Liquid Organic Hydrogen Carriers: Hydrogenation Thermodynamics of Aromatic Esters
Abstract
1. Introduction
- -
- Step I: firstly, the high-level QC method was used to obtain the (g) and (g)-values.
- -
- Step II: the absolute vapour pressures of the reactants were taken from the literature or measured. The various empirical methods were used to evaluate and validate the and values.
- -
- Step III: the liquid-phase properties (liq) and (liq) were derived from the results of the first and second steps. These results were used to calculate the (liq), (liq), and (liq) of a desired reaction, and all three variables were analysed.
2. Experimental and Theoretical Methods
3. Results and Discussion
3.1. Step I: The Gas-Phase Enthalpies of Formation from Quantum-Chemical Calculations
3.2. Step II: Vaporisation Thermodynamics
3.2.1. Experimental Absolute Vapour Pressures
3.2.2. Experimental Standard Molar Enthalpies of Vaporisation
3.2.3. Validation of Enthalpies of Vaporisation by Empirical Correlations: Kovats Indices Jx
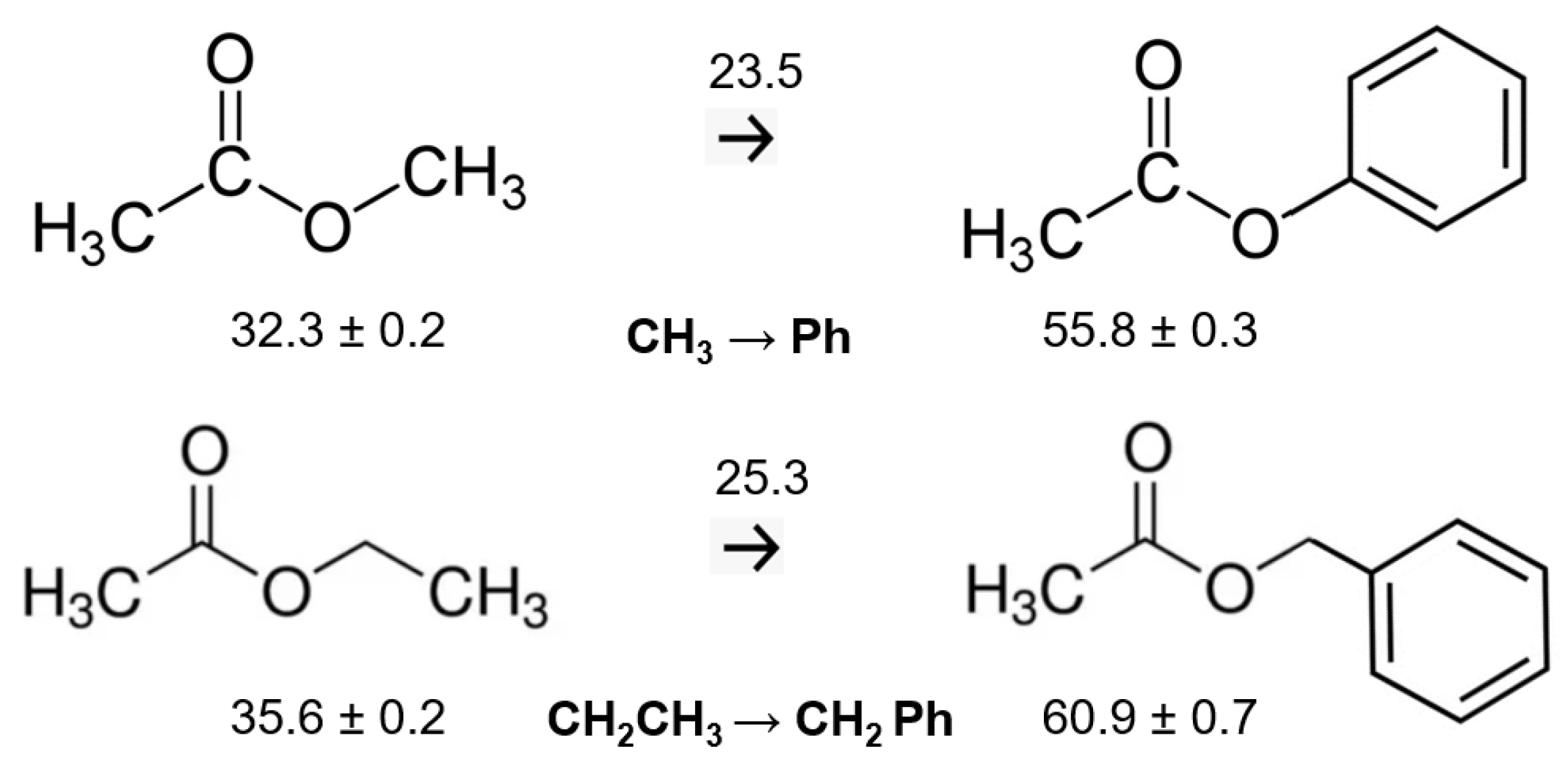
3.2.4. Validation of Enthalpies of Vaporisation via Structure–Property Correlations: “Centerpiece” Approach
3.2.5. Validation of Enthalpies of Vaporisation via Structure–Property Correlations: Correlation of the Parent Structures
3.2.6. Entropies of Vaporisation and Absolute Entropies in Gaseous and Liquid State
3.3. Step III: Thermodynamic Analysis of the Hydrogenation Reactions of Aromatic Esters
3.3.1. Liquid-Phase Enthalpies of Formation and Liquid-Phase Reaction Enthalpies
3.3.2. Correlation of Enthalpies of Formation of the Parent Structures
3.3.3. Energetics of Hydrogenation Reactions Based on Aromatic Esters
3.3.4. Liquid-Phase Reaction Entropies
3.3.5. Gibbs Energies and Thermodynamic Analysis of the Hydrogenation Reaction
4. Conclusions
Supplementary Materials
Author Contributions
Funding
Data Availability Statement
Conflicts of Interest
References
- Preuster, P.; Alekseev, A.; Wasserscheid, P. Hydrogen Storage Technologies for Future Energy Systems. Annu. Rev. Chem. Biomol. Eng. 2017, 8, 445–471. [Google Scholar] [CrossRef] [PubMed]
- Serrano-Ruiz, J.C. Biomass: A Renewable Source of Fuels, Chemicals and Carbon Materials. Molecules 2020, 25, 5217. [Google Scholar] [CrossRef] [PubMed]
- Tana, T.; Zhang, Z.; Beltramini, J.; Zhu, H.; Ostrikov, K.K.; Bartley, J.; Doherty, W. Valorization of native sugarcane bagasse lignin to bio-aromatic esters/monomers via a one pot oxidation–hydrogenation process. Green Chem. 2019, 21, 861–873. [Google Scholar] [CrossRef]
- Zhuang, X.; Tong, X.; Yan, Y.; Xue, S.; Yu, L.; Li, Y. Gold-mediated selective transformation of lignin models to aromatic esters in the presence of molecular oxygen. Catal. Today 2017, 298, 190–196. [Google Scholar] [CrossRef]
- Verevkin, S.P.; Elbakari, A.V.; Vostrikov, S.V.; Nagrimanov, R.N.; Varfolomeev, M.A. Renewable Platform Chemicals: Evaluation of Experimental Data for Alkyl Benzoates with Complementary Measurements, Structure–Property Correlations, and Quantum Chemical Calculations. J. Chem. Eng. Data 2024, 69, 380–399. [Google Scholar] [CrossRef]
- Frisch, M.J.; Trucks, G.W.; Schlegel, H.B.; Scuseria, G.E.; Robb, M.A.; Cheeseman, J.R.; Scalmani, G.; Barone, V.; Petersson, G.A.; Nakatsuji, H.; et al. Gaussian 16, Revision C.01; Gaussian, Inc.: Wallingford, CT, USA, 2016. [Google Scholar]
- Pracht, P.; Bohle, F.; Grimme, S. Automated exploration of the low-energy chemical space with fast quantum chemical methods. Phys. Chem. Chem. Phys. 2020, 22, 7169–7192. [Google Scholar] [CrossRef]
