings

A chitosan dispersion was obtained by dissolving 2.5 g/L of chitosan in a 1% (v/v) acetic acid solution under mechanical stirring at 950 rpm for 2 h. Dispersions of native xylan and acetylated xylan (2.5% w/v in distilled water) were separately prepared by magnetic stirring at 1500 rpm for 24 h. In the case of the acetylated xylan dispersion, zinc oxide nanoparticles (ZnO NPs) were incorporated at a concentration of 20% (w/w relative to xylan acetate), and the resulting mixture was further stirred at 1200 rpm for 6 h to ensure homogeneous distribution.
Colloidal dispersions of xylan/acetylated xylan and chitosan were prepared by the gradual addition of the xylan or acetylated xylan solution into the chitosan dispersion at a rate of approximately 60 mL/h under continuous magnetic stirring. Following the complete addition, the colloidal systems were further stirred for an additional 24 h to promote interaction between the components. Prior to mixing, the pH of all biopolymer solutions was adjusted to 4.5–5.0 to favor electrostatic interactions, as the ionization of functional groups in both xylan and chitosan occurs under mildly acidic conditions.

2.2.3. Preparation of Coated Papers

Colloidal dispersions of xylan, acetylated xylan, chitosan and ZnO NPs were applied onto the surface of the paper as composite coatings, either in single or double layers, with a coating weight of 5 g/m2. Coatings were applied to both sides of the paper. A TQC SHEEN automatic film applicator (TQC B.V., Capelle aan den Ijssel, The Netherlands) was employed for the coating process. In this system, the aqueous dispersion is deposited in front of a wire-wound rod, which rotates automatically over the paper substrate to ensure uniform application. The thickness of the applied layer is precisely controlled by the diameter of the wire rod. A total of 20 coated paper samples, each measuring 20 × 25 cm, were prepared and subsequently evaluated for their functional properties. Uncoated base paper and paper coated with native xylan served as reference materials in all analyses (Table 1).

2.2.4. Structural Analysis (FT-IR, 1H-RMN, SEM-EDX)

For the structural analysis of native and acetylated xylan, FT-IR spectra were collected using a Nicolet iS50 FT-IR spectrometer (Thermo Fisher Scientific, Waltham, MA, USA) equipped with a built-in ATR accessory. A total of 32 scans were recorded in the range of 4000–400 cm−1, with a resolution of 4 cm−1.
The structural characterization of native and acetylated xylan by 1H-NMR spectroscopy was performed using a Bruker® Avance DRX 400 spectrometer (Bruker, Billerica, MA, USA). The operating principle is based on pulse excitation of magnetic nuclei (1H) and Fourier transformation of the sample’s response to the pulses, with a working frequency of 400 MHz for proton spectra. DMSO (dimethyl sulfoxide) was used as the solvent, and measurements were carried out at a temperature of 60 °C.
The surface morphology of the papers coated with composite mixtures was evaluated using scanning electron microscopy (SEM). The samples were analyzed under vacuum to ensure that the electron beam remained focused and did not interact with airborne particles. During the analysis, the electrons from the beam interacted with the atoms in the sample, generating various signals that provided information about the surface topography and the composition of the material under investigation. From each tested specimen, samples were prepared so that both sides of the paper could be analyzed. All samples were mounted on aluminum stubs using conductive carbon adhesive tape and then sputter-coated with a thin layer of gold under vacuum using a plasma sputtering system—SPI Sputter Coater Module (SPI Supplies, West Chester, PA, USA). SEM images (scale bar 100 µm, magnification 1000×) were acquired using an FEI QUANTA 200® scanning electron microscope (Thermo Fisher Scientific, USA) equipped with an EDAX 32 elemental analysis system. For all investigations, the working distance was fixed at 10 mm, the electron beam accelerating voltage was set to 15 kV, and a secondary electron signal was used to excite as many elements as possible.

2.2.5. Thermal Stability Characterization

The thermal stability of native xylan and chemically modified acetylated xylan samples was assessed using thermogravimetric analysis (TGA) performed with a Thermogravimetric Analyzer, Discovery TGA 5500 (TA Instruments, New Castle, DE, USA), under a controlled atmosphere. This method allows for the evaluation of the degradation temperature, the stages of the degradation process, and the mass loss at specific temperatures. Each xylan sample of 10 g weight was heated from 25 °C to 700 °C at a constant rate of 10 °C/min. The results were processed using the dedicated software TA Instruments Universal Analysis 2000 (TA Instruments—Waters LLC, New Castle, DE, USA).

