Abstract
Aromatic esters such as phenyl acetates are of interest as promising liquid organic hydrogen carriers (LOHCs) due to the presence of double bonds. However, the key factor for the development of green hydrogen fuel is the production of LOHCs from renewable sources. Since the synthesis and isolation of such esters is a complex task, understanding the relationship between the chemical structures of aromatic esters and their thermodynamic properties is of great importance for their further practical use as LOHCs. Obtaining reliable thermodynamic and thermochemical properties of phenyl and benzyl phenyl acetates formed the basis of this work. Vapour pressures, enthalpies of vaporisation, and enthalpies of formation were systematically studied. An approach based on the structure–property correlation was used to confirm these quantities. Additionally, the high-level quantum-chemical method G4 was used to estimate the enthalpy of formation in the gas phase. The final stage was the assessment of the energetics of chemical reactions based on aromatic esters and their partially and fully hydrogenated analogues.
1. Introduction
Hydrogen has attracted a lot of attention as a carbon-neutral energy resource, but the development of safe and efficient hydrogen storage and transport remains a major challenge. The development of efficient hydrogen storage technology is therefore currently an important focus of research. Increasing the hydrogen-storage capacity while reducing energy consumption is an important task for hydrogen-storage technology. Liquid organic hydrogen carrier (LOHC) systems based on reversible catalytic hydrogenation and dehydrogenation reactions using aromatic compounds have shown great potential for the efficient and stable storage and transport of hydrogen [1]. LOHC technologies, as a good alternative to green hydrogen, are expected to be an important element in a future carbon-neutral economy. Admittedly, any molecule that contains a double bond in its structure can be considered a potential component of the LOHC system. Therefore, the development of basic practical and thermodynamic criteria for analysing the performance of LOHC systems for the efficient storage and release of hydrogen in various technical applications is essential. One of the desired criteria is that the LOHC should preferably be produced from renewable sources, e.g., biomass [2,3]. For example, even if the development of practicable biorefinery routes for the valorisation of lignocellulose into usable products remains a challenge, numerous effective catalytic processes have already been developed for the production of bio-aromatic esters [4]. This makes aromatic esters attractive as a possible component of the LOHC system derived from renewable sources. Therefore, a general understanding of the relationships between the chemical structures of aromatic esters and their thermodynamic properties is essential for their practical use. The focus of this study is on the thermodynamic feasibility of hydrogenation/dehydrogenation processes using aromatic esters as seminal LOHC materials. However, kinetics and catalysis are also important for practical applications, especially considering that the use of oxygen-containing molecules carries the risk of catalyst deactivation. The latter aspects will be investigated in the upcoming studies in our laboratory.
This work is an extension of our previous study on alkyl benzoates as potential LOHC components [5]. Experimental and computational studies were performed on the hydrogenation reactions of the esters shown in Figure 1 and Figure 2.
Figure 1.
System I: structures of phenyl 2-phenylacetate and hydrogenated phenyl 2-phenylacetates studied in this work.
Figure 2.
System II: structures of benzyl 2-phenylacetate and hydrogenated benzyl 2-phenylacetates studied in this work.
The literature data collected in this work, together with the complementary measurements and quantum chemical calculations, have contributed to the thermodynamic analysis of the reactions taking place in both LOHC systems. The detailed workflow of the thermodynamic analysis is presented in the Electronic Supporting Information (ESI). It is based on quantifying and analysing the enthalpic and entropic contributions to the Gibbs–Helmholtz equation according to the following equation:
with = the standard molar Gibbs energy of the reaction; = the standard molar enthalpy of the reaction, = the change in the standard molar entropy of the reaction, and = the gas-phase thermodynamic equilibrium constant. If the reaction takes place in the liquid phase, in Equation (1) is replaced by = the liquid-phase thermodynamic equilibrium constant. The equilibrium constants are directly related to the yield of the reaction product: with the equilibrium constants being ≥1, the already acceptable yields at a particular temperature are expected.
The enthalpic, , and entropic, , contributions to the desired chemical are derived according to Hess’s Law from the experimental data on the enthalpies of formations and entropies of the corresponding reactants. It is obvious that the scope of molecules of interest for hydrogen storage is much larger than the amount of experimental data available for reliable thermodynamic analysis. Therefore, a reasonable combination of experimental and empirical methods should be applied to analyse the potential of LOHC components from a thermodynamic point of view. Together with the experimental methods, quantum chemical (QC) calculations and various types of structure–property correlations help to assess the properties of molecules and reveal the general trends necessary to develop the thermodynamic criteria for successful candidates for LOHC.