- Curtiss, L.A.; Redfern, P.C.; Raghavachari, K. Gaussian-4 theory. J. Chem. Phys. 2007, 126, 084108. [Google Scholar] [CrossRef]
- Petersson, G.A.; Bennett, A.; Tensfeldt, T.G.; Al-Laham, M.A.; Shirley, W.A.; Mantzaris, J. A complete basis set model chemistry. I. The total energies of closed-shell atoms and hydrides of the first-row elements. J. Chem. Phys. 1988, 89, 2193–2218. [Google Scholar] [CrossRef]
- Maksimuk, Y.V.; Kabo, G.J.; Simirsky, V.V.; Kozyro, A.A.; Sevruk, V.M. Standard Enthalpies of Formation of Some Methyl Esters of Benzene Carboxylic Acids. J. Chem. Eng. Data 1998, 43, 293–298. [Google Scholar] [CrossRef]
- Wadsö, I.; Thurmann-Moe, T.; Westrum, E.F., Jr.; Levitin, N.E.; Westin, G. Heats of Hydrolysis of Phenyl Acetate and Phenyl Thiolacetate. Acta Chem. Scand. 1960, 14, 561–565. [Google Scholar] [CrossRef]
- Adams, G.P.; Fine, D.H.; Gray, P.; Laye, P.G. Heat of formation of phenyl benzoate and related bond dissociation energies. J. Chem. Soc. B Phys. Org. 1967, 720–722. [Google Scholar] [CrossRef]
- Carson, A.S.; Fine, D.H.; Gray, P.; Laye, P.G. Standard enthalpies of formation of diphenyl oxalate and benzoic anhydride and some related bond dissociation energies. J. Chem. Soc. B Phys. Org. 1971, 1611–1615. [Google Scholar] [CrossRef]
- Verevkin, S.P.; Pimerzin, A.A.; Glotov, A.P.; Vutolkina, A.V. Biofuels energetics: Reconciliation of calorific values of fatty acids methyl esters with help of complementary measurements and structure–property relationships. Fuel 2022, 329, 125460. [Google Scholar] [CrossRef]
- Stryjek, R.; Jackowski, A.; Luszczyk, M. Some thermodynamic properties of phenyl and benzyl esters of phenylacetic acid. Bull. l’Academie Pol. des Sci. Ser. des Sci. Chim. 1979, 27, 137–139. [Google Scholar]
- Kováts, E. Gas-chromatographische Charakterisierung organischer Verbindungen. Teil 1: Retentionsindices aliphatischer Halogenide, Alkohole, Aldehyde und Ketone. Helv. Chim. Acta 1958, 41, 1915–1932. [Google Scholar] [CrossRef]
- Korhonen, I.O.O.; Lind, M.A. Gas—Liquid chromatographic analyses: XXXV. Capillary column studies of C1 C12n-alkyl esters of benzoic and monochlorobenzoic acids. J. Chromatogr. A 1985, 322, 83–96. [Google Scholar] [CrossRef]
- Tudor, E.; Moldovan, D.; Zârna, N. Temperature dependence of the retention index for perfumery compounds on two carbowax-20M glass capillary columns with different film thickness. 2. Rev. Roum. Chim. 1999, 44, 665–675. [Google Scholar]
- Anthoney, M.E.; Carson, A.S.; Laye, P.G. Enthalpy of formation of phenyl formate and related bond dissociation energies. J. Chem. Soc. Perkin Trans. 1976, 2, 1032–1036. [Google Scholar] [CrossRef]
- Stull, D.R. Vapor Pressure of Pure Substances. Organic and Inorganic Compounds. Ind. Eng. Chem. 1947, 39, 517–540. [Google Scholar] [CrossRef]
- Haarmann, N.; Siewert, R.; Samarov, A.A.; Verevkin, S.P.; Held, C.; Sadowski, G. Thermodynamic Properties of Systems Comprising Esters: Experimental Data and Modeling with PC-SAFT and SAFT-γMie. Ind. Eng. Chem. Res. 2019, 58, 6841–6849. [Google Scholar] [CrossRef]
- Verevkin, S.P.; Andreeva, I.V.; Zherikova, K.V.; Pimerzin, A.A. Prediction of thermodynamic properties: Centerpiece approach—How do we avoid confusion and get reliable results? J. Therm. Anal. Calorim. 2022, 147, 8525–8534. [Google Scholar] [CrossRef]
- NIST Chemistry WebBook. Available online: https://webbook.nist.gov/chemistry/ (accessed on 8 August 2024).