2.2.6. Analyzing of Functional Properties of Coated Papers

  • Air Permeability
Also known as “Gurley Porosity,” air permeability refers to the time (in seconds) required for a specific volume (100 mL) of compressed air to pass through a unit area of the sample (642 m2) and is expressed in seconds per 100 mL (s/100 mL). This property was measured directly using the Genuine Gurley™ Model 4340 Automatic Densometer (Optimus Instruments/Rycobel, Deerlijk, Belgium) according to ISO 5636-5:2013 [26].
  • Water Vapor Transmission Rate (WVTR)
The Water Vapor Transmission Rate (WVTR) through a paper sample represents the amount of water vapor that passes through a unit area per unit time, based on the vapor pressure difference between two parallel surfaces, under specified temperature and humidity conditions. It is expressed in g/m2·day (g/m2·24 h). The WVTR of the paper samples coated with composite biopolymer mixtures was determined using the gravimetric method described in ISO 2528:2018 (desiccant method) [27]. Paper samples measuring 125 × 125 mm were tightly sealed over the circular openings (95 mm diameter) of test dishes pre-filled with a desiccant material (CaCl2). Each dish was weighed at the beginning of the experiment and then placed in a controlled atmosphere (temperature 23 ± 1 °C and relative humidity 50 ± 2%) for 4 days (96 h). The dishes were reweighed every 24 h, and the weight gain was calculated to determine the amount of water vapor that passed through the sample. WVTR was calculated based on the weight gain over time, which is proportional to the exposure period.
  • Water Contact Angle
The tests were performed using the Sessile Drop method, according to the TAPPI T 458 cm-04 standard, 2004 using the Ossila Contact Angle Goniometer (Ossila BV, Leiden, The Netherlands, 2022, Model L2004A1.1, measuring range 5°–180°) [28]. The paper sample was secured with clamps on the goniometer’s testing stage, and 3 µL water droplets were deposited onto its surface using a microsyringe from a height of 2.5 mm. The contact angle value for each deposited droplet was recorded after a 5 s water–paper contact time and subsequently analyzed using the dedicated software.
  • Water absorption capacity—Cobb method
Measurements were carried out according ISO 535:2023 method, using a Cobb apparatus, which consists of a rigid base with a smooth, flat surface, a metal ring (with an internal area of 100 cm2 and a height of 6 cm), and a clamping system to secure the metal ring to the base [29]. The paper sample (10 cm × 10 cm), previously weighed, was sealed tightly between the base and the metal ring. Then, 100 ± 5 mL of distilled water (at 23 ± 1 °C) was poured into the ring to form an initial water layer of 1 cm in height, and the timer was started. After 60 s, the water was drained from the ring, and any excess water on the surface of the sample was gently removed using a smooth metal roller. The sample was then reweighed and water absorption was calculated as weight difference in [g/m2].
  • Oil absorption capacity—Cobb-Unger method
The oil absorption capacity was determined according to the standardized SCAN-P 37:77 method, which defines the Cobb-Unger Index as the mass of oil absorbed per square meter of paper within a specific time interval and under defined conditions, typically using a test surface area of 100 cm2 [30]. Measurements were carried out using a Cobb apparatus, following the same procedure described for water absorption determination, with the distilled water replaced by cold-pressed rapeseed oil at a temperature of 23 ± 0.5 °C. The contact time between the paper and the oil was set at 10 min.
  • Resistance to oils and fats—KIT Test
The method used, known as the KIT Test, is described in the TAPPI T559-cm12 standard and is based on evaluating the behavior of a paper sample in contact with a series of solutions having specific KIT numbers (1–12) [31]. These solutions are mixtures of castor oil, toluene, and n-heptane in varying proportions. Paper specimens were prepared by cutting to dimensions of 51 mm × 152 mm (width × length) and properly marking the two sides (F/S). Each specimen was placed on a clean, flat, well-lit surface with the side to be tested facing upwards. Initially, a solution with an intermediate KIT number was selected, and a drop of the solution was carefully pipetted onto the specimen surface from a height of 13 mm, starting the timer immediately. After 15 s, the surface was carefully inspected. If a stain appeared on the paper where the drop was applied, the specimen was considered to have failed the test at that KIT number, and testing continued with a solution of a lower KIT number. If the drop remained intact and no staining occurred, the specimen was considered to have passed the KIT test at that number, and the test proceeded similarly with the next higher KIT number solution. This procedure was repeated with increasing KIT numbers until a stain appeared on the paper surface.
  • Evaluation of mechanical properties
Dry and wet tensile strength, [N/m], as maximum tensile strength on width length which is supported by paper sample until breaking point, were determined as described in the standard method SR EN ISO 1924-2:2009 and ISO 3781:2011 [32,33].
Bursting strength, [KPa] was determined according with standard method SR EN ISO 2758:2015 as the maximum hydrostatic pressure required to break the sample paper [34].
  • Assessment of antimicrobial inhibition capacity
The antimicrobial inhibition capacity of paper samples coated with composite xylan-based mixtures was evaluated using strains of Staphylococcus aureus (Gram-positive pathogenic bacteria), Escherichia coli (Gram-negative pathogenic bacteria), and Salmonella sp. (Gram-negative pathogenic bacteria) obtained from the MIUG collection at “Dunărea de Jos” University of Galați. The ability to inhibit bacterial growth on the surface of the coated papers was assessed using the standard method SR EN ISO 846:2019, which was modified and adapted for applications on packaging paper used in the food industry [35]. The working procedure involved applying samples of surface-treated paper onto the surface of Plate Count Agar (PCA) culture medium. Prior to this, the paper samples were sterilized by exposure to ultraviolet (UV) radiation for 15 min. Inoculation of the treated paper samples was performed by placing 1 µL of a bacterial suspension with a concentration of 106 CFU/mL, cultured for 18 h in peptone water at 37 °C. The bacterial growth was evaluated on and around the paper samples following incubation at 37 °C for 24, 48 and 72 h. The inhibition percentage was calculated based on the measured areas of bacterial growth.
  • Global migration tests
The tests were carried out in accordance with the SR EN 1186-15:2003 standard. From each paper sample, two test specimens with a surface area of 1 dm2 were prepared, and tested by total immersion in vessels containing isooctane for 24 h at a temperature of 40 °C [36]. After the extraction period, the samples were removed from the vessels, and the solvent used for extraction was evaporated on a water bath. The mass of the non-volatile residue was then determined by weighing and expressed in mg/dm2. All measurements were performed in triplicate. The mean value obtained for each sample was compared with the global migration limit for components set by EU Regulation No. 10/2011, established at 10 mg/dm2.
  • Evaluation of the Biodegradation Capacity of Coated Papers
The biodegradation capacity (ASTM D5988-12) was assessed by quantitatively measuring the amount of CO2 released [mg] and by determining the mass difference [%] of the samples before and after burial in soil for 7, 14, 28, and 42 days, exposing them to the natural microbial activity present in the soil [37,38]. All paper samples subjected to biodegradation by soil burial were subsequently examined for physical degradation and comparatively analyzed in terms of appearance, both macroscopically (by direct visual inspection) and microscopically (using a DELTA Optical Three-Ocular Microscope-model SZ-450T® purchased from Delta Optical, Minsk Mazowiecki, Poland), thus providing a qualitative assessment of their biodegradation capacity.
  • Statistical Data Analysis
All tests were performed in triplicate, and the results are reported as mean values ± standard deviation of the arithmetic mean. Statistical analysis of the data was carried out using the data analysis toolpack from Microsoft Excel and the statistical processing software Minitab 19 (Minitab Inc., State College, PA, USA). Significant differences between samples were assessed using one-way analysis of variance (ANOVA) at a 95% confidence level (p < 0.05), followed by Tukey’s Honest Significant Difference (HSD) post hoc test when the ANOVA indicated a statistically significant p-value (p < 0.05).

3. Results

3.1. Structural and Thermogravimetric Analysis of Native Xylan and Acetylated Xylan

The FT-IR spectra recorded for native xylan and xylan modified by reaction with acetic anhydride are presented comparatively in Figure 2. The FT-IR spectrum of beechwood xylan shows a distinct broad stretching vibration band of the hydroxyl (OH) group at 3358 cm−1. The small peak at 2880 cm−1 corresponds to the symmetric stretching of the C-H bond. The medium sharp band at 1602 cm−1 indicates the vibration of C=O bonds. The absorption band of the β-glycosidic bond between glucose units is identified at 895 cm−1 and is considered the anomeric region. The FT-IR spectral region between 1200 and 1000 cm−1 is dominated by ring vibrations overlapped with the glycosidic C–O–C bond vibrations and the stretching vibration of the lateral OH groups. The out-of-plane OH group of the ring shows a weak intensity band at 518 cm−1 [39,40].
In the case of acetylated xylan, an increased absorption band at 1746 cm−1, characteristic of acetyl groups, is observed, along with a decrease in the intensity of the absorption band corresponding to the free OH groups in xylan at 3391 cm−1, which confirms the chemical modification of the native xylan.
The 1H-NMR spectra of native and acetylated xylan are shown in Figure 3.
The 1H-NMR spectra exhibit intense signals corresponding to the protons of unsubstituted xylose units in the main chain, as well as less intense signals attributed to hydroxyl (OH) groups (Figure 3a). The signals observed in the range of 3.3–5.0 ppm in both spectra (Figure 3a,b) are assigned to the ring protons of the xylan backbone. In the case of acetylated xylan (Figure 3b), a strong signal at 2.0 ppm is characteristic of the protons from acetyl groups (-CH3-CO-), confirming the successful acetylation of the xylan-type hemicellulose.
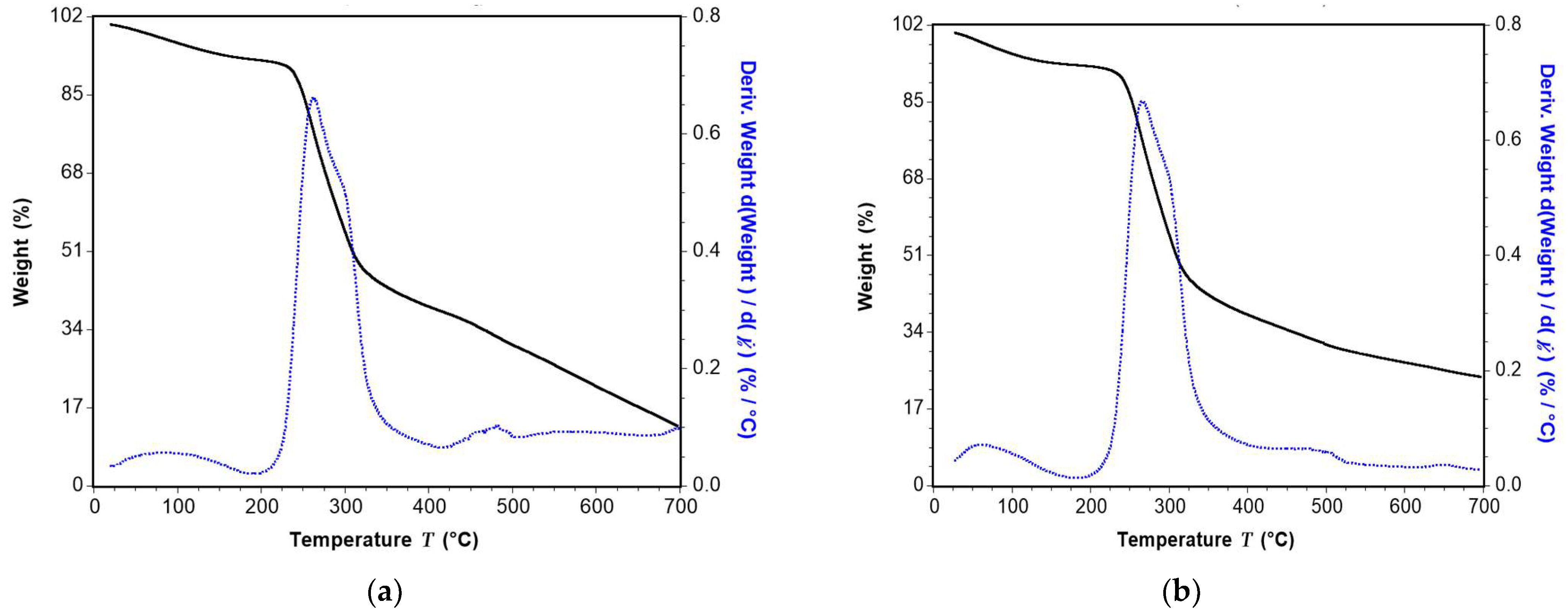
Based on the results of thermogravimetric analysis, presented in Figure 4, a sharp mass loss can be observed at the initial stage of heating for all xylan samples, which is attributed to the evaporation of water from the sample (25–100 °C).
In the case of native xylan, a 50% weight loss occurred when the decomposition of xylan mass began at approximately 305 °C (Figure 4a). For the acetylated xylan, decomposition at 50% weight loss occurred at approximately 305 °C and ~375 °C (Figure 4b). Analyzing the results, an increase in the thermal stability of the chemically modified xylan is evident when compared to the native xylan. This is due to the reduction in the number of free –OH groups remaining after acetylation—groups which are typically prone to oxidation during heating.