Admittedly, the QC calculations are referred to the ideal gas state. However, most industrial chemical reactions take place in the liquid phase. In order to convert the QC results to the liquid phase, data on the thermodynamics of the phase transitions and the vapour pressure of the reactants are therefore required. The corresponding thermodynamic properties are linked according to the following equation:
where (liq) is the liquid-phase standard molar enthalpy of formation, (g) is the gas-phase standard molar enthalpy of formation, and is the standard molar enthalpy of vaporisation. The liquid and gas phase entropies are linked using the following equation:
where (liq) is the liquid-phase standard molar entropy, (g) is the gas-phase entropy, and is the standard molar entropy of vaporisation.
According to the thermodynamic workflow (see the details in ESI), (liq), , and (liq) should therefore be derived for all reactants shown in Figure 1 and Figure 2 in order to perform the thermodynamic analysis of their hydrogenation reactions. Since the synthesis and purification of most of the compounds shown in Figure 1 and Figure 2 is not trivial, a combination of QC, experimental, and empirical methods was used to gain reliable thermodynamic data, which are essential for the optimisation of the hydrogenation reactions. We used the thermodynamic workflow, which consists of the following three steps.
- -
- Step I: firstly, the high-level QC method was used to obtain the (g) and (g)-values.
- -
- Step II: the absolute vapour pressures of the reactants were taken from the literature or measured. The various empirical methods were used to evaluate and validate the and values.
- -
- Step III: the liquid-phase properties (liq) and (liq) were derived from the results of the first and second steps. These results were used to calculate the (liq), (liq), and (liq) of a desired reaction, and all three variables were analysed.
2. Experimental and Theoretical Methods
The sample of phenyl 2-phenylacetate used in this work was of commercial origin (see Table S1). The absolute vapour pressures above the liquid sample were measured using the transpiration method. The standard molar enthalpy of vaporisation was derived from the temperature dependence of the vapour pressures. A concise description of the method and the required details are given in ESI.
For quantum chemical calculations, the software Gaussian 16 series [6] was used. The most stable conformer of each ester was found using a computer program CREST (conformer–rotamer ensemble sampling tool) [7], and the H298-values were calculated using the G4 method [8] under assumption of “rigid rotator-harmonic oscillator”. The total H298-values were finally converted to the gas-phase standard molar enthalpies, (g, 298 K)QC, and discussed. The (g, 298 K)QC values were calculated according to Equation (1) using H298 and G298 from the output file.
3. Results and Discussion
3.1. Step I: The Gas-Phase Enthalpies of Formation from Quantum-Chemical Calculations
The most stable conformers for the esters were localised using the computer code CREST and further optimised using the B3LYP/6-31g(d,p) method [9]. The structures of the most stable conformers of phenyl 2-phenylacetate and benzyl 2-phenylacetate and their hydrogenated products calculated using the G4 method are shown in Figure 3.

Figure 3.
Structure of the most stable conformer of phenyl 2-phenylacetate and benzyl 2-phenylacetate and their hydrogenated products, calculated with the G4 method.
The general atomisation (AT) reaction:
was used to convert the total H298-values available directly from the output file to the standard molar enthalpies of formation (g, 298 K)AT. The results of the quantum-chemical calculations are compiled in Table 1.
CmHnOk = m × C + n × H + k × O
Table 1.
Correlation of the G4 calculated and experimental gas-phase enthalpies of formation (g) at T = 298 K and p° = 0.1 MPa of aromatic ester (in kJ·mol−1).
However, the AT method must be corrected using a linear correlation between the (g, 298 K)AT-values and the experimental enthalpies of formation, (g, 298 K)exp, of a number of molecules containing similar functional groups (as the reactants in Figure 1 and Figure 2) with reliable experimental data on alkyl benzoates (see Table 1). The following linear correlations were determined:
with a very high correlation coefficient R2 = 0.9994, which confirms the high consistency of the data used for this structure–property correlation. This equation was used to obtain the “corrected” G4-results for phenyl and benzyl 2-phenylacetates and their partially hydrogenated products (see Figure 1 and Figure 2).