- Pedley, J.B.; Naylor, R.D.; Kirby, S.P. Thermochemical Data of Organic Compounds, 2nd ed.; Chapman and Hall: New York, NY, USA, 1986; pp. 1–792. [Google Scholar]
- Müller, K.; Stark, K.; Emel’yanenko, V.N.; Varfolomeev, M.A.; Zaitsau, D.H.; Shoifet, E.; Schick, C.; Verevkin, S.P.; Arlt, W. Liquid Organic Hydrogen Carriers: Thermophysical and Thermochemical Studies of Benzyl- and Dibenzyl-toluene Derivatives. Ind. Eng. Chem. Res. 2015, 54, 7967–7976. [Google Scholar] [CrossRef]
- Zaitsau, D.H.; Emel’yanenko, V.N.; Pimerzin, A.A.; Verevkin, S.P. Benchmark properties of biphenyl as a liquid organic hydrogen carrier: Evaluation of thermochemical data with complementary experimental and computational methods. J. Chem. Thermodyn. 2018, 122, 1–12. [Google Scholar] [CrossRef]
- Zheng, Y.; Clarkson, G.J.; Wills, M. Asymmetric Transfer Hydrogenation of o -Hydroxyphenyl Ketones: Utilizing Directing Effects That Optimize the Asymmetric Synthesis of Challenging Alcohols. Org. Lett. 2020, 22, 3717–3721. [Google Scholar] [CrossRef]
- Verevkin, S.P. Chapter 1. Pure Component Phase Changes Liquid and Gas in Experimental Thermodynamics: Measurement of the Thermodynamic Properties of Multiple Phases; Elsevier: Amsterdam, The Netherlands, 2005. [Google Scholar]
- Kulikov, D.; Verevkin, S.P.; Heintz, A. Determination of Vapor Pressures and Vaporization Enthalpies of the Aliphatic Branched C 5 and C 6 Alcohols. J. Chem. Eng. Data 2001, 46, 1593–1600. [Google Scholar] [CrossRef]
- Verevkin, S.P.; Sazonova, A.Y.; Emel’yanenko, V.N.; Zaitsau, D.H.; Varfolomeev, M.A.; Solomonov, B.N.; Zherikova, K.V. Thermochemistry of Halogen-Substituted Methylbenzenes. J. Chem. Eng. Data 2015, 60, 89–103. [Google Scholar] [CrossRef]
- Emel’yanenko, V.N.; Verevkin, S.P. Benchmark Thermodynamic Properties of 1,3-Propanediol: Comprehensive Experimental and Theoretical Study. J. Chem. Thermodyn. 2015, 85, 111–119. [Google Scholar] [CrossRef]
- Fuchs, R. Heat Capacities of Some Liquid Aliphatic, Alicyclic, and Aromatic Esters at 298. 15 K. J. Chem. Thermodyn. 1979, 11, 959–961. [Google Scholar] [CrossRef]
- Chickos, J.S.; Hosseini, S.; Hesse, D.G.; Liebman, J.F. Heat Capacity Corrections to a Standard State: A Comparison of New and Some Literature Methods for Organic Liquids and Solids. Struct. Chem. 1993, 4, 271–278. [Google Scholar] [CrossRef]
- Steele, W.V.; Chirico, R.D.; Cowell, A.B.; Knipmeyer, S.E.; Nguyen, A. Thermodynamic Properties and Ideal-Gas Enthalpies of Formation for Methyl Benzoate, Ethyl Benzoate, (R)-(+)-Limonene, Tert -Amyl Methyl Ether, Trans -Crotonaldehyde, and Diethylene Glycol. J. Chem. Eng. Data 2002, 47, 667–688. [Google Scholar] [CrossRef]
- Zaitsau, D.H.; Pimerzin, A.A.; Verevkin, S.P. Fatty Acids Methyl Esters: Complementary Measurements and Comprehensive Analysis of Vaporization Thermodynamics. J. Chem. Thermodyn. 2019, 132, 322–340. [Google Scholar] [CrossRef]
- Acree, W.; Chickos, J.S. Phase Transition Enthalpy Measurements of Organic and Organometallic Compounds. Sublimation, Vaporization and Fusion Enthalpies From 1880 to 2015. Part 1. C 1−C 10. J. Phys. Chem. Ref. Data 2016, 45, 033101. [Google Scholar] [CrossRef]
- SciFinder-Chemical Abstracts Service. Available online: http://scifinder.cas.org/ (accessed on 8 August 2024).
- Reaxys. Available online: https://www.reaxys.com/ (accessed on 8 August 2024).
- Guidechem Chemical Network. Available online: https://www.guidechem.com (accessed on 8 August 2024).
