Abstract
Electrostatic complexes based on chitosan, lecithin, and sodium tripolyphosphate were produced and evaluated with respect to their encapsulation capacity and cytotoxicity. Physical chemical properties were determined by zeta potential values and size distributions. For encapsulation assays, the emulsification method was followed, and Citrus senensis peel oil was utilized as volatile compound model. Morphology of complexes with oil incorporated was observed by scanning electron microscopy. The cytotoxicity of complexes was related to cell viability of zebrafish hepatocytes. The complexes produced presented positive Zeta potential values and size distributions dependent on the mass ratio between compounds. Higher concentrations of sodium tripolyphosphate promote significant changes (p < 0.05) in zeta values, which did not occur at smaller concentrations of the crosslinking agent. These complexes were able to encapsulate Citrus sinensis peel oil, with encapsulation efficiency higher than 50%. Cytotoxicity profiles showed that in a range of concentrations (0.1–100 μg/mL) studied, they did not promote cellular damage in zebrafish liver cells, being potential materials for food and pharmaceutical applications.
1. Introduction
Colloids based on the bonding between opposing charges of different compounds are one of the most versatile colloid research materials. By using low-cost processes, without the use of high energy or toxic solvents, these become promising in the pharmaceutical and food industries. In the development of these complexes, their physicochemical characteristics can be modulated, defining their application as texture modifiers in food products, active agent carriers, and antimicrobial agents [1,2,3].
Among the compounds of interest for production of these complexes, chitosan has shown their relevance. Due to its cationic character, this polysaccharide has the availability of charges to bind to anionic compounds [4,5,6], forming electrostatic complexes that are promising for the encapsulation of volatile active compounds, such as orange essential oil [7,8,9]. This oil originates from the secondary metabolism of Citrus sinensis and easily oxidizes in the presence of air, light, and humidity contributing to the oxidation of the products that have it in its formulation [10,11].
Ionotropic gelation using sodium tripolyphosphate as a polyanion is the most widespread formation protocol of chitosan nanoparticles and colloids [12]. Despite the good potential of such particles, studies have demonstrated their in vitro cytotoxic potential in several cell lines [13,14,15]. However, there are few studies of their action on liver cell lines. Cultures of hepatocytes, such as zebrafish liver (ZFL cell line), are interesting because they reproduce in vitro the action of xenobiotics that are metabolized by this organ [16].
Aiming to reduce the chitosan-tripolyphosphate particles cytotoxicity, the addition of soybean lecithin phospholipids may be an alternative since they are present in living organisms and integrate the cell membrane. In addition, in acidic media, they have a negative net charge, being suitable for electrostatic interaction with chitosan. Finally, the surfactant character of lecithin may enhance the encapsulation of lipophilic compounds such as orange essential oil [17,18].
In this way, the objective of this work was the development of a new electrostatic complex based on lecithin and chitosan crosslinked with sodium tripolyphosphate, its use for the encapsulation of orange essential oil, and subsequent evaluation of its cytotoxicity in zebrafish liver cells (ZFL cell line).
2. Materials and Methods
2.1. Raw Materials and Chemical Reagents
Chitosan (CHI) (molecular weight of 74.03 kDa, deacetylation degree of 95% and polydispersity of 0.03) (Polymar Ltd., Fortaleza, Brazil), soy lecithin (LIP) (food grade) (Delaware S/A, Porto Alegre, Brazil), orange essential oil (OEL) (Phytotherapica, São Paulo, Brazil), and sodium tripolyphosphate (STPP) (Synth, Broomfield, CO, USA) were used as raw materials. Acetic acid (PA, purity > 99.7%, Sigma-Aldrich, Saint Louis, Missouri, MO, USA) and Milli-Q water (Millipore Corporation, Burlington, MA, USA) were used as solvents. Culture medium RPMI 1640 (Gibco), trypsin 0.1% (w/v) (Gibco), 3-4,5-dimethylthiazol-2-yl, 2,5-diphenyltetrazolium (MTT, Sigma-Aldrich, Saint Louis, Missouri, MO, USA), and dimethylsulfoxide (DMSO, purity > 99.9%, Sigma-Aldrich, Saint Louis, Missouri, MO, USA) were used for the cytotoxicity assays.