It turned out that the aliphatic esters exhibit the own correlation, which was developed using the reliable data for series of alkyl acetates and series of methyl alkanoates collected in Table 2.
Table 2.
Correlation of the G4 calculated and experimental gas-phase enthalpies of formation (g) of cyclic aliphatic esters at T = 298.15 K and p° = 0.1 MPa (in kJ·mol−1).
The following linear correlation was developed for the aliphatic saturated esters:
Also for these series, a very good correlation coefficient R2 = 0.9977 proves the high consistency of the data involved in the correlation. This equation was used to obtain the “corrected” G4-results for the fully hydrodenatd products of phenyl and benzyl 2-phenylacetates (see Figure 1 and Figure 2).
3.2. Step II: Vaporisation Thermodynamics
3.2.1. Experimental Absolute Vapour Pressures
The vapour pressures, , of benzyl 2-phenylacetate measured at different temperatures T using the transpiration method were approximated by the following equation:
where a and b are adjustable parameters, the arbitrary temperature T0 = 298 K, R = 8.314462 J·K−1·mol−1 is the molar gas constant, and the reference pressure and = (g) − (liq) is the difference between the standard molar heat capacities of the gaseous (g) and the liquid phase (liq), respectively. The -values used in Equation (7) are given in Table S2. The experimental absolute vapour pressures and the approximation parameters of Equation (7) are given in Table 3.
Table 3.
Absolute vapour pressures p and standard thermodynamic functions of vaporisation obtained by the transpiration method.
The only systematic investigation of the vapour pressures of phenyl 2-phenylacetate and benzyl 2-phenylacetate available in the literature was carried out by Stryjek et al. [15] using ebulliometry (see Table S3). In this work, the absolute vapour pressures above the liquid sample of benzyl 2-phenylacetate were measured in the temperature range between 325.7 K and 371.7 K (see Table S3). A direct comparison with the vapour pressures measured by Stryjek et al. [15] is not possible, as these were measured in the significantly higher temperature range of 426.5 K to 521.5 K (see Figure S1).
It turned out that there are no systematic vapour pressure measurements for hydrogenated phenyl and benzyl 2-phenylacetates in the literature. However, in our previous work we have shown that the individual experimental boiling temperatures at different pressures can be found in the literature, and in many cases, a reasonable trend can even be derived from such raw data. In fact, these boiling points (BP) usually originate from the distillation of reaction mixtures after synthesis and not from specific physico-chemical investigations. The temperatures are usually in the range of a few degrees, and the pressures are measured with uncalibrated manometers. Nevertheless, the BP data for benzyl 2-phenylacetate compiled in Table S4 agree very well with the available vapour pressures in the temperature range from 402 K to 593 K (see Figure S1). This good agreement prompted us to collect the boiling points at reduced pressures for phenyl and benzyl 2-phenylacetates and their hydrogenated products (see Table S4) in order to evaluate the vaporisation thermodynamics for these compounds.
3.2.2. Experimental Standard Molar Enthalpies of Vaporisation
The standard molar enthalpies of vaporisation of phenyl and benzyl 2-phenylacetates and their hydrogenated products at temperatures T were derived from the temperature dependence of vapour pressures approximated by Equation (7) using the following equation:
where b is one of the adjustable parameters of Equation (7). The standard molar vaporisation entropies at temperatures T were also derived from the temperature dependences of vapour pressures (approximated by Equation (7)) as follows:
with = 0.1 MPa.
The vaporisation enthalpies (298 K) at the reference temperature T = 298 K of the phenyl and benzyl 2-phenylacetates and their hydrogenated products were calculated using Equations (7) and (8) with the -values from Table S2. The uniformly treated results are summarised in Table 4 for comparison.
Table 4.
Compilation of the enthalpies of vaporisation, , of phenyl 2-phenylacetate and benzyl 2-phenylacetate their hydrogenation products (in kJ·mol−1) a.
The vaporisation enthalpy (298 K) = (88.2 ± 0.7) kJ·mol−1 (see Table 3) was derived for benzyl 2-phenylacetate from the transpiration measurements. This result agrees (within the limits of their combined uncertainties) with the result by Stryjek et al. [15], (298 K) = (89.7 ± 3.1) kJ·mol−1 (see Table 4), estimated in this work using their original data from Table S3. The result (298 K) = (87.5 ± 3.5) kJ·mol−1 (see Table 4), which was derived from the BP data for this compound (see Table S4), also supports the results of the systematic vapour pressure studies very well.