- Majer, V.; Svoboda, V. Enthalpies of Vaporization of Organic Compounds: A Critical Review and Data Compilation; Blackwell Scientific Publications: Oxford, UK, 1985. [Google Scholar]
- Semeniuk, B.; Wilczura-Wachnik, H. Vapour–Liquid Equilibria in the Binary and Ternary Mixtures of Methyl Benzoate, Methyl p-Toluate and Dimethyl Terephthalate. Fluid Phase Equilib. 1998, 152, 337–345. [Google Scholar] [CrossRef]
- Ho, H.-Y.; Shu, S.-S.; Wang, S.-J.; Lee, M.-J. Isothermal (Vapour + Liquid) Equilibrium (VLE) for Binary Mixtures Containing Diethyl Carbonate, Phenyl Acetate, Diphenyl Carbonate, or Ethyl Acetate. J. Chem. Thermodyn. 2015, 91, 35–42. [Google Scholar] [CrossRef]
- Zaitsau, D.H.; Verevkin, S.P.; Paulechka, Y.U.; Kabo, G.J.; Sevruk, V.M. Comprehensive Study of Vapor Pressures and Enthalpies of Vaporization of Cyclohexyl Esters. J. Chem. Eng. Data 2003, 48, 1393–1400. [Google Scholar] [CrossRef]
- Stephenson, R.M.; Malanowski, S. Handbook of the Thermodynamics of Organic Compounds; Springer: Dordrecht, The Netherlands, 1987; ISBN 978-94-010-7923-5. [Google Scholar]













| Ester, CAS | (g)AT a | (g)exp b | (g)QC c | Δ d |
|---|---|---|---|---|
| phenyl 2-phenylacetate, [722-01-0] | −161.2 | −159.0 | ||
| cyclohexyl 2-phenylacetate, [42288-75-5] | −388.6 | −385.6 | ||
| phenyl cyclohexaneacetate, [351874-85-6] | −369.0 | −366.0 | ||
| benzyl 2-phenylacetate, [102-16-9] | −192.8 | −190.4 | ||
| cyclohexylmethyl 2-phenylacetate, [10397-53-2] | −405.0 | −401.9 | ||
| benzyl 2-cyclohexylacetate, [77100-94-8] | −399.3 | −396.2 | ||
| methyl benzoate, [93-58-3] | −278.7 | −274.5 ± 0.7 [5] | −276.1 | 1.6 |
| ethyl benzoate, [93-89-0] | −312.0 | −309.6 ± 2.9 [5] | −309.2 | −0.4 |
| propyl benzoate, [2315-68-6] | −332.5 | −331.3 ± 5.1 [5] | −329.7 | −1.6 |
| butyl benzoate, [136-60-7] | −353.6 | −351.8 ± 2.9 [5] | −350.7 | −1.1 |
| methyl 2-methylbenzoate, [89-71-4] | −305.6 | −301.5 ± 1.9 [10] | −302.9 | 1.4 |
| methyl 3-methylbenzoate, [99-36-5] | −312.7 | −309.6 ± 1.6 [10] | −309.9 | 0.3 |
| methyl 4-methylbenzoate, [99-75-2] | −313.6 | −308.7 ± 1.6 [10] | −310.8 | 2.1 |
| phenyl acetate, [122-79-2] | −274.9 | −274.2 ± 1.5 [11] | −272.3 | −1.9 |
| phenyl benzoate, [93-99-2] | −142.7 | −140.8 ± 2.4 [12,13] | −140.5 | −0.3 |
| cyclohexyl benzoate, [2412-73-9] | −369.9 | −366.9 | ||
| cyclohexanecarboxylic acid phenyl ester, [3954-12-9] | −344.9 | −342.0 | ||
| benzyl benzoate, [120-51-4] | −172.0 | −169.6 | ||
| cyclohexylmethyl benzoate, [14135-40-1] | −383.6 | −380.6 | ||
| cyclohexanecarboxylic acid benzyl ester, [22733-94-4] | −376.1 | −373.1 |
| Ester, CAS | (g)AT a | (g)exp b | (g)QC c | Δ d |
|---|---|---|---|---|
| cyclohexyl cyclohexaneacetate, [500696-30-0] | −595.2 | −589.6 | ||
| cyclohexylmethyl 2-cyclohexylacetate, [86328-74-7] | −609.1 | −603.1 | ||
| cyclohexanecarboxylic acid cyclohexyl ester, [15840-96-7] | −570.9 | −566.1 | ||
| cyclohexanecarboxylic acid cyclohexylmethyl ester, [2611-02-1] | −584.5 | −579.2 | ||
| methyl acetate, [79-20-9] | −411.6 | −411.9 ± 1.6 | −411.6 | −0.3 |
| ethyl acetate, [141-78-6] | −443.5 | −444.1 ± 0.6 | −442.5 | −1.6 |
| ethyl propionate, [105-37-3] | −465.1 | −463.6 ± 0.8 | −463.5 | −0.1 |
| isopropyl acetate, [108-21-4] | −482.2 | −481.7 ± 0.8 | −480.0 | −1.7 |