3.2. SEM Analysis

The surface morphology of coated papers varies depending on the specific coating formulations applied to the base paper. Uncoated paper (P0) exhibits a porous structure characterized by numerous cavities between cellulose fibers [41]. The application of coatings, especially those involving acetylated xylan combined with chitosan or ZnO in double layers, markedly improves the surface morphology by decreasing porosity and producing a smooth, dense, and uniform surface [42]. Notably, the P50 samples display a more compact, uniform, and smooth surface, attributed to the incorporation of ZnO nanoparticles into the biopolymer matrix and the film-forming properties of chitosan in the top coating layer (Figure 5).
The qualitative analysis results obtained by SEM-EDX mapping, presented in Figure 6, provide insights into the main chemical elements constituting the analyzed samples: carbon (C)—red color, oxygen (O)—green color, zinc (Zn)—purple color, calcium (Ca)—blue color, Fe-yellow color, confirming the presence of ZnO nanoparticles in the coating layers.
The EDS elemental mapping (Figure 6) revealed a Zn content of 5.68 wt% (1.22 at%) and an homogeneous spatial distribution of this element across the analyzed surface area. This suggests that the ZnO nanoparticles were uniform dispersed within the xylan hemicelluloses–chitosan coating matrix, without significant agglomeration or clustering. The uniformity of the Zn distribution supports the effectiveness of the coating process in achieving a consistent functionalization of the paper surface.

3.3. Functional Properties of Coated Papers

For the sample P32, coated with double layers (native xylan and chitosan) a significant decreasing of the water vapor transmission rate (WVTR) (about 65%) is obtained compared with uncoated paper (P0). In this case the contact angle increases to 86°, indicating an improvement of surface hydrophobicity. For this sample Gurley porosity increased substantially, reflecting a reduction in air permeability (Table 2). Moreover, the presence of chitosan, due to its cationic (NH3+) groups, enhanced the oil and grease resistance, as evidenced by a 33% increase in the KIT value compared to sample P1. Further enhancement of the barrier properties was observed for the paper samples treated with acetylated xylan and chitosan. In this case, WVTR decreased by 80%, reaching a value of 20 g/m2·day, while water and oil absorption were significantly lower compared to the sample treated with native xylan and chitosan (P32). The combination of acetylated xylan with chitosan yielded a highly uniform and compact surface morphology, as evidenced by the increased water contact angle of 86.97°, indicative of enhanced surface hydrophobicity and improved barrier performance.
The addition of ZnONPs in combination with a top layer composed of acetylated xylan and chitosan (1:1 ratio) produced the best barrier performance among all coated samples (P50). In comparison with the samples treated with native xylan (P1 and P32) or with the combination of acetylated xylan and chitosan (P34), this formulation exhibited the lowest values for both WVTR (10 g/m2·day) and water and oil absorption, highlighting its superior barrier properties. For these samples, the KIT value reached 9, which corresponds to packaging paper suitable for contact with oily and greasy food products. The high water contact angle (83.3°) and increased Gurley porosity indicate a densified surface with a tighter pore structure, effective in preventing the penetration of both liquids and gases.
The results presented in Table 2 clearly show that coating formulations based on acetylated xylan, particularly in combination with chitosan and ZnO NPs, provided the most efficient improvements in the water, water vapors, oil, and grease barrier properties of the treated paper samples. Overall, the degree of substitution (DS) of 0.48 achieved for acetylated xylan, along with the reduced number of hydroxyl groups in its chemical structure, played a significant role in enhancing the hydrophobicity and barrier performance of the coated papers compared to those prepared with the native xylan formulation. The multilayer coating strategy optimizes both hydrophobic behavior and protective performance against oil, grease, and moisture, suggesting high potential for use in sustainable food packaging applications. The water barrier properties of the tested coated papers are comparable to those of other bio-based packaging materials, such as PLA, particularly in terms of WVTR and water contact angle [43]. Moreover, their grease and oil resistance are similar to that of fluorochemical-coated papers [44].
In addition to barrier properties, mechanical strength plays a crucial role in paper packaging, ensuring adequate protection of the packaged material during transportation and handling. Furthermore, for applications involving exposure to moisture, high wet strength is particularly desirable. Results presented in Table 3 show that surface treatment with xylan hemicelluloses, particularly when combined with ZnO nanoparticles, significantly enhances the mechanical integrity of paper, both in dry and wet conditions. Among all variants, sample P50 demonstrated superior overall performance, indicating its strong potential for advanced paper-based packaging applications requiring higher durability and moisture resistance.