The vaporisation enthalpy (298 K) = (85.8 ± 4.0) kJ·mol−1 (see Table 4) was derived for phenyl 2-phenylacetate from the BP data in Table S4. This result agrees (within the limits of their combined uncertainties) with the result by Stryjek et al. [15], (298 K) = (81.7 ± 2.8) kJ·mol−1 (see Table 4), estimated in this work using their original data from Table S3. Such good agreement between the vaporisation enthalpies derived from BP data and those measured in systematic studies using established methods has underlined the practical importance of BP data for cases where conventional method data are not available in the literature.
The lack of thermodynamic data for phenyl and benzyl 2-phenylacetates and their hydrogenated products prompted the additional validation of the (298 K) results compiled in Table 4 by using the structure–property correlations as follows.
3.2.3. Validation of Enthalpies of Vaporisation by Empirical Correlations: Kovats Indices Jx
The Kovats retention index [16] is a value derived from the retention times measured in gas chromatography (GC). It is generally responsible for the intensity of the specific interaction between the stationary liquid phase of the GC and the compound that moves through the column with the aid of the gas flow. Therefore, the Kovats index is commonly linked to the enthalpy of vaporisation. It was observed that the (298 K)-values in a series of similarly structured compounds often correlate linearly with the Kovats indices. The Kovats indices, Jx, for a series of aromatic esters on low-polar column SE-30, were taken from the literature [17,18] and correlated with their (298 K), as shown in Table 5.
Table 5.
Correlation of vaporisation enthalpies, (298 K), of aromatic esters with their Kovats indices (Jx).
The (298 K)-values of these esters show a very good linear correlation with the corresponding Jx-values:
The “empirical” enthalpies of vaporisation derived from Equation (10) for this ester series agree well (see Table 4, column 4) with the experimental values determined in the recent literature [5]. This good agreement indicates that the enthalpies of vaporisation estimated with Equation (10) for phenyl 2-phenylacetate, benzyl 2-phenylacetate, as well as for phenyl benzoate and benzyl benzoate, can also be considered reliable. The estimates according to Equation (10) are labeled as Jx-values in Table 4 and show good agreement with the values derived by other methods.
3.2.4. Validation of Enthalpies of Vaporisation via Structure–Property Correlations: “Centerpiece” Approach
Before the vaporisation enthalpies of the phenyl 2-phenylacetate and benzyl 2-phenylacetate (and their hydrogenated products) summarised in Table 4 can be recommended for further thermochemical calculations, empirical methods based on structure–property correlations should be used to validate these results. The benefit of empirical methods is that they are developed from reliable and consistent experimental data. If the new results are consistent with the already known trends, they are considered validated and can be integrated into the network of reliable data. If the new results show significant deviations, the reason for such specific behavior should be reasonably explained or the measurements should be considered as questionable.
The group-additivity method (GA) is one of the modifications of the structure–property correlations. The conventional GA method essentially consists of splitting the experimental enthalpies of the molecules into the smallest possible groups (increments) and calculating the numerical values of the increments from the matrix of reliable data. The estimation is then made by assembling a framework of the desired model molecule from the corresponding number and type of increments.
It is known that conventional GA methods have difficulties with large molecules, as the uncertainties will naturally increase with the growing number of increments used to construct the framework. To overcome this drawback, the GA method can be modified by taking a structurally similar molecule (the so-called “centerpiece”) with a well-established thermodynamic property as a starting point to construct the framework of the desired molecule when only the small additional contributions are gradually attached to this “centerpiece” [22].
The basic idea of this approach is illustrated in Figure 4 using calculations for phenyl 2-phenylacetate and benzyl 2-phenylacetate.
Figure 4.
Calculation the enthalpies of vaporisation, (298 K), of phenyl 2-phenylacetate (left) and benzyl 2-phenylacetate (right) using methyl benzoate or ethyl benzoate as the “centerpiece”.