| n-butyl acetate, [123-86-4] | −485.2 | −485.6 ± 0.7 | −482.9 | −2.7 |
| methyl pentanoate, [624-24-8] | −475.9 | −471.2 ± 0.9 | −473.9 | 2.7 |
| methyl hexanoate, [106-70-7] | −497.4 | −492.0 ± 1.0 | −494.8 | 2.8 |
| methyl heptanoate, [106-73-0] | −515.7 | −514.2 ± 0.9 | −512.5 | −1.7 |
| methyl octanoate, [111-11-5] | −537.4 | −533.1 ± 1.0 | −533.6 | 0.5 |
| methyl nonanoate, [1731-84-6] | −555.7 | −554.3 ± 1.5 | −551.3 | −3.0 |
| methyl decanoate, [110-42-9] | −580.8 | −574.0 ± 1.8 | −575.7 | 1.7 |
| T/ K a | m/ mg b | V(N2) c/ dm3 | Flow/ dm3·h−1 | p/ Pa d | u(p)/ Pa e | / kJ·mol−1 | / J·K−1·mol−1 | |||||||
|---|---|---|---|---|---|---|---|---|---|---|---|---|---|---|
| benzyl 2-phenylacetate [102-16-9]; (298 K) = 88.2 ± 0.7 kJ.mol−1; (298 K) = 164.9 ± 1.5 J·K−1·mol−1; (298 K) = 39.1 ± 0.1 kJ.mol−1 ; pref = 1 Pa | ||||||||||||||
| 325.7 | 0.37 | 14.64 | 5.12 | 0.29 | 0.01 | 85.9 | 157.8 | |||||||
| 329.4 | 0.33 | 9.392 | 5.12 | 0.40 | 0.02 | 85.6 | 156.6 | |||||||
| 332.5 | 0.32 | 6.831 | 5.12 | 0.54 | 0.02 | 85.4 | 155.8 | |||||||
| 337.1 | 0.37 | 5.379 | 5.12 | 0.80 | 0.03 | 85.0 | 154.5 | |||||||
| 338.4 | 0.35 | 4.525 | 5.12 | 0.89 | 0.03 | 84.9 | 154.2 | |||||||
| 341.3 | 0.42 | 4.184 | 5.12 | 1.15 | 0.03 | 84.6 | 153.4 | |||||||
| 344.8 | 0.51 | 3.757 | 5.12 | 1.55 | 0.04 | 84.3 | 152.5 | |||||||
| 349.6 | 0.45 | 2.135 | 5.12 | 2.41 | 0.07 | 83.9 | 151.7 | |||||||
| 352.8 | 0.50 | 1.878 | 5.12 | 3.09 | 0.08 | 83.7 | 150.8 | |||||||
| 357.4 | 0.54 | 1.409 | 5.12 | 4.39 | 0.11 | 83.3 | 149.6 | |||||||
| 361.3 | 0.77 | 1.494 | 5.12 | 5.96 | 0.17 | 82.9 | 148.7 | |||||||
| 367.2 | 1.04 | 1.281 | 5.12 | 9.38 | 0.26 | 82.5 | 147.5 | |||||||
| 371.7 | 1.52 | 1.281 | 5.12 | 13.63 | 0.37 | 82.1 | 146.8 | |||||||
| Compounds | Method a | T-Range/K | Tav | 298 K b | Ref |
|---|---|---|---|---|---|
| phenyl 2-phenylacetate | E | 404.5–525.4 | 69.1 ± 1.3 | 81.7 ± 2.8 | [15] |
| [722-01-0] | BP | 418–590 | 70.3 ± 2.5 | 85.8 ± 4.0 | Table S4 |
| CP | 84.5 ± 1.5 | Figure S2 | |||
| Jx | 85.9 ± 1.5 | Table 5 | |||
| 84.9 ± 1.1 c | average | ||||
| cyclohexyl 2-phenylacetate | CP | 80.9 ± 1.5 | Figure S4 | ||
| [42288-75-5] | BP | 356–612 | 69.4 ± 1.5 | 82.3 ± 3.0 | Table S4 |
| SP | 80.8 ± 1.5 | Table 7 | |||
| 81.0 ± 1.0 c | average | ||||
| phenyl cyclohexaneacetate | CP | 79.5 ± 1.7 | Figure S5 | ||
| [351874-85-6] | BP | 368–591 | 65.7 ± 1.9 | 79.1 ± 3.3 | Table S4 |
| SP | 82.4 ± 2.0 | Table 9 | |||
| 80.5 ± 1.2 c | average | ||||
| cyclohexyl cyclohexaneacetate | CP | 76.0 ± 1.7 | Figure S6 | ||
| [500696-30-0] | SP | 82.4 ± 2.0 | Table 8 | ||
| 80.5 ± 1.2 c | average | ||||
| benzyl 2-phenylacetate | E | 426.5–521.5 | 75.3 ± 1.2 | 89.7 ± 3.1 | [15] |
| [102-16-9] | BP | 402–593 | 71.5 ± 1.5 | 87.5 ± 3.5 | Table S4 |
| T | 325.7–371.7 | 84.1 ± 0.5 | 88.2 ± 0.7 | Table 1 | |
| CP | 89.3 ± 1.5 | Figure 2 | |||
| Jx | 87.9 ± 1.5 | Table 5 | |||
| 88.4 ± 0.6 c | average | ||||
| cyclohexylmethyl 2-phenylacetate | CP | 84.5 ± 1.5 | Figure S4 | ||
| [10397-53-2] | SP | 84.4 ± 1.5 | Table 7 | ||
| 84.5 ± 1.1 c | average | ||||
| benzyl 2-cyclohexylacetate | CP | 86.4 ± 1.7 | Figure S5 | ||
| [77100-94-8] | SP | 85.4 ± 2.0 | Table 9 | ||
| 86.0 ± 1.3 c | average | ||||
| cyclohexylmethyl 2-cyclohexyl- | CP | 81.6 ± 1.7 | Figure S6 | ||