3.4. The Ability to Inhibit the Growth of Pathogenic Bacteria

Staphylococcus aureus is a Gram-positive bacterium with significant pathogenicity, characterized by its ability to persist in unfavorable environmental conditions, thereby increasing its transmission potential. It is one of the most frequent agents responsible for foodborne illnesses. S. aureus colonies can develop on packaged or improperly stored food products and are capable of proliferating even in environments with relatively low moisture content [45]. After incubation at 37 °C for 24 and 48 h, the paper samples were visually examined to assess the extent of S. aureus colony development and to quantify the degree of bacterial growth inhibition, as shown in Table 4 and Figure 7. The presented results and images showed that the formulation based on chitosan and acetylated xylan applied in double layers on paper surface exhibited superior antimicrobial efficacy (P32 and P34). The presence of chitosan in sample P32 indicates a strong but partially temporary antimicrobial effect, attributed to the cationic NH3+ groups that interact with bacterial cell membranes [46,47,48].
The acetylation of xylan contributes to improved compatibility and stability of the antimicrobial film, with sample P34 showing complete bacterial inhibition (100%) throughout the incubation period (24 and 48 h). The presence of acetylated xylan and chitosan in the coating layers, both exhibiting hydrophobic character, helps create an unfavorable environment for bacterial growth. In addition, the presence of two coating layers with different chemical compositions acts as both a physical and chemical barrier against bacterial development, resulting in total inhibition of bacterial growth (P34, P50). The incorporation of ZnO nanoparticles (sample P50) known for its ability to generate reactive oxygen species (ROS), led to maximum and sustained bactericidal effects [38,49]. This combination exhibits a synergistic effect, resulting in the most effective antimicrobial formulation. These findings support the potential application of such materials in active packaging systems designed to protect food products against bacterial contamination, especially from Gram-positive pathogens such as Staphylococcus aureus.
Salmonella sp. includes pathogenic Gram-negative bacterial species of enteric origin and is responsible for some of the most widespread foodborne illnesses.
Human infection typically occurs through the ingestion of contaminated water or food, with the resulting disease referred to as salmonellosis [50]. After 24 and 72 h of incubation, the paper samples were visually inspected to assess the development of Salmonella sp. colonies and to determine the degree of bacterial growth inhibition. The results are presented in Table 5 and Figure 8.
The presented results show significant differences in antimicrobial performance among the coated paper samples after 24 and 72 h of incubation. A high inhibition effect is presented by uncoated paper (P0).
This can be an effect of temporary environmental factors such as drying or low moisture content; however, no inhibition was recorded after 72 h. This confirms its lack of intrinsic antibacterial activity. The sample treated with native xylan (P1) exhibited a moderate inhibition effect, indicating that native xylan may possess a limited and short-lived antimicrobial activity, likely associated with its ability to form a physical film barrier. This may lead to a short-term reduction in bacterial colonization, without sustaining long-lasting bacteriostatic or bactericidal properties. Double-layer coatings demonstrated improved and more stable antibacterial performance, especially when chitosan and acetylated xylan were used (P32 and P34). This performance reflects the synergistic interaction between acetylated xylan (which improves film stability and hydrophobicity) and chitosan (with known cationic antimicrobial action), creating a more durable barrier against Salmonella proliferation. Although ZnO NPs are recognized for their antibacterial action via reactive oxygen species (ROS) generation, the moderate long-term inhibition observed here suggests that their concentration (20%) or dispersion may not be sufficient for extended bactericidal effect against Salmonella, a Gram-negative bacterium with a more robust outer membrane (P50) [51].
Escherichia coli is a Gram-negative pathogenic bacterium whose transmission is associated with its ability to survive under various environmental conditions. Food contamination can occur at any point along the food supply chain [52].
Based on the analysis of the presented images (Figure 9) and the obtained results (Table 6), it can be observed that after the first 24 h, all coated paper samples exhibited a very strong inhibitory effect against Escherichia coli, compared to the base paper and the sample coated with native xylan, which showed no antibacterial activity. The paper samples coated with double-layer composite formulations demonstrated a high degree of inhibition after 24 h; however, this strong effect was sustained after 72 h only in the case of papers containing acetylated xylan and chitosan in the coating layers (P34). In contrast, for the samples containing ZnONPs, the inhibitory effect was high after 24 h but significantly decreased after 72 h of incubation. While ZnO enhances short-term bactericidal activity, its long-term effectiveness against E. coli, a Gram-negative bacterium with a protective outer membrane, is limited unless optimized further.
The observed decrease in antibacterial efficiency over time for ZnO nanoparticle-containing coatings for Gram-negative bacteria such as Salmonella and Escherichia coli can be explained as follow: on the one hand, ZnO NPs exert part of their antibacterial effect through the gradual release of Zn2+ ions. However, in a polymeric matrix such as xylan-based films, the mobility and availability of these ions may be restricted. Initially, there may be a burst release at the surface, producing strong short-term effects, but the subsequent diffusion of ions from deeper layers may be insufficient to maintain prolonged antibacterial activity; on the other hand, under moisture and/or light exposure, ZnONPs generate reactive oxygen species (ROS), which can damage bacterial membranes and proteins. In the xylan-chitosan coatings, ZnONPs may be partially or fully embedded in the polymer matrix, limiting their direct contact with bacterial cells. This matrix entrapment reduces their capacity to continuously release Zn2+ ions or generate ROS, leading to reduced long-term antimicrobial activity. In addition, Gram-negative bacteria like Salmonella and E. coli possess an outer membrane rich in lipopolysaccharides that provides an additional barrier against nanoparticles and ionic species [53]. The kinetic of ROS generation is influenced by size and nanoparticles morphology. Lower size particles (below 40 nm) exhibit a higher specific surface with intense antimicrobial activity [54]. ZnONPs used in tested coatings have an average size of 100 nm which contributes to a decrease in antibacterial activity.

3.5. Evaluation of Global Migration Tests

Global migration testing is a key step in assessing the safety of food-contact materials, as it determines the total amount of non-volatile substances that can transfer from the packaging into food under specific conditions. Materials with excessive migration present potential health risks and compromise food quality. These tests are particularly important for innovative bio-based coatings, where the interaction between the packaging matrix and different types of food simulants must be thoroughly evaluated. All coated paper samples obtained in this study, showed very low global migration values in isooctane, ranging from 0.45 mg/dm2 (P34) to 1.55 mg/dm2 (P50), far below the 10 mg/dm2 regulatory limit set by EU Regulation No. 10/2011 (Table 7). The slightly higher migration observed for P50 could be related to the presence of ZnONPs, while the lowest value for P34 indicates a high stability of the acetylated xylan–chitosan coating in contact with non-polar simulants. Overall, the results confirm the suitability of these coated papers for direct food contact, even in applications involving fatty food types.

3.6. Assessment of Biodegradability of Coated Paper Samples

Biodegradability was assessed for the coated paper samples P34 and P50, which exhibited enhanced barrier performance and antimicrobial activity, using the uncoated paper and the sample coated with native xylan as reference controls. The results are presented in Table 8 and Table 9.
Based on the analysis of presented results, it can be observed that after 42 days, the paper samples coated with blends of native xylan, acetylated xylan, and chitosan reached similar biodegradation rates, ranging between 68% and 80%. The best results were obtained by applying successive composite layers consisting of acetylated xylan, chitosan, and 20% ZnONPs (P50). In this case, the biodegradation rate was approximately 75% after 28 days and about 92% after 42 days. The higher biodegradation rate of the P50 samples, compared to those coated with only acetylated xylan and chitosan (P34), can be explained by the increased porosity and lower contact angle of sample P50, which allows for easier penetration of soil moisture and the microorganisms responsible for degradation (Table 8). For sample P50, despite the high mass loss (~75%) after 28 days, the CO2 production remained relatively low (18.75 mg). This discrepancy suggests that the degradation process was dominated by structural disintegration rather than complete mineralization of the organic matter. The coating composition is an important parameter that influences the correlation between biodegradation rate and production of CO2 [55]. The acetylated xylan coating increased hydrophobicity, limiting oxygen and moisture penetration, while the combined antimicrobial effects of ZnONPs and chitosan reduced the activity of aerobic bacteria responsible for rapid CO2 release [56,57]. Additionally, part of the released carbon was likely incorporated into microbial biomass or intermediate metabolites rather than being fully converted to CO2 within the test period (Table 9).
Figure 10 illustrates the changes in the physical characteristics namely color, shape, and size of the samples observed throughout the soil burial degradation test. All coated samples fragmented into smaller pieces, exhibiting a loss of physical integrity.