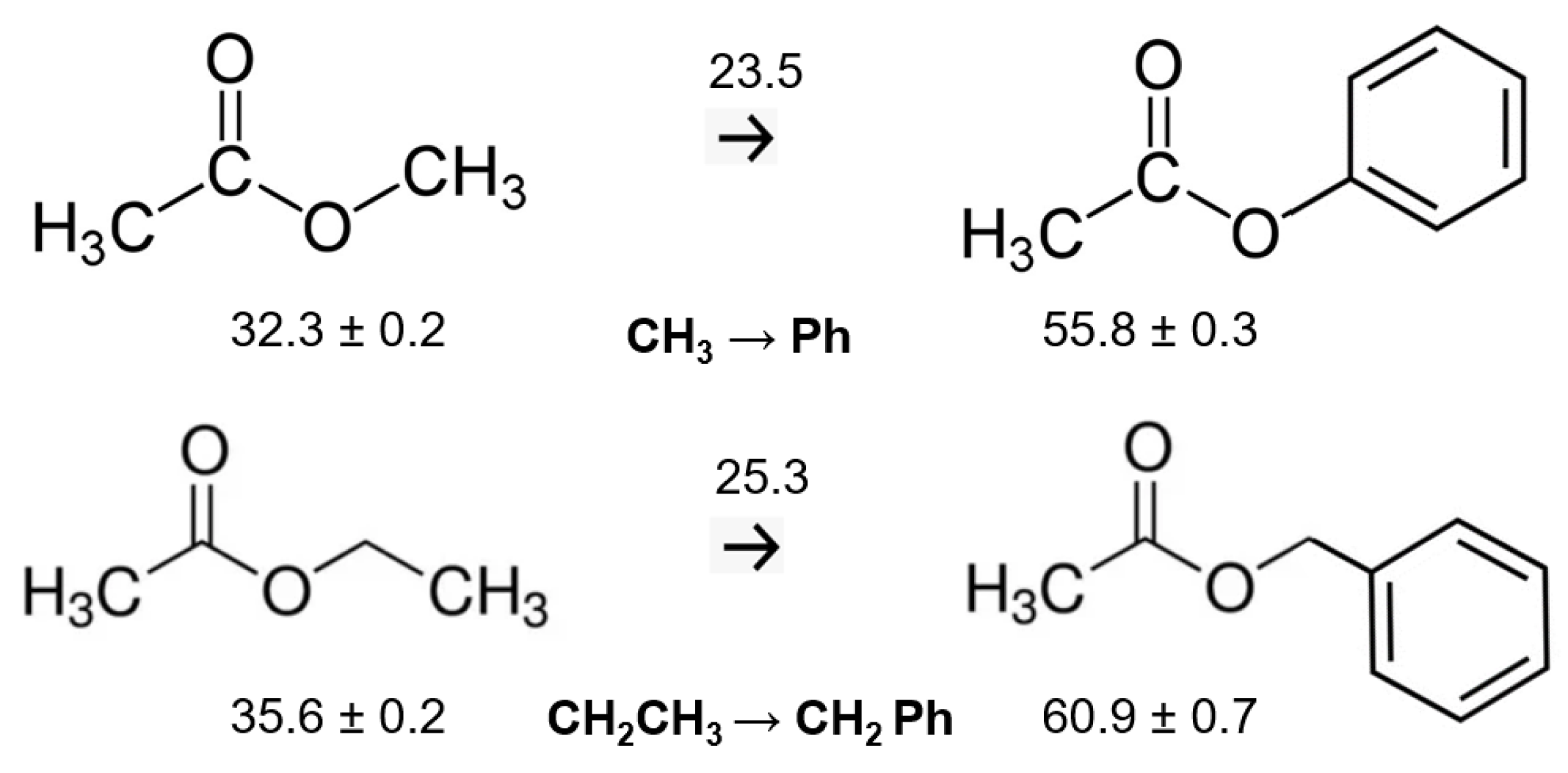
For phenyl 2-phenylacetate, the choice of a potentially large “centerpiece” molecule that has a known enthalpy and can generally mimic its structure is obvious: it is methyl 2-phenylacetate [101-41-7] with the vaporisation enthalpy (298 K) = 60.9 ± 1.4 kJ·mol−1 (see Table S5). To construct phenyl 2-phenylacetate from methyl 2-phenylacetate, we need to cut off the methyl group and attach the phenyl substituent (see Figure 4). The enthalpic contribution for this exchange, CH3 → Ph = 23.5 kJ·mol−1, was derived from the differences in the enthalpies of vaporisation of phenyl acetate and methyl acetate, as shown in Figure 5.
Figure 5.