| acetate, [86328-74-7] | SP | 80.9 ± 1.5 | Table 8 | ||
| 81.2 ± 1.1 c | average |
| Compound | Jx a | (298 K)exp b | (298 K)calc c | Δ d |
|---|---|---|---|---|
| kJ·mol−1 | kJ·mol−1 | kJ·mol−1 | ||
| phenyl methanoate, 1864-94-4] | 980 | 52.9 ± 0.7 [19] | 53.0 | −0.1 |
| phenyl propanoate, [637-27-4] | 1151 | 60.3 ± 1.4 [20] | 60.1 | 0.2 |
| benzyl methanoate, [104-57-4] | 1058 | 57.3 ± 1.4 [20] | 56.2 | 1.1 |
| benzyl acetate, [140-11-4] | 1154 | 60.9 ± 0.7 [21] | 60.2 | 0.7 |
| benzyl propanoate, [122-63-4] | 1245 | 64.2 ± 1.0 [21] | 63.9 | 0.3 |
| benzyl butanoate, [103-37-7] | 1337 | 68.1 ± 0.6 [21] | 67.8 | 0.3 |
| ethyl benzoate, [93-89-0] | 1171 | 60.0 ± 0.4 [5] | 60.9 | −0.9 |
| propyl benzoate, [2315-68-6] | 1268 | 64.4 ± 0.8 [5] | 64.9 | −0.5 |
| butyl benzoate, [120-51-4] | 1365 | 68.7 ± 0.7 [5] | 68.9 | −0.2 |
| n-pentyl benzoate, [2049-96-9] | 1466 | 72.0 ± 0.6 [5] | 73.1 | −1.1 |
| n-hexyl benzoate, [6789-88-4] | 1567 | 76.0 ± 0.8 [5] | 77.3 | −1.3 |
| n-heptyl benzoate, [7155-12-6] | 1667 | 82.7 ± 2.1 [5] | 81.4 | 1.3 |
| n-octyl benzoate, [94-50-8] | 1765 | 85.0 ± 0.7 [5] | 85.5 | −0.5 |
| n-nonyl benzoate, [5451-95-6] | 1866 | 89.5 ± 0.7 [5] | 89.7 | −0.2 |
| n-decyl benzoate, [36685-97-9] | 1965 | 93.5 ± 0.7 [5] | 93.8 | −0.3 |
| n-undecyl benzoate, [6316-30-9] | 2066 | 97.7 ± 0.7 [5] | 97.9 | −0.2 |
| n-dodecyl benzoate, [2915-72-2] | 2168 | 102.0 ± 0.7 [5] | 102.2 | −0.2 |
| n-tridecyl benzoate, [29376-83-8] | 2266 | 106.6 ± 0.7 [5] | 106.2 | 0.4 |
| n-tetradecyl benzoate, [70682-72-3] | 2368 | 110.7 ± 0.7 [5] | 110.4 | 0.3 |
| n-pentadecyl benzoate, [102702-75-0] | 2468 | 115.9 ± 2.9 [5] | 114.6 | 1.3 |
| n-hexadecyl benzoate, [22485-54-7] | 2567 | 118.5 ± 3.0 [5] | 118.7 | −0.2 |
| n-heptadecyl benzoate, [103167-99-3] | 2677 | 122.9 ± 3.7 [5] | 123.2 | −0.3 |
| phenyl 2-phenylacetate, [722-01-0] | 1772 | 85.9 | ||
| benzyl 2-phenylacetate, [102-16-9] | 1818 | 87.9 | ||
| phenyl benzoate, [93-99-2] | 1604 | 78.8 | ||
| benzyl benzoate, [120-51-4] | 1736 | 84.3 |
| Ph-B | Ch-B | Ch-Ch | |||
|---|---|---|---|---|---|
![]() | 78.8 ± 1.5 [Table 5] | ![]() | 74.8 ± 2.4 [Table S4] | ![]() | 70.8 ± 2.3 [Table S4] |
![]() | 84.3 ± 1.5 [Table 5] | ![]() | 79.5 ± 2.8 [Table S4] | ![]() | 77.6 ± 3.4 [Table S4] |
![]() | 84.9 ± 1.1 [Table 4] | ![]() | 81.2 ± 1.5 a [Table 4] | ![]() | 79.4 ± 1.5 a [Table 4] |
![]() | 88.4 ± 1.1 [Table 4] | ![]() | 84.5 ± 1.5 [Table 4] | ![]() | 86.4 ± 1.7 [Table 4] |
| Ph-B | (exp) a | Ch-B | (exp) a | (est) b | Δ c |
|---|---|---|---|---|---|
![]() | 78.8 ± 1.5 | ![]() | 74.8 ± 2.4 | 74.7 | 0.1 |
![]() | 84.3 ± 1.5 | ![]() | 79.5 ± 2.8 | 80.2 | −0.7 |
![]() | 84.9 ± 1.1 | ![]() | 81.2 ± 1.5 | 80.8 | 0.4 |
![]() | 88.4 ± 1.1 | ![]() | 84.5 ± 1.5 | 84.4 | 0.1 |
| Ph-B | (exp) a | Ch-Ch | (exp) a | (est) b | Δ c |
|---|---|---|---|---|---|
![]() | 78.8 ± 1.5 | ![]() | 76.5 ± 3.2 | 70.4 | 0.4 |
![]() | 84.3 ± 1.5 | ![]() | 82.8 ± 1.5 | 76.4 | 0.2 |
![]() | 84.9 ± 1.1 | ![]() | 79.4 ± 1.5 | 77.1 | −1.1 |
![]() | 88.4 ± 1.1 | ![]() | 86.4 ± 1.7 | 80.9 | 0.7 |
| Ch-B | (exp) a | Ph-Ch | (exp) | (est) b | Δ c |
|---|---|---|---|---|---|
![]() | 74.8 ± 2.4 | ![]() | 76.5 ± 3.2 [Table S4] | 76.5 | 0.0 |
![]() | 79.5 ± 2.8 | ![]() | 82.8 ± 1.5 d | 80.8 | 2.0 |