4. Conclusions

This study demonstrates that the functional performance of xylan-type hemicelluloses in coating applications for food packaging papers can be significantly enhanced through chemical modification (specifically acetylation) and by combining them with complementary biopolymers such as chitosan. The results indicate that acetylation process improves both the thermal stability and hydrophobicity of xylan, enhancing its barrier properties against water, water vapor, oils, and greases when applied as paper coating. These improvements are further amplified when acetylated xylan is combined with chitosan and ZnO nanoparticles. The multilayer coating system also provided enhanced resistance to oils and greases, confirming its potential for sustainable and effective food packaging applications. In terms of antimicrobial performance, the combination of acetylated xylan and chitosan exhibited strong and prolonged antibacterial activity against both Gram-positive (Staphylococcus aureus) and Gram-negative (Salmonella spp. and E. coli) pathogens. This confirms the synergistic benefit of combining hydrophobic and cationic biopolymers. The inclusion of ZnO nanoparticles led to a sustained bactericidal effect against S. aureus, while the long-term antibacterial efficacy against Salmonella and E. coli was more limited. The biodegradability of the coated paper samples was also positively influenced by the integration of acetylated xylan, chitosan, and ZnONPs in coating formula. After 28 and 42 days of soil burial, the degradation rate reached up to 92%, with CO2 emissions ranging between 16 and 19 mg. This enhanced degradation can be attributed to the reduced crystallinity induced by chitosan and increased porosity due to ZnONPs, both of which promote faster microbial and moisture penetration under burial conditions.
Overall, the study confirms that acetylated xylan-based composite coatings, especially when combined with chitosan and ZnO nanoparticles in multilayer systems, represent a promising strategy for developing biodegradable, antimicrobial, and high-performance paper materials suitable for sustainable food packaging.

Author Contributions

Conceptualization, P.N. and M.I.-R.; methodology, P.N. and M.I.-R.; software, S.-M.N.; validation, P.N., M.I.-R. and S.-M.N.; investigation, P.N. and M.I.-R.; resources, P.N.; writing—original draft preparation P.N. and M.I.-R.; writing—review and editing, P.N.; visualization, S.-M.N.; supervision, P.N. All authors have read and agreed to the published version of the manuscript.

Funding

This research was funded by the Ministry of Research, Innovation, and Digitization, CNCS—UEFISCDI, Romania, grant number PN-III-P4-PCE-2021-0714.

Institutional Review Board Statement

Not applicable.

Data Availability Statement

All data are provided in the paper.

Acknowledgments

The authors thank for support of the Research Centre for Mechanics of Machines and Technological Equipment—MECMET, within Engineering and Agronomy Faculty in Braila, “Dunărea de Jos” University of Galati, Romania.

Conflicts of Interest

The authors declare no conflicts of interest.

Abbreviations

The following abbreviations are used in this manuscript:
ZnONPsNanoparticles of ZnO
WVTRWater Vapor Transmission Rate
FT-IRFourier-transform infrared spectroscopy
1H-NMRProton nuclear magnetic resonance
SEMScanning electron microscopy
TGAThermogravimetric analysis
DSSubstitution degree