2.2. Stock Solutions Preparation
Chitosan 0.5% (w/v) was solubilized in acetic acid solution (0.1% v/v). Sodium tripolyphosphate 1% (w/v) and lecithin 0.7% (w/v) were solubilized in Milli-Q water. The pH was adjusted to 3.5 for all solutions previously the surfactant-polyelectrolyte complexes (SPECs) production.
2.3. Production of Surfactant-Polyelectrolyte Complexes (SPECs)
SPECs were prepared according to Calvo et al. [12] based on the ionic gelation of chitosan, with some modifications. In this study, two anionic compounds were utilized for SPECs production: Initially, CHI and STPP solutions were homogenized in a rotor stator device (Ultraturrax T-18, IKA, Königswinter, North Rhine-Westphalia, Germany) by direct mixing at 10,000 rpm for 2 min. Subsequently, LIP was slowly added at the dispersion in permanent stirring (2000 rpm). The formulations (Table 1) were produced varying the ratio between chitosan and sodium tripolyphosphate and keeping the mass ratio CHI:LIP constant at 10:1. Figure 1 represents the schematic production of SPECs.
Table 1.
Formulations of surfactant-polyelectrolyte complexes.
Figure 1.
Schematic production of SPECs.
2.4. Size Distribution and Zeta Potential Analysis
Size distributions of SPECs were measured by dynamic light scattering (DLS). These measurements were performed using Zetasizer Nano ZS (Malvern Instrument Ltd., Malvern, Worcestershire, UK) equipped with 633 nm laser and with a 2 mL rectangular cuvette (path length 10 mm). Zeta potentials were carried out by microelectrophoresis in the same equipment, operating with a He–Ne (633 nm) laser, 4.0 mV as a light source and using disposable zeta cells (DTS 1060).
2.5. Incorporation of Orange Essential Oil into SPECs
Orange essential oil was added by dripping in SPECs dispersion under stirring. Afterward, the suspensions were submitted to lyophilization. The SPECs:oil mass ratios ranged from 1:1 to 5:1 (E1 = 1:1; E2 = 3:1; E3 = 5:1). Size distributions and zeta potentials of these formulations were measured as described in Section 2.4.
2.5.1. Encapsulation Efficiency
The encapsulation efficiency was carried out as described by Férnandez-Urrusuno et al. [19] with modifications. The dispersions were centrifuged at 15,500× g for 30 min. To the supernatant was added chloroform (1:10 volume ratio), and liquid–liquid extraction was carried out in separation funnels. Afterward, chloroform solvent was evaporated in a rotary evaporator (60 °C), and then, the flasks were weighed. The encapsulation efficiency (EE) was calculated from Equation (1):
where mi is the initial mass of essential oil added, and mf is the oil-free in the supernatant solution.
EE = (mi−mf)/mi
2.5.2. Microstructure of Lyophilized Dispersions
In order to gain information about the encapsulation process, scanning electron microscopy was carried out in two magnitudes (40× and 1000×) for lyophilized suspensions of SPECs incorporated or not with essential oil. The microscopies were performed in a scanning electron microscope (Jeol, model JSM—6610LV, Pleasanton, CA, USA) with an acceleration voltage of 20 KV.
2.6. In Vitro Cytotoxicity Assessments
For these assays, the ZFL strain of D. rerio hepatocytes (CRL2643—American Type Culture Collection—ATCC) was used. The cells culture was maintained with RPMI 1640 culture medium, supplemented with 10% fetal bovine serum and 1% antibiotic and antimycotic, in glass culture bottles at 28 °C.
Cell Viability Analysis: MTT Method
Cell viability was assessed by the 3-4,5-dimethylthiazol-2-yl, 2,5-diphenyltetrazolium (MTT) method at 0, 24, 48 and 72 h post-exposure. The MTT test is colorimetric and relies on the reduction of the MTT by the mitochondrial enzymes of the viable cells. When this compound is reduced, its coloration and physical state change from yellow (liquid) to violet (solid). The difference between the stains was then determined by ELISA plate reader absorbance, and subsequently, viability was calculated by assigning the control group absorbance as 100% viable cells [20].
Two distinct experiments were carried out with ZFL cells: empty SPECs dispersions and oil loaded SPECs dispersions. For each group, independent triplicate, represented by three 96-well culture plates, was conducted.