![]() | 81.2 ± 1.5 | ![]() | 79.4 ± 1.5 e | 82.4 | −3.0 |
![]() | 84.5 ± 1.5 | ![]() | 86.4 ± 1.7 [Table 4] | 85.4 | 1.0 |
| Compound, [CAS] | a | (g) b | (liq) c |
|---|---|---|---|
| phenyl 2-phenylacetate [722-01-0] | 160.6 | 515.4 | 354.8 |
| cyclohexyl 2-phenylacetate [42288-75-5] | 153.4 | 528.3 | 374.9 |
| phenyl cyclohexaneacetate [351874-85-6] | 149.3 | 527.9 | 378.6 |
| cyclohexyl cyclohexaneacetate [500696-30-0] | 150.0 | 546.7 | 396.7 |
| benzyl 2-phenylacetate [102-16-9] | 163.3 | 550.9 | 387.6 |
| cyclohexylmethyl 2-phenylacetate [10397-53-2] | 158.3 | 566.1 | 407.8 |
| benzyl 2-cyclohexylacetate [77100-94-8] | 158.3 | 555.3 | 397.0 |
| cyclohexylmethyl 2-cyclohexylacetate [86328-74-7] | 158.3 | 579.4 | 421.1 |
| phenyl benzoate [93-99-2] | 150.4 | 467.6 | 317.2 |
| cyclohexyl benzoate [2412-73-9] | 146.8 | 487.2 | 340.4 |
| cyclohexanecarboxylic acid phenyl ester [3954-12-9] | 148.2 | 496.7 | 348.5 |
| cyclohexanecarboxylic acid cyclohexyl ester [15840-96-7] | 142.4 | 520.0 | 377.6 |
| benzyl benzoate [120-51-4] | 156.4 | 498.1 | 341.7 |
| cyclohexylmethyl benzoate [14135-40-1] | 151.2 | 516.6 | 365.4 |
| cyclohexanecarboxylic acid benzyl ester [22733-94-4] | 150.0 | 532.2 | 382.2 |
| cyclohexanecarboxylic acid cyclohexylmethyl ester [2611-02-1] | 150.7 | 558.1 | 407.4 |
| benzene, [71-43-2] | 173.3 [23] | ||
| cyclohexane, [110-82-7] | 298.2 [23] | −203.9 [23] | |
| toluene, [108-88-3] | 221.0 [23] | ||
| methyl cyclohexane, [108-87-2] | 343.2 [23] | 247.9 [23] | |
| methyl benzoate, [93-58-3] | 121.5 [5] | 391.0 | 269.5 |
| cyclohexanecarboxylic acid methyl ester, [4630-82-4] | 120.4 | 424.2 | 303.8 |
| ethyl benzoate, [93-89-0] | 132.6 [5] | 418.8 | 286.2 |
| cyclohexanecarboxylic acid ethyl ester, [3289-28-9] | 127.2 | 451.8 | 342.6 |
| Ester | (g)QC a | b | (liq)emp c |
|---|---|---|---|
| phenyl 2-phenylacetate [722-01-0] | −159.0 ± 3.5 | 84.9 ± 1.1 | −243.9 ± 3.7 |
| cyclohexyl 2-phenylacetate [42288-75-5] | −385.6 ± 3.5 | 81.0 ± 1.0 | −466.6 ± 3.6 |
| phenyl cyclohexaneacetate [351874-85-6] | −366.0 ± 3.5 | 80.5 ± 1.2 | −446.5 ± 3.7 |
| cyclohexyl cyclohexaneacetate [500696-30-0] | −589.6 ± 3.5 | 76.6 ± 1.1 | −666.2 ± 3.7 |
| benzyl 2-phenylacetate [102-16-9] | −190.4 ± 3.5 | 88.4 ± 1.1 | −278.8 ± 3.6 |
| cyclohexylmethyl 2-phenylacetate [10397-53-2] | −401.9 ± 3.5 | 84.5 ± 1.1 | −486.4 ± 3.7 |
| benzyl 2-cyclohexylacetate [77100-94-8] | −396.2 ± 3.5 | 86.0 ± 1.3 | −482.2 ± 3.7 |
| cyclohexylmethyl 2-cyclohexylacetate [86328-74-7] | −603.1 ± 3.5 | 81.2 ± 1.1 | −684.3 ± 3.7 |
| Ph-B | (liq) a | Ph-Ch | (liq) a | (liq)est b | Δ c |
|---|---|---|---|---|---|
![]() | −219.3 ± 3.8 | ![]() | −418.5 ± 4.7 | −419.1 | 0.6 |
![]() | −253.9 ± 3.5 | ![]() | −455.9 ± 3.8 | −456.0 | 0.1 |
![]() | −243.9 ± 3.7 | ![]() | −446.5 ± 3.7 | −445.3 | −1.2 |
![]() | −278.8 ± 3.6 | ![]() | −482.2 ± 3.7 | −482.6 | 0.4 |
| Ch-B | (liq) a | Ch-Ch | (liq) a | (liq)estb | Δ c |
|---|---|---|---|---|---|
![]() | −441.7 ± 4.2 | ![]() | −636.9 ± 4.2 | −637.2 | 0.3 |
![]() | −460.1 ± 4.5 | ![]() | −655.8 ± 4.9 | −657.1 | 1.3 |
![]() | −466.6 ± 3.6 | ![]() | −666.2 ± 3.7 | −664.1 | −2.1 |
![]() | −486.4 ± 3.7 | ![]() | −684.7 ± 3.7 | −685.5 | 0.8 |
| R a | b (298 K) | c (298 K) | d (298 K) | e (298 K) | f (400 K) | g (500 K) |