References

  1. Peelman, N.; Ragaert, P.; Verguldt, E.; Devlieghere, F.; De Meulenaer, B. Applicability of biobased packaging materials for long shelf-life food products. Packag. Res. 2016, 1, 7–20. [Google Scholar] [CrossRef]
  2. Herrera, M.A.; Mathew, A.P.; Oksman, K. Barrier and mechanical properties of plasticized and cross-linked nanocellulose coating for paper packaging applications. Cellulose 2017, 24, 3969–3980. [Google Scholar] [CrossRef]
  3. Piselli, A.; Garbagnoli, P.; Alfieri, I.; Lorenzi, A.; Del Curto, B. Natural-based coatings for food paper packaging. Int. J. Des. Sci. Technol. 2014, 20, 55–78. [Google Scholar]
  4. Majid, I.; Nayik, G.A.; Dar, S.M.; Nanda, V. Novel food packaging technologies: Innovations and future prospective. J. Saudi Soc. Agric. Sci. 2018, 17, 454–462. [Google Scholar] [CrossRef]
  5. Nechita, P.; Roman, M.; Ciolacu, F. Xylan hemicellulose a renewable material with potential properties for food packaging applications. Sustainability 2021, 13, 13504. [Google Scholar] [CrossRef]
  6. Nechita, P.; Roman, M.; Năstac, S.M. Green Approaches on Modification of Xylan Hemicellulose to Enhance the Functional Properties for Food Packaging Materials—A Review. Polymers 2023, 15, 2088. [Google Scholar] [CrossRef] [PubMed]
  7. Xylan Market: Global Industry Analysis and Forecast (2022–2029). Available online: www.maximizemarketresearch.com (accessed on 16 June 2025).
  8. Chen, G.G.; Qi, X.M.; Guan, Y.; Peng, F.; Yao, C.L.; Sun, R.C. High strength hemicellulose-based nanocomposite film for food packaging applications. ACS Sustain. Chem. Eng. 2016, 4, 1985–1993. [Google Scholar] [CrossRef]
  9. Yang, Y.C.; Mei, X.W.; Hu, Y.J.; Su, L.Y.; Bian, J.; Li, M.F.; Peng, F.; Sun, R.C. Fabrication of antimicrobial composite films based on xylan from pulping process for food packaging. Int. J. Biol. Macromol. 2019, 134, 122–130. [Google Scholar] [CrossRef]
  10. Xu, G.; Luo, Y.; Song, T.; He, B.; Chang, M.; Ren, J. Preparation and application of a xylan-based antibacterial papermaking additive to protect against Escherichia coli bacteria. BioResources 2020, 15, 4781–4801. [Google Scholar] [CrossRef]
  11. Cheng, H.N.; Biswas, A.; Sanghoon, K.; Carlucio, R.; Furtado, A.R. Synthesis and Characterization of Hydrophobically Modified Xylans. Polymers 2021, 13, 291. [Google Scholar] [CrossRef]
  12. Lu, Y.; He, Q.; Fan, G.; Cheng, Q.; Song, G. Extraction and modification of hemicellulose from lignocellulosic biomass: A review. Green Process. Synth. 2021, 10, 779–804. [Google Scholar] [CrossRef]
  13. Stepan, A.M. Bioplastics from Biomass—Acetylation of Xylans with Green Chemistry. Ph.D. Thesis, Chalmers University of Technology, Gothenburg, Sweden, 2013. [Google Scholar]
  14. Nicu, R.; Lupei, M.; Balan, T.; Bobu, E. Alkyl–chitosan as paper coating material to improve water barrier properties. Cell Chem. Technol. 2013, 47, 623. [Google Scholar]
  15. Wang, S.; Jing, Y. Effects of a chitosan coating layer on the surface properties and barrier properties of kraft paper. BioResources 2016, 11, 1868. [Google Scholar] [CrossRef]
  16. Song, Z.; Li, G.; Liu, G.; Liu, W. Application of Chitin/Chitosan and Their Derivatives in the Papermaking Industry. Polymers 2018, 10, 389. [Google Scholar] [CrossRef] [PubMed]
  17. Zakaria, S.; Chia, C.H.; Wan, H.W.A.; Kaco, H.; Chook, S.W.; Chi, H.C. Mechanical and antibacterial properties of paper coated with chitosan. Sains Malays. 2015, 44, 905–911. [Google Scholar] [CrossRef]
  18. Mitelut, A.C.; Tanase, E.E.; Popa, V.I.; Popa, M.E. Sustainable alternative for food packaging: Chitosan biopolymer—A review. AgroLife Sci. J. 2015, 4, 2286. [Google Scholar]
  19. Bobu, E.; Nicu, R.; Desbrieres, J. Chitosan as cationic polyelectrolyte in wet-end papermaking systems. Cell. Chem. Technol. 2011, 45, 105. [Google Scholar]
  20. Zare, M.; Namratha, K.; Ilyas, S.; Sultana, A.; Hezam, A.; L, S.; Surmeneva, M.A.; Surmenev, R.A.; Nayan, M.B.; Ramakrishna, S.; et al. Emerging Trends for ZnO Nanoparticles and Their Applications in Food Packaging. ACS Food Sci. Technol. 2022, 2, 763–781. [Google Scholar] [CrossRef]
  21. Huq, M.A.; Apu, M.A.I.; Ashrafudoulla, M.; Rahman, M.M.; Parvez, M.A.K.; Balusamy, S.R.; Akter, S.; Rahman, M.S. Bioactive ZnO Nanoparticles: Biosynthesis, Characterization and Potential Antimicrobial Applications. Pharmaceutics 2023, 15, 2634. [Google Scholar] [CrossRef]
  22. Shankar, V.S.; Thulasiram, R.; Priyankka, A.L.; Nithyasree, S.; Sharma, A.A. Applications of Nanomaterials on a Food Packaging System—A Review. Eng. Proc. 2024, 61, 4. [Google Scholar]
  23. Alshameri, A.W.; Owais, M. Antibacterial and cytotoxic potency of the plant-mediated synthesis of metallic nanoparticles Ag NPs and ZnO NPs: A review. OpenNano 2022, 8, 100077. [Google Scholar] [CrossRef]
  24. Akhras, N.; Celekli, A.; Bozkurt, H. Enhanced Antimicrobial Activity of Green-Synthesized Artemisia-ZnO Nanoparticles: A Comparative Study with Pure ZnO Nanoparticles and Plant Extract. Foods 2025, 14, 2449. [Google Scholar] [CrossRef] [PubMed]
  25. Belmokaddem, F.Z.; Pinel, C.; Huber, P.; Petit-Conil, M.; Da Silva Perez, D. Green synthesis of xylan hemicellulose esters. Carbohydr. Res. 2011, 346, 2896–2904. [Google Scholar] [CrossRef]
  26. ISO 5636-5:2013; Paper and Board, Determination of Air Permeance (Medium Range), Part 5: Gurley Method. International Organization for Standardization: Geneva, Switzerland, 2013.
  27. ISO 2528:2018; Sheet Materials, Determination of Water Vapours Transmission Rate (WVTR), Gravimetric (Dish) Method. International Organization for Standardization: Geneva, Switzerland, 2018.
  28. TAPPI T 458 cm-04; Surface Wettability of Paper (Angle of Contact Method). TAPPI Press: Atlanta, GA, USA, 2004.
  29. ISO 535:2023; Paper and Board, Determination of Water Absorptiveness, Cobb Method. International Organization for Standardization: Geneva, Switzerland, 2023.
  30. SCAN-P 37:77; Paper and Board—Oil Absorbency—Cobb-Unger Method. Scandinavian Pulp, Paper and Board Testing Committee: Stockholm, Suedia, 1976.
  31. TAPPI T559 cm-12; Grease Resistance Test for Paper and Paperboard. KIT Test. TAPPI Press: Atlanta, GA, USA, 2012.
  32. SR EN ISO 1924-2:2009; Paper and Board—Determination of Tensile Properties/Part 2: Constant Rate of Elongation Method (20 mm/min). Romanian Association of Standardisation—ASRO: Bucharest, Romania, 2009.
  33. ISO 3781:2011; Paper and Board—Determination of Tensile Strength After Immersion in Water. International Organization for Standardization: Geneva, Switzerland, 2011.
  34. SR EN ISO 2758:2015; Paper—Determination of Bursting Strength. Romanian Association of Standardisation—ASRO: Bucharest, Romania, 2015.
  35. SR EN ISO846; Plastics—Evaluation of the Action of Microorganisms. Romanian Association of Standardisation—ASRO: Bucharest, Romania, 2000.
  36. SR EN 1186-15:2003; Materials and Articles in Contact with Foodstuffs. Plastics Alternative Test Methods to Migration into Fatty Food Simulants by Rapid Extraction into ISO-Octane and/or 95% Ethanol. Romanian Association of Standardisation—ASRO: Bucharest, Romania, 2003.
  37. ASTM D5988-12; Standard Test Method for Determining Aerobic Biodegradation of Plastic Materials in Soil. ASTM International: West Conshohocken, PA, USA, 2012.
  38. Roman, M.; Nechita, P.; Vasile, A.M.; Guiman, M.V. Food Packaging Performance and Environmental Impact of Polysaccharide-Coated Papers. BioResources 2024, 19, 6994–7018. [Google Scholar] [CrossRef]
  39. Chen, Z.; Hu, T.Q.; Jang, H.F.; Grant, E. Modification of Xylan in Alkaline Treated Bleached Hardwood Kraft Pulps as Classified by Attenuated Total-Internal-Reflection (ATR) FTIR Spectroscopy. Carbohydr. Polym. 2015, 127, 418–426. [Google Scholar] [CrossRef] [PubMed]
  40. Sharma, K.; Khaire, K.C.; Thakur, A.; Moholkar, V.S.; Goyal, A.; Goyal, A. Acacia Xylan as a Substitute for Commercially Available Xylan and Its Application in the Production of Xylooligosaccharides. ACS Omega 2020, 5, 13729–13738. [Google Scholar] [CrossRef] [PubMed]
  41. Zhang, W.; Xiao, H.; Qian, L. Enhanced water vapour barrier and grease resistance of paper bilayer-coated with chitosan and beeswax. Carb. Polym. 2014, 101, 401–406. [Google Scholar] [CrossRef]
  42. Feiz, E.; Mahyari, M.; Ghaieni, H.R.; Tavangar, S. Copper on chitosan-modified cellulose filter paper as an efficient dip catalyst for ATRP of MMA. Sci. Rep. 2021, 11, 8257. [Google Scholar] [CrossRef]
  43. Sangroniz, A.; Zhu, J.B.; Tang, X.; Etxeberria, A.; Chen, E.; Sardo, H. Packaging materials with desired mechanical and barrier properties and full chemical recyclability. Nat. Commun. 2019, 10, 3559. [Google Scholar] [CrossRef]
  44. Kjellgren, H.; Gallstedt, M.; Engstrom, G.; Jarnstrom, L. Barrier and Surface Properties of Chitosan-coated Greaseproof Paper. Carb. Polym. 2003, 65, 453–460. [Google Scholar] [CrossRef]
  45. le Loir, Y.; Baron, F.; Gautier, M. Staphylococcus aureus and food poisoning. Genet. Mol. Res. 2003, 2, 63–76. [Google Scholar]
  46. Sahariah, P.; Másson, M. Antimicrobial Chitosan and Chitosan Derivatives: A Review of the Structure-Activity Relationship. Biomacromolecules 2017, 18, 3846–3868. [Google Scholar] [CrossRef]
  47. Matica, M.A.; Aachmann, F.L.; Tøndervik, A.; Sletta, H.; Ostafe, V. Chitosan as a Wound Dressing Starting Material: Antimicrobial Properties and Mode of Action. Int. J. Mol. Sci. 2019, 20, 5889. [Google Scholar] [CrossRef] [PubMed]
  48. Yan, D.; Li, Y.; Liu, Y.; Li, N.; Zhang, X.; Yan, C. Antimicrobial Properties of Chitosan and Chitosan Derivatives in the Treatment of Enteric Infections. Molecules 2021, 26, 7136. [Google Scholar] [CrossRef]
  49. Khubiev, O.M.; Egorov, A.R.; Kirichuk, A.A.; Khrustalev, V.N.; Tskhovrebov, A.G.; Kritchenkov, A.S. Chitosan-Based Antibacterial Filmsfor Biomedical and Food Applications. Int. J. Mol. Sci. 2023, 24, 10738. [Google Scholar] [CrossRef] [PubMed]
  50. Jantsch, J.; Chikkaballi, D.; Hensel, M. Cellular aspects of immunity to intracellular Salmonella enterica. Immunol. Rev. 2011, 240, 185–195. [Google Scholar] [CrossRef] [PubMed]
  51. Mohd Yusof, H.; Abdul Rahman, N.; Mohamad, R.; Hasanah Zaidan, U.; Samsudin, A.A. Antibacterial Potential of Biosynthesized Zinc Oxide Nanoparticles against Poultry-Associated Foodborne Pathogens: An In Vitro Study. Animals 2021, 11, 2093. [Google Scholar] [CrossRef] [PubMed]
  52. Bridges, D.F.; Rane, B.; Wu, V.C. The effectiveness of closed-circulation gaseous chlorine dioxide or ozone treatment against bacterial pathogens on produce. Food Cont. 2018, 91, 261–267. [Google Scholar] [CrossRef]
  53. Mendes, C.R.; Dilarri, G.; Forsan, C.F.; Sapata, V.d.M.R.; Lopes, P.R.M.; de Moraes, P.B.; Montagnolli, R.N.; Ferreira, H.; Bidoia, E.D. Antibacterial Action and Target Mechanisms of Zinc Oxide Nanoparticles against Bacterial Pathogens. Sci. Rep. 2022, 12, 2658. [Google Scholar] [CrossRef]
  54. El-Habib, I.; Maatouk, H.; Lemarchand, A.; Dine, S.; Roynette, A.; Mielcarek, C.; Traoré, M.; Azouani, R. Antibacterial Size Effect of ZnO Nanoparticles and Their Role as Additives in Emulsion Waterborne Paint. J. Funct. Biomater. 2024, 15, 195. [Google Scholar] [CrossRef]