Cells of the ZFL strain were incubated for 24 h in 96-well culture plates at 28 °C for adherence (3 × 105 cells/mL). Subsequently, the cells were treated with different concentrations of SPECs (empty SPECs and oil loaded SPECs). The evaluated concentrations ranged from 0.1 μg/mL to 100 μg/mL. Control cells received the same volume as the vehicle used for the solubilization, in this case, immersion water (Novafarma, Brazil).
After exposition, cells were washed with PBS buffer and 180 μL of culture medium, and 20 μL of MTT solution (5 mg/mL) was added to each well. The plates were incubated for 3 h at 28 °C. Thus, the MTT-containing medium was removed, and the formazan crystals were dissolved in 200 μL of dimethylsulfoxide (DMSO). Absorbance values at 490 nm wavelength were then determined in the ELISA (ELX 800 Universal Reader, Bio-TEK, Winooski, VT, USA).
2.7. Statistical Analysis
The experimental data were presented as means ± standard deviation. The results obtained were submitted to variance analysis (ANOVA), and Tukey’s test was applied to evaluate significant differences using the statistical program PAST (v.5). Values of p ≤ 0.05 were considered statistically significant.
3. Results and Discussion
3.1. Physicochemical Properties of SPECs
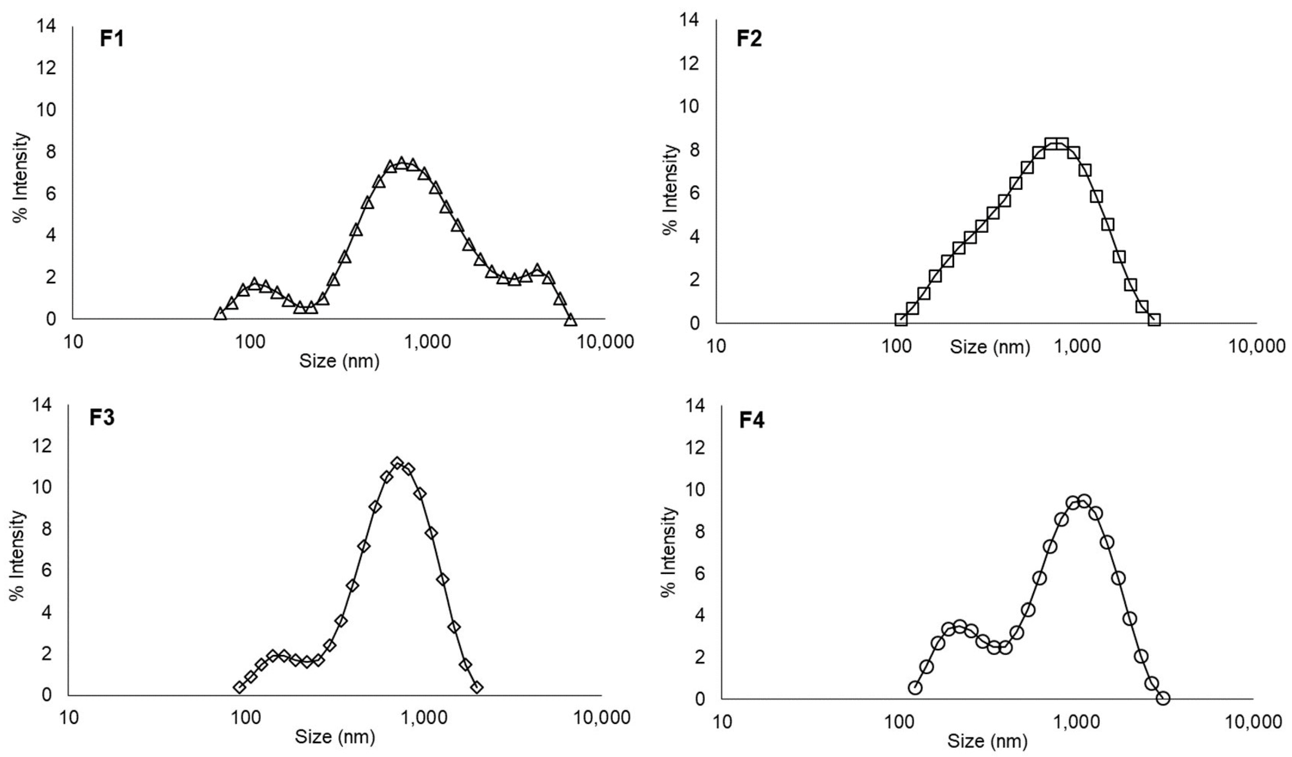
According to Figure 2, it was possible to notice that the ratio between CHI and STPP influenced the SPECs particle size. The consecutive decrease of the crosslinking agent in relation to chitosan promoted the extinction of the multimodal character (F1 in contrast to F2) and, subsequently, promoted the existence of a population of nanoparticles with mean size around 100 nm (Figure 2). This fact occurred because STPP promotes crosslinks in the fragments of free chitosan in solution. Therefore, a higher amount of STPP tends to promote more aggregates and then increase the system polydispersity [21].