Calculation of (298 K). Development of the contribution CH3 → Ph for the exchange of the methyl group in the methyl benzoate with the phenyl substituent (first row). Development of the contribution CH2CH3 → CH2Ph for the exchange of the ethyl group in the ethyl benzoate with the benzyl substituent (second row). The auxiliary experimental data for esters are compiled in Table S5. All values are shown in kJ·mol−1.
The resulting enthalpy of vaporisation of phenyl 2-phenylacetate, calculated according to Figure S2, (298 K) = (60.9 + 23.5) = 84.5 ± 1.5 kJ·mol−1, helps to reconcile the experimental result, (298 K) = 81.7 ± 2.8 kJ·mol−1 (see Table 4), by Stryjek et al. [15] and the vaporisation enthalpy, (298 K) = (85.8 ± 4.0) kJ·mol−1 (see Table 4), derived from the BP data (see Table S4).
Similarly, ethyl 2-phenylacetate [101-97-3] with the vaporisation enthalpy (298 K) = 64.0 ± 1.4 kJ·mol−1 (Table S5) was used as the “centerpiece” for benzyl 2-phenylacetate. To model the benzyl 2-phenylacetate from the ethyl 2-phenylacetate, the ethyl group was cut off, and the benzyl substituent was appended instead (see Figure 4). The enthalpic contribution for this exchange, CH2CH3 → CH2Ph = 25.3 kJ·mol−1, was derived from the differences in the enthalpies of vaporisation of benzyl acetate and ethyl acetate, as shown in Figure 5. The resulting enthalpy of vaporisation of benzyl 2-phenylacetate, calculated according to Figure 4, (298 K) = (64.0 + 25.3) = 89.3 ± 1.5 kJ·mol−1 (see Figure S2), agrees (within the combined uncertainties) with the experimental result, (298 K) = 88.2 ± 0.7 kJ·mol−1 (see Table 4), obtained in this work using the transpiration method, with the experimental result, (298 K) = 89.7 ± 3.1 kJ·mol−1 (see Table 4) by Stryjek et al. [15] and the vaporisation enthalpy (298 K) = (87.5 ± 3.5) kJ·mol−1 (see Table 4) derived from the BP data (see Table S4).
The same path was chosen for the prediction of the enthalpies of vaporisation of the hydrogenated 2-phenylacetate. For example, to create cyclohexyl 2-phenylacetate from methyl 2-phenylacetate, the methyl group was cut off, and the cyclohexyl (cH) substituent was attached instead (see Figure 6).
Figure 6.
Calculation of the enthalpies of vaporisation, (298 K), of cyclohexyl 2-phenylacetate (left) and cyclohexylmethyl 2-phenylacetate (right) using methyl 2-phenylacetate or ethyl 2-phenylacetate as the “centerpiece”.
The enthalpic contribution for this exchange, CH3 → cH = 20.0 kJ·mol−1, was derived from the differences in the enthalpies of vaporisation of cyclohexyl acetate and methyl acetate, as shown in Figure S3. The resulting enthalpy of vaporisation of cyclohexyl 2-phenylacetate, calculated according to Figure 6, (298 K) = (60.9 + 20.0) = 80.9 ± 1.5 kJ·mol−1 (see Figure S4), agrees with the results (see Table 4) obtained in this work using other methods.
To make cyclohexylmethyl 2-phenylacetate from ethyl 2-phenylacetate, the ethyl group was cut off, and the methylene-cyclohexyl (CH3 → CH2cH = 20.5 kJ·mol−1) substituent was attached instead (see Figure 6). The enthalpy of vaporisation of cyclohexylmethyl 2-phenylacetate, calculated according to Figure 6, (298 K) = (64.0 + 20.5) = 84.5 ± 1.5 kJ·mol−1 (see Figure S4), agrees with the result (see Table 4) obtained in this work using a different method.
The estimation of the vaporisation enthalpies of phenyl and benzyl cyclohexaneacetates was based on the corresponding enthalpies of vaporisation of methyl 2-cyclohexylacetate [14352-61-5] and ethyl 2-cyclohexylacetate [5452-75-5] and the contributions CH3 → Ph and CH2CH3 → CH2Ph in Figure 5. The algorithm of the calculations is shown in Figure S5.
The enthalpies of vaporisation of fully hydrogenated aromatic esters were derived as shown in Figure 7, where the contributions CH3 → cH and CH3 → CH2cH were derived as shown in Figure S3.
Figure 7.