  55. Silva, R.R.A.; Marques, C.S.; Arruda, T.R.; Teixeira, S.C.; de Oliveira, T.V. Biodegradation of Polymers: Stages, Measurement Standards and Prospects. Macromol 2023, 3, 371–399. [Google Scholar] [CrossRef]
  56. Vasile, C.; Pamfil, D.; Râpă, M.; Darie-Niţă, R.N.; Mitelut, A.C.; Popa, E.E.; Popescu, P.A.; Draghici, M.C.; Popa, M.E. Study of the soil burial degradation of some PLA/CS biocomposites. Compos. Part B 2018, 142, 251–262. [Google Scholar] [CrossRef]
  57. Teodonio, L.; Missori, M.; Pawcenis, D.; Łojewska, J.; Valle, F. Nanoscale analysis of degradation processes of cellulose fibers. Micron 2016, 91, 75–81. [Google Scholar] [CrossRef] [PubMed]
Figure 1. The distribution of hemicellulose within the plant cell walls.
Figure 1. The distribution of hemicellulose within the plant cell walls.
Polysaccharides 06 00085 g001
Figure 2. FT-IR spectra of: (a) native xylan from beechwood, (b) acetylated xylan from beechwood treated with acetic anhydride.
Figure 2. FT-IR spectra of: (a) native xylan from beechwood, (b) acetylated xylan from beechwood treated with acetic anhydride.
Polysaccharides 06 00085 g002
Figure 3. 1H-NMR spectra of: (a) native beechwood xylan, (b) acetylated beechwood xylan obtained using acetic anhydride.
Figure 3. 1H-NMR spectra of: (a) native beechwood xylan, (b) acetylated beechwood xylan obtained using acetic anhydride.
Polysaccharides 06 00085 g003
Figure 4. TGA curves for: (a) native beechwood xylan, (b) beechwood xylan acetylated with acetic anhydride.
Figure 4. TGA curves for: (a) native beechwood xylan, (b) beechwood xylan acetylated with acetic anhydride.
Polysaccharides 06 00085 g004
Figure 5. SEM images of papers coated with hemicellulose-based composite formulas.
Figure 5. SEM images of papers coated with hemicellulose-based composite formulas.
Polysaccharides 06 00085 g005
Figure 6. Images resulting from the elemental chemical analysis by SEM—EDX technique of papers coated with composite layers based on acetylated xylan, ZnONPs, and chitosan with detail of the spatial distribution of Zn element.
Figure 6. Images resulting from the elemental chemical analysis by SEM—EDX technique of papers coated with composite layers based on acetylated xylan, ZnONPs, and chitosan with detail of the spatial distribution of Zn element.
Polysaccharides 06 00085 g006
Figure 7. Growth of Staphylococcus aureus colonies on xylan-based coated paper surfaces after 24 and 48 h of incubation at 37 °C.
Figure 7. Growth of Staphylococcus aureus colonies on xylan-based coated paper surfaces after 24 and 48 h of incubation at 37 °C.
Polysaccharides 06 00085 g007
Figure 8. Growth of Salmonella sp. colonies on xylan-based coated paper surfaces after 24 and 72 h of incubation at 37 °C.
Figure 8. Growth of Salmonella sp. colonies on xylan-based coated paper surfaces after 24 and 72 h of incubation at 37 °C.
Polysaccharides 06 00085 g008
Figure 9. Growth of Escherichia coli colonies on xylan-based coated paper surfaces after 24 and 72 h of incubation at 37 °C.
Figure 9. Growth of Escherichia coli colonies on xylan-based coated paper surfaces after 24 and 72 h of incubation at 37 °C.
Polysaccharides 06 00085 g009
Figure 10. Physical appearance of the coated papers with xylan composite formula after soil burial [31].
Figure 10. Physical appearance of the coated papers with xylan composite formula after soil burial [31].
Polysaccharides 06 00085 g010aPolysaccharides 06 00085 g010b
Table 1. Sample coding and the composition of the coating layers.
Table 1. Sample coding and the composition of the coating layers.
Sample CodeSample DescriptionCoating Layers Composition %
Native XylanAcetylated XylanChitosanZnONPs
P0 Base paper----
P1 Single layer coated paper with native xylan dispersion100---
P32Double layer coated paper with native xylan (bottom layer) and chitosan (top layer)
Bottom layer 100---
Top layer --100-
P34Double layer coated paper with acetylated xylan (bottom layer) and chitosan (top layer)
Bottom layer -100--
Top layer --100-
P50Double layer coated paper with acetylated xylan + 20%ZnO NPs (bottom layer) and acetylated xylan + chitosan (1:1) (top layer)
Bottom layer -100-20
Top layer -5050-
Table 2. The barrier property values of paper samples coated with composite mixtures based on xylan hemicelluloses.
Table 2. The barrier property values of paper samples coated with composite mixtures based on xylan hemicelluloses.
Paper SampleP0P1P32P34P50
Grammage [g/m2]50.48 ± 0.15 d55.04 ± 0.25 aA54.70 ± 0.51 a55.00 ± 0.30 c56.10 ± 0.46 a
Barrier properties
Gurley porosity, [s/100 mL]90 ± 4.04 d165 ± 5.03 cB18.923 ± 87 b22.426 ± 95 a18.698 ± 100 b
Water vapors transmission rate (WVTR), [g/m2·day]320 ± 8.50 a290 ± 4.51 bB100 ± 5.57 d20 ± 2.08 f10 ± 1.53 d
Water contact angle, [°]63.78 ± 1.04 d74.20 ± 0.64 bB86.00 ± 1.01 c86.97 ± 0.98 a83.30 ± 0.98 b
Water absorption, [g/m2]27 ± 1.15 a25 ± 1.06 bB22 ± 1.15 b17 ± 0.58 f17 ± 0.58 d
Oil absorption, [g/m2]24 ± 1.00 a22 ± 0.40 cB21 ± 1.15 b16 ± 0.58 e11 ± 0.40 d
KIT Test, [KIT no.]3 ± 0.58 bB4 ± 1.00 aA6 ± 0.58 b7 ± 1.00 a9 ± 0.58 a
Values are presented as mean ± standard deviation. Lowercase letters within the same row indicate statistically significant differences between treatments for the same parameter (p < 0.05, Tukey’s HSD). Uppercase letters within the same column indicate statistically significant differences between parameters for the same treatment or condition (p < 0.05, Tukey’s HSD).
Table 3. The mechanical properties of paper samples coated with composite mixtures based on xylan hemicelluloses.
Table 3. The mechanical properties of paper samples coated with composite mixtures based on xylan hemicelluloses.
Paper SampleP0P1P32P34P50
Grammage [g/m2]50.48 ± 0.15 d55.04 ± 0.25 aA54.70 ± 0.51 a55.00 ± 0.30 c56.10 ± 0.46 a
Mechanical properties
Dry tensile strength, [N/m]3120 ± 240 e3190 ± 80 fB3630 ± 380 b3950 ± 450 a4250 ± 310 a
Wet tensile strength, [N/m]380 ± 90 d500 ± 70 dB500 ± 80 b580 ± 80 a870 ± 90 a
Bursting strength, [kPa]177 ± 8.74 d259 ± 9.64 fB308 ± 6.24 e287 ± 4.58 e310 ± 9.17 a
Values are presented as mean ± standard deviation. Lowercase letters within the same row indicate statistically significant differences between treatments for the same parameter (p < 0.05, Tukey’s HSD). Uppercase letters within the same column indicate statistically significant differences between parameters for the same treatment or condition (p < 0.05, Tukey’s HSD).
Table 4. Antibacterial activity against Staphylococcus aureus of paper samples coated with xylan-based composite mixtures.
Table 4. Antibacterial activity against Staphylococcus aureus of paper samples coated with xylan-based composite mixtures.
Paper SampleInhibition Degree, [%]
After 24 hAfter 48 h
P00.00 ± 0.000.00 ± 0.00
P10.00 ± 0.000.00 ± 0.00
P3275.00 ± 0.30 bA50.00 ± 0.24 bB
P34100.00 ± 0.00 aA100.00 ± 0.00 aA
P50100.00 ± 0.00 aA100.00 ± 0.00 aA
Values are presented as mean ± standard deviation. Lowercase letters within the same row indicate statistically significant differences between treatments for the same parameter (p < 0.05, Tukey’s HSD). Uppercase letters within the same column indicate statistically significant differences between parameters for the same treatment or condition (p < 0.05, Tukey’s HSD).
Table 5. Antibacterial activity against Salmonella sp. of paper samples coated with xylan-based composite mixtures.
Table 5. Antibacterial activity against Salmonella sp. of paper samples coated with xylan-based composite mixtures.
Paper SampleInhibition Degree, [%]
After 24 hAfter 72 h
P075.00 ± 0.20 dA0.00 ± 0.00 gB
P175.00 ± 0.30 dA50.00 ± 0.21 cB
P3290.00 ± 0.22 bA20.00 ± 0.24 eB
P34100.00 ± 0.00 aA85.00 ± 0.28 aB
P5090.00 ± 0.28 bA50.00 ± 0.27 cB
Values are presented as mean ± standard deviation. Lowercase letters within the same row indicate statistically significant differences between treatments for the same parameter (p < 0.05, Tukey’s HSD). Uppercase letters within the same column indicate statistically significant differences between parameters for the same treatment or condition (p < 0.05, Tukey’s HSD).
Table 6. Antibacterial activity against Escherichia coli of paper samples coated with xylan-based composite mixtures.
Table 6. Antibacterial activity against Escherichia coli of paper samples coated with xylan-based composite mixtures.
Paper SampleInhibition Degree, [%]
After 24 hAfter 72 h
P000.00 ± 0.00 cA0.00 ± 0.00 hA
P100.00 ± 0.00 cA0.00 ± 0.00 hA
P3290.00 ± 0.22 aA40.00 ± 0.24 eB
P3490.00 ± 0.00 aB100.00 ± 0.28 aA
P5090.00 ± 0.28 aA20.00 ± 0.27 gB
Values are presented as mean ± standard deviation. Lowercase letters within the same row indicate statistically significant differences between treatments for the same parameter (p < 0.05, Tukey’s HSD). Uppercase letters within the same column indicate statistically significant differences between parameters for the same treatment or condition (p < 0.05, Tukey’s HSD).
Table 7. Results of global migration tests of packaging papers coated with xylan-based composite formulas.
Table 7. Results of global migration tests of packaging papers coated with xylan-based composite formulas.
Paper SampleMigration Test Results
[mg/dm2]
P00.75 ± 0.04
P10.55 ± 0.05
P320.75 ± 0.06
P340.45 ± 0.4
P501.55 ± 0.18
Table 8. Biodegradation rate of packaging papers coated with xylan-based composite formulas.
Table 8. Biodegradation rate of packaging papers coated with xylan-based composite formulas.
Paper SampleBiodegradation Rate, [%]
7 Days28 Days42 Days
P013.42 ± 2.11 bC47.86 ± 3.51 dB80.31 ± 2.36 bA
P18.90 ± 1.38 gC57.49 ± 3.79 bB68.15 ± 3.04 jA
P3410.49 ± 1.45 dC41.92 ± 4.32 fB80.35 ± 6.76 dA
P509.71 ± 1.15 eC74.67 ± 5.06 a91.56 ± 5.73 aA
Values are presented as mean ± standard deviation. Lowercase letters within the same row indicate statistically significant differences between treatments for the same parameter (p < 0.05, Tukey’s HSD). Uppercase letters within the same column indicate statistically significant differences between parameters for the same treatment or condition (p < 0.05, Tukey’s HSD).
Table 9. CO2 emission from soil biodegradation of xylan-coated paper samples.
Table 9. CO2 emission from soil biodegradation of xylan-coated paper samples.
Paper SampleCO2 Production [mg]
7 Days14 Days21 Days28 Days
P01.01 ± 0.58 fC2.02 ± 0.59 fB5.72 ± 0.62 iC7.70 ± 0.14 fD
P10.96 ± 0.24 fC1.92 ± 0.24 fB10.34 ± 0.32 gC13.64 ± 0.25 eD
P341.29 ± 0.19 dC3.69 ± 0.29 cB11.75 ± 0.38 eC15.25 ± 0.59 cD
P501.25 ± 0.12 dC6.45 ± 0.21 bB16.25 ± 0.34 aC18.75 ± 0.45 aD
Values are presented as mean ± standard deviation. Lowercase letters within the same row indicate statistically significant differences between treatments for the same parameter (p < 0.05, Tukey’s HSD). Uppercase letters within the same column indicate statistically significant differences between parameters for the same treatment or condition (p < 0.05, Tukey’s HSD).
Disclaimer/Publisher’s Note: The statements, opinions and data contained in all publications are solely those of the individual author(s) and contributor(s) and not of MDPI and/or the editor(s). MDPI and/or the editor(s) disclaim responsibility for any injury to people or property resulting from any ideas, methods, instructions or products referred to in the content.