Figure 2.
Size distributions of the four formulations of surfactant-polyelectrolyte complexes studied (F1, F2, F3 and F4).
Calvo et al. [12] studied the influence of chitosan and sodium tripolyphosphate concentrations on the mean size of the nanoparticles, similar to F3 and F4 formulations. These authors found lower mean values (263.8 ± 23.6 and 307.6 ± 14.6 nm) when compared to our work. This difference might be attributed to the presence of the lecithin fatty acids in the formulations. At higher concentrations of chitosan (1.2 mg/mL), present in formulations F1 and F3, the mean particle size (Table 2) increased when compared to the formulations with low chitosan content (F2 and F4). This fact was attributed to a small increase in the solution viscosity. The higher viscosity makes the interactions between the forming compounds of SPECs difficult, favoring the formation of larger particles [22].
Table 2.
Physicochemical parameters of surfactant-polyelectrolyte complexes.
Another parameter used to evaluate the size of the particles formed is the polydispersity index. All formulations presented good uniformity (Table 2). This index represents the particle diameter distribution range, where high values indicate heterogeneity in the diameter of the suspended particles. According to Malvern [23], PDI lower than 0.3 are ideal because they indicate that the particle diameter distribution is in a narrow range. Zeta potential values (Table 2) were affected by the amount of STPP added as well as the total chitosan concentration in the systems. Higher concentrations of STPP (F1 and F2) promote significant changes (p < 0.05) in zeta values, which did not occur at smaller concentrations of the crosslinking agent (F3 and F4). It is believed that the STPP amount added in formulations F1 and F2 promoted significant rearrangements in the structures, bonding more chitosan chains (which was in excess in all formulations). On the other hand, in F3 and F4 formulations, the addition of STPP just assisted in chitosan gelation, reducing their zeta potential and promoting not a reticulated network but rather nanometric particles.
3.2. Physicochemical Properties of SPECs Incorporated with Orange Essential Oil
For encapsulation studies, formulation F3 was used based on the previous tests (not shown) of solubility. Table 3 shows that, for all wall–core mass ratios, encapsulation efficiency was higher than 50%. Formulation E1 showed a lower retention capacity when compared to E2 and E3. This fact can be attributed to the greater amount of oil added in comparison with the others, saturating the system. This amount of oil added in the E1 formulation also influenced particles mean size: ANOVA results showed that the formulation E1 had a significantly (p value < 0.05) higher value than other formulations, while E2 and E3 did not differ significantly from each other. In addition to these results, all formulations had a larger size when compared to formulation F3 (668.93 ± 3.2 nm), which had no orange oil incorporated. This might suggest that the orange oil was successfully incorporated into the SPECs. Zeta potential values of the three encapsulated formulations was higher when compared with zeta potential of the empty SPECs (Table 3). It is believed that the incorporation of oil promoted a closure of the pores of the structure formed by CHI, LIP, and STPP, exposing some free amino groups present in the structures. The pores closure can be observed by the scanning electron microscopies of empty SPECs (F3) and loaded with orange oil (E1) (Figure 3).
Table 3.
Encapsulation efficiency, mean size, PDI, and zeta potential of orange essential oil loaded SPECs.
Figure 3.
Scanning electron microscopies of (A): lyophilized empty SPECs; (B) orange essential oil loaded SPECs.