|---|---|---|---|---|---|---|
| kJ·mol−1 | J·mol−1·K−1 | J·mol−1·K−1 | kJ·mol−1 | kJ·mol−1 | kJ·mol−1 | |
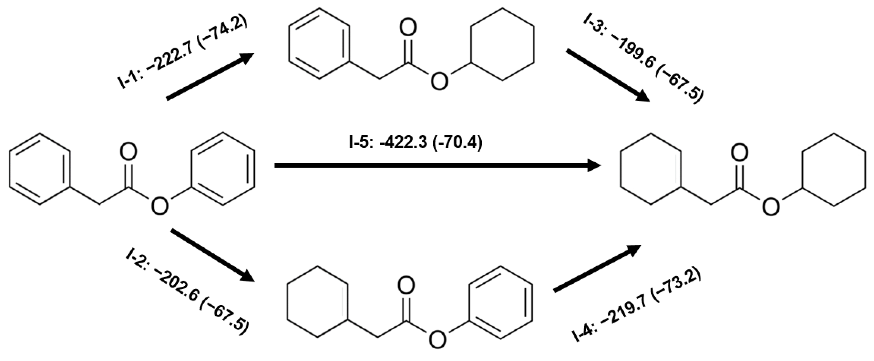
| I-1 | −222.7 | −371.9 | −65.8 | −111.8 | −73.0 | −32.9 |
| I-2 | −202.6 | −368.2 | −65.8 | −92.8 | −54.4 | −14.7 |
| I-3 | −199.6 | −370.2 | −65.8 | −89.2 | −50.6 | −10.7 |
| I-4 | −219.7 | −373.9 | −65.8 | −108.2 | −69.2 | −28.9 |
| I-5 | −422.3 (−211.15) h | −742.2 (−371.1) h | −131.6 | −201.0 | −123.6 | −43.8 |
| II-1 | −207.6 | −371.8 | −65.8 | −96.7 | −57.9 | −17.9 |
| II-2 | −203.4 | −382.6 | −65.8 | −89.3 | −49.4 | −8.3 |
| II-3 | −197.9 | −378.7 | −65.8 | −85.0 | −45.5 | −4.7 |
| II-4 | −202.1 | −367.9 | −65.8 | −92.4 | −54.0 | −14.3 |
| II-5 | −405.5 (−202.8) h | −750.6 (−375.3) h | −131.6 | −181.7 | −103.4 | −22.6 |
| III-1 | −222.4 | −368.8 | −56.2 | −112.4 | −74.1 | −34.7 |
| III-2 | −199.2 | −360.7 | −56.2 | −91.6 | −54.1 | −15.6 |
| III-3 | −195.2 | −354.8 | −64.6 | −89.4 | −52.4 | −14.1 |
| III-4 | −218.4 | −362.9 | −64.6 | −110.2 | −72.3 | −33.2 |
| III-5 | −417.6 (−208.8) | −723.7 (−361.9) | −122.0 | −201.8 | −126.4 | −48.7 |
| IV-1 | −206.2 | −368.3 | −65.8 | −96.4 | −57.9 | −18.2 |
| IV-2 | −202.0 | −351.5 | −65.8 | −97.2 | −60.5 | −22.4 |
| IV-3 | −195.7 | −350.0 | −65.8 | −90.8 | −54.8 | −16.9 |
| IV-4 | −199.9 | −366.8 | −65.8 | −90.5 | −52.2 | −12.7 |
| IV-5 | −401.9 (−201.0) h | −718.4 (−359.2) h | −131.6 | −187.7 | −112.7 | −35.1 |
| V-1 | −205.4 | −361.4 | −66.5 | −97.6 | −59.9 | −20.8 |
| V-2 | −203.1 | −365.1 | −59.7 | −94.2 | −56.2 | −17.1 |
| V-3 | −202.4 | −357.7 | −56.2 | −95.7 | −58.5 | −20.3 |
| V-4 | −204.6 | −335.6 | −60.3 | −104.5 | −69.5 | −33.3 |
Disclaimer/Publisher’s Note: The statements, opinions and data contained in all publications are solely those of the individual author(s) and contributor(s) and not of MDPI and/or the editor(s). MDPI and/or the editor(s) disclaim responsibility for any injury to people or property resulting from any ideas, methods, instructions or products referred to in the content. |
© 2024 by the authors. Licensee MDPI, Basel, Switzerland. This article is an open access article distributed under the terms and conditions of the Creative Commons Attribution (CC BY) license (https://creativecommons.org/licenses/by/4.0/).
Share and Cite
Verevkin, S.P.; Samarov, A.A.; Vostrikov, S.V.; Rakhmanin, O.S. Liquid Organic Hydrogen Carriers: Hydrogenation Thermodynamics of Aromatic Esters. Hydrogen 2024, 5, 644-668. https://doi.org/10.3390/hydrogen5030034
Verevkin SP, Samarov AA, Vostrikov SV, Rakhmanin OS. Liquid Organic Hydrogen Carriers: Hydrogenation Thermodynamics of Aromatic Esters. Hydrogen. 2024; 5(3):644-668. https://doi.org/10.3390/hydrogen5030034
Chicago/Turabian StyleVerevkin, Sergey P., Artemiy A. Samarov, Sergey V. Vostrikov, and Oleg S. Rakhmanin. 2024. "Liquid Organic Hydrogen Carriers: Hydrogenation Thermodynamics of Aromatic Esters" Hydrogen 5, no. 3: 644-668. https://doi.org/10.3390/hydrogen5030034
APA StyleVerevkin, S. P., Samarov, A. A., Vostrikov, S. V., & Rakhmanin, O. S. (2024). Liquid Organic Hydrogen Carriers: Hydrogenation Thermodynamics of Aromatic Esters. Hydrogen, 5(3), 644-668. https://doi.org/10.3390/hydrogen5030034





















