Share and Cite

MDPI and ACS Style

Nechita, P.; Iana-Roman, M.; Năstac, S.-M. Acetylated Xylan as Renewable Feedstock for Biodegradable Food Packaging: Synthesis, Structural Characterization and Performance Evaluation. Polysaccharides 2025, 6, 85. https://doi.org/10.3390/polysaccharides6030085

AMA Style

Nechita P, Iana-Roman M, Năstac S-M. Acetylated Xylan as Renewable Feedstock for Biodegradable Food Packaging: Synthesis, Structural Characterization and Performance Evaluation. Polysaccharides. 2025; 6(3):85. https://doi.org/10.3390/polysaccharides6030085

Chicago/Turabian Style

Nechita, Petronela, Mirela Iana-Roman, and Silviu-Marian Năstac. 2025. "Acetylated Xylan as Renewable Feedstock for Biodegradable Food Packaging: Synthesis, Structural Characterization and Performance Evaluation" Polysaccharides 6, no. 3: 85. https://doi.org/10.3390/polysaccharides6030085

APA Style

Nechita, P., Iana-Roman, M., & Năstac, S.-M. (2025). Acetylated Xylan as Renewable Feedstock for Biodegradable Food Packaging: Synthesis, Structural Characterization and Performance Evaluation. Polysaccharides, 6(3), 85. https://doi.org/10.3390/polysaccharides6030085

Article Metrics

Back to TopTop