3.3. In Vitro Cytotoxicity Assessments
SPECs Dispersions and Orange Essential Oil Loaded SPECs
The cytotoxicity assays for dispersions of empty SPECs (F3) and essential oil loaded SPECs (E3 was chosen based on net charge) are shown in Figure 4. The glass bottles cultures and microscopic image of cell culture are shown in Figure 5. According to statistical results (p-value < 0.05) no significant differences between the treatments performed and the control group were found at the different time intervals. These results are interesting since several factors could promote injury in the cell culture such as the positive charge of the dispersions [24], the uptake by cells of submicron-sized particles present in the dispersions [25,26], or even the presence of orange essential oil [27,28]. Thus, some type of oxidative stress was expected at least after 72 h exposure.
Figure 4.
Results of cell viability as a function of the treatments performed with different concentrations of (A) empty SPECs and (B) oil loaded SPECs. Each value represents the mean of triplicate measurements and varied from the mean by not more than 10%.
Figure 5.
(A) Glass culture bottles with ZFL cells; (B) microscopic image of ZFL cells.
Many factors may have contributed to these results. Regarding the surface charge of dispersions (empty SPECs = 15.6 ± 3.50 mV; oil loaded SPECs = 29.9 ± 3.51 mV), it is believed that it was affected by lower acidification used for resuspension. Zeta potential, that is, surface charge, can greatly influence the particle stability in suspension through the electrostatic repulsion between the particles. The greater the zeta potential, the more stable the suspension is likely to be because the charged particles repel one another and thus overcome the natural tendency to aggregate [14]. The lower concentration of acetic acid did not promote the protonation of free amino groups present in chitosan, and it affected the mean sizes, forming aggregates. The large size of complexes did not allow the uptake by cells.
Regarding to different types of liver cell cultures, the results obtained are consistent with the literature and suggest a positive relation between chitosan nanoparticles and these types of cell culture. Qi et al. (2005) [14] studied the effects of chitosan nanoparticle size and surface charge on tumor cell cultures (BEL 7402, BGC 823, and Colo 320) and culture of human normal liver cells (L-02). These authors found that chitosan nanoparticles showed higher cytotoxicity in cancer cells but had effects on normal human liver cells. It was believed that the little cytotoxicity was due to the liver being the primary location of detoxification and showing the highest abundance of critical phase II enzymes, such as GSTs42 [29]. Loutfy et al. (2016) [29] also found little cytotoxicity by chitosan nanoparticles in culture of human tumor liver cells after 48 h of cell exposure. Despite these positive results, flow cytometry and cellular DNA fragmentation showed the accumulation of cells in the G2/M phase and a dramatic effect on DNA concentration after 48 h of cell exposure.
4. Conclusions
It was possible to produce a new complex based on chitosan, sodium tripolyphosphate, and lecithin. Its physicochemical properties were dependent on the mass ratio between the forming compounds, and a smaller amount of crosslinking agent promoted smaller particle sizes. The orange essential oil encapsulation by these complexes was successful and presented encapsulation efficiency values greater than 50%. The cytotoxicity results of complexes of essential oil added or not to ZFL cells did not show cellular damage in the studied concentrations.
Author Contributions
Conceptualization, Investigation, Validation, Writing–Review and editing, Visualization: A.M.N.d.T., A.R.M. and L.A.d.S.-S. Methodology: A.M.N.d.T. and L.A.d.S.-S. Formal analysis, Data curation, Writing–Original draft preparation: A.M.N.d.T. Resources, Supervision, Project Administration and Funding Acquisition: L.A.d.S.-S. All authors have read and agreed to the published version of the manuscript.
Funding
CAPES—Coordenação de Aperfeiçoamento de Pessoal de Nível Superior—for the research grant and FAPERGS: 2485.271.13638.270202013-PVSRS.
Data Availability Statement
The data presented in this study are available on request from the corresponding author.
Acknowledgments
The authors would like to thank Cell Culture Laboratory and Center of electron microscopy (CEME-SUL) at the Federal University of Rio Grande, Brazil.
Conflicts of Interest
The authors declare no conflict of interest.
References
- Lankalapalli, S.; Kolapalli, V.R. Polyelectrolyte Complexes: A Review of their Applicability in Drug Delivery Technology. Indian J. Pharm. Sci. 2009, 71, 481–487. [Google Scholar] [CrossRef] [PubMed] [Green Version]
- Siyawamwaya, M.; Choonara, Y.E.; Bijukumar, D.; Kumar, P.; Du Toit, L.C.; Pillay, V. A Review: Overview of Novel Polyelectrolyte Complexes as Prospective Drug Bioavailability Enhancers. Int. J. Polym. Mater. Polym. Biomater. 2015, 64, 955–968. [Google Scholar] [CrossRef]
- Meka, V.S.; Sing, M.K.G.; Pichika, M.R.; Nali, S.R.; Kolapalli, V.R.M.; Kesharwani, P. A comprehensive review on polyelectrolyte complexes. Drug Discov. Today 2017, 22, 1697–1706; ISSN 1359. [Google Scholar] [CrossRef] [PubMed]
- Picone, C.S.; Cunha, R.L. Chitosan-gellan electrostatic complexes: Influence of preparation conditions and surfactant presence. Carbohydr. Polym. 2013, 94, 695–703. [Google Scholar] [CrossRef] [PubMed] [Green Version]
- Maciel, V.B.V.; Yoshida, C.M.P.; Franco, T.T. Chitosan/pectin polyelectrolyte complex as a pH indicator. Carbohydr. Polym. 2015, 132, 537–545. [Google Scholar] [CrossRef] [PubMed] [Green Version]
- Aranaz, I.; Alcántara, A.R.; Civera, M.C.; Arias, C.; Elorza, B.; Heras Caballero, A.; Acosta, N. Chitosan: An Overview of Its Properties and Applications. Polymers 2021, 13, 3256. [Google Scholar] [CrossRef] [PubMed]
- Yoksana, R.; Jirawutthiwongchai, J.; Arpo, K. Encapsulation of Ascorbyl Palmitate in Chitosan Nanoparticles By Oil-in-water Emulsion and Ionic Gelation Processes. Colloids Surfaces B Biointerfaces 2010, 76, 292–297. [Google Scholar] [CrossRef]
- Jarudilokkul, S.; Tongthammachat, A.; Boonamnuayvittaya, V. Preparation of chitosan nanoparticles for encapsulation and release of protein. Korean J. Chem. Eng. 2011, 28, 1247–1251. [Google Scholar] [CrossRef]
- Azevedo, M.A.; Bourbon, A.I.; Vicente, A.A.; Cerqueira, V.M.A. Alginate/chitosan nanoparticles for encapsulation and controlled release of vitamin B2. Int. J. Biol. Macromol. 2014, 71, 141–146. [Google Scholar] [CrossRef] [Green Version]
- Gomes, M.S.; Cardoso, M.G.; Soares, M.J.; Batista, L.R.; Machado, S.M.F.; Andrade, M.A.; Azeredo, C.M.O.; Resende, J.M.V.; Rodrigues, L.M.A. Use of Essential Oils of the Genus Citrus as Biocidal Agents. Am. J. Plant Sci. 2014, 5, 299–305. [Google Scholar] [CrossRef] [Green Version]
- Mahato, N.; Sharma, K.; Koteswararao, R.; Sinha, M.; Baral, E.; Cho, M.H. Citrus essential oils: Extraction, authentication and application in food preservation. Crit. Rev. Food Sci. Nutr. 2019, 59, 611–625. [Google Scholar] [CrossRef] [PubMed]
- Calvo, P.; Remuñàn-Lopez, C.; Vila-Jato, J.L.; Alonso, M.J. Chitosan and Chitosan/Ethylene Oxide-Propylene Oxide Block Copolymer Nanoparticles as Novel Carriers for Proteins and Vaccines. Pharm. Res. 1997, 14, 1431–1436. [Google Scholar] [CrossRef] [PubMed]
- Huang, M.; Khor, E.; Lim, L.Y. Uptake and Cytotoxicity of Chitosan Molecules and Nanoparticles: Effects of Molecular Weight and Degree of Deacetylation. Pharm. Res. 2004, 21, 344–353. [Google Scholar] [CrossRef]
- Qi, L.; Xu, Z. In vivo antitumor activity of chitosan nanoparticles. Bioorg. Med. Chem. Lett. 2006, 16, 4243–4245. [Google Scholar] [CrossRef] [PubMed]
- Loh, J.W.; Saunders, M.; Lim, L.Y. Cytotoxicity of monodispersed chitosan nanoparticles against the Caco-2 cells. Toxicol. Appl. Pharmacol. 2012, 262, 273–282. [Google Scholar] [CrossRef] [PubMed]
- Gosh, C.; Zhou, Y.L.; Collodi, P. Derivation and characterization of a zebrafish liver cell line. Cell Biol. Toxicol. 1994, 10, 167–176. [Google Scholar] [CrossRef]
- Dickinson, E. Towards more natural emulsifiers. Trends Food Sci. Technol. 1993, 4, 330–334. [Google Scholar] [CrossRef]
- Whitehurst, R.J. Emulsifiers in Food Technology; Blackwell Publishing Ltd.: Hoboken, NJ, USA, 2004. [Google Scholar]
- Fernández-Urrusuno, R.; Calvo, P.; Remuñán-López, C. Enhancement of Nasal Absorption of Insulin Using Chitosan Nanoparticles. Pharm. Res. 1999, 16, 1576–1581. [Google Scholar] [CrossRef]
- Mosmann, T. Rapid colorimetric assay for cellular growth and survival: Application to proliferation and cytotoxicity assays. J. Immunol. Methods 1983, 65, 55–63. [Google Scholar] [CrossRef]
- Harish-Prashanth, K.V.; Tharanathan, R.N. Crosslinked chitosan—Preparation and characterization. Carbohydr. Res. 2006, 341, 169–173. [Google Scholar] [CrossRef]
- Malvern. Available online: http://www.malvern.com/br/support/resource-center/Whitepapers/WP111214DLS (accessed on 10 January 2018).
- Fischer, D.; Li, Y.; Ahlemeyer, B.; Krieglstein, J.; Kissel, T. In vitro cytotoxicity testing of polycations: Influence of polymer structure on cell viability and hemolysis. Biomaterials 2003, 24, 1121–1131. [Google Scholar] [CrossRef]
- Behzadi, S.; Serpooshan, V.; Tao, W.; Hamaly, M.A.; Alkawareek, M.Y.; Dreaden, E.C.; Brown, D.; Alkilany, A.M.; Farokhzad, O.C.; Mahmoudi, M. Cellular uptake of nanoparticles: Journey inside the cell. Chem. Soc. Rev. 2017, 46, 4218–4244. [Google Scholar] [CrossRef]
- Huang, M.; Ma, Z.; Khor, E.; Lim, L.Y. Uptake of FITC-chitosan nanoparticles by A549 cells. Pharm. Res. 2002, 19, 1488–1494. [Google Scholar] [CrossRef]
- Bayala, B.; Bassole, I.H.; Scifo, R.; Gnoula, C.; Morel, L.; Lobaccaro, J.M.; Simpore, J. Anticancer activity of essential oils and their chemical components—A review. Am. J. Cancer Res. 2014, 4, 591–607. [Google Scholar] [PubMed]
- Monajemi, R.; Oryan, S.; Haeri-Roohani, A.; Ghannadi, A.; Jafarian, A. Cytotoxic Effects of Essential Oils of Some Iranian Citrus Peels. Iran. J. Pharm. Res. 2010, 4, 183–187. [Google Scholar] [CrossRef]
- Lungu-Mitea, S.; Oskarsson, A.; Lundqvist, J. Development of an oxidative stress in vitro assay in zebrafish (Danio rerio) cell lines. Sci. Rep. 2018, 8, 12380. [Google Scholar] [CrossRef]
- Loutfy, S.A.; Hanaa, M.; Alam, E.D.; Mostafa, H.E.; Allam, N.G.; Abdellah, A.M. Synthesis, characterization and cytotoxic evaluation of chitosan nanoparticles: In vitro liver cancer model. Adv. Nat. Sci. Nanosci. Nanotechnol. 2016, 7, 955–961. [Google Scholar] [CrossRef]
Publisher’s Note: MDPI stays neutral with regard to jurisdictional claims in published maps and institutional affiliations. |
© 2022 by the authors. Licensee MDPI, Basel, Switzerland. This article is an open access article distributed under the terms and conditions of the Creative Commons Attribution (CC BY) license (https://creativecommons.org/licenses/by/4.0/).