Calculation of the enthalpies of vaporisation, (298 K), of cyclohexyl cyclohexaneacetate (left) and cyclohexylmethyl cyclohexaneacetate (right) using methyl 2-cyclohexylacetate [14352-61-5] and ethyl 2-cyclohexylacetate [5452-75-5] as the “centerpiece”.
The calculations and the results are shown in Figure S6. The “empirical” (298 K)-values for phenyl and benzyl 2-phenylacetates and their hydrogenated products estimated using the “centrepiece” approach are labelled as CP in Table 4 and compared with the results of other methods. As can be seen from this table, the CP results are in very good agreement with those of the conventional methods. To increase confidence, the weighted average (298 K)-values were calculated for each ester and recommended for further thermochemical calculations.
3.2.5. Validation of Enthalpies of Vaporisation via Structure–Property Correlations: Correlation of the Parent Structures
It is evident that the phenyl ring-containing esters studied in this work are structurally interrelated (see Figure 1 and Figure 2). Structure–property correlations are an effective tool to establish the consistency of experimental data in the set of structurally parent molecules. In this work, we correlated the experimental (298 K)-values for phenyl-substituted benzoates (Ph-B) with the experimental vaporisation enthalpies for the series of cyclohexyl benzoates (Ch-B) and cyclohexyl cyclohexane carboxylates (Ch-Ch). The experimental data used for these correlations are compiled in Table 6.
Table 6.
Correlation of vaporisation enthalpies, , of phenyl-substituted benzoates (Ph-B) and their partly hydrogenated products: cyclohexyl benzoates (Ch-B) and cyclohexyl cyclohexane carboxylates (Ch-Ch) (at T = 298 K and in kJ·mol−1).
The results of the correlation of vaporisation enthalpies between phenyl-substituted benzoates and cyclohexyl benzoates are shown in Table 7.
Table 7.
Correlation of vaporisation enthalpies, , of phenyl-substituted benzoates (Ph-B) and their partly hydrogenated products cyclohexyl benzoates (Ch-B) (at T = 298 K and in kJ·mol−1).
A very good linear correlation was found for this structurally related series:
The very high correlation coefficient R2 can be considered as evidence of the general consistency of the enthalpies of vaporisation for both series evaluated in Table 4.
The results of the correlation of the enthalpies of vaporisation between phenyl-substituted benzoates and fully hydrogenated benzoates are presented in Table 8.
Table 8.
Correlation of vaporisation enthalpies, , of phenyl-substituted benzoates and their partly hydrogenated products phenyl cyclohexanecarboxylates (Ph-Ch) (at T = 298 K and in kJ·mol−1).
A good linear correlation was also developed for this structurally related series:
and the high correlation coefficient R2 proves the good quality of the data involved in this type of correlation. The results of the correlation of the (298 K)-values between cyclohexyl-substituted benzoates and phenyl-substituted cyclohexyl esters are presented in Table 9.
Table 9.
Correlation of vaporisation enthalpies, , of cyclohexyl-substituted benzoates (Ph-B) and phenyl-substituted cyclohexyl esters (Ph-Ch) (at T = 298 K and in kJ·mol−1).
For this structurally related series, only the following sufficiently good correlation was derived:
and the reason for this is rather the large uncertainties of some entries considered in correlations (see Table 9). The results of the validation of the enthalpies of vaporisation performed in Section 3.2.5 are recorded as SP (structural property) values in Table 4. They are in good agreement with the results obtained using other methods.
3.2.6. Entropies of Vaporisation and Absolute Entropies in Gaseous and Liquid State
The liquid-phase entropies of the reactants (see Figure 1 and Figure 2) are required as input for the Gibbs–Helmholtz equation to calculate the reaction entropies (liq, 298 K). The liquid-phase (liq, 298 K)-values were determined using Equation (3). The standard molar entropies of vaporisation, (298 K), were calculated according to Equation (9) using the vapour pressure–temperature dependences from Table 3 and Table S4 (see Table 10, column 2). The gas-phase (g, 298 K)-values were calculated using the G4 method (see Table 10, column 3).
Table 10.
Compilation of the standard molar entropies of vaporisation, , and the absolute standard molar entropies, (g or liq), of compounds of interest for this work (all values at T = 298 K in J·mol−1·K−1).
The resulting absolute standard molar entropies, (liq, 298 K), of the aromatic and aliphatic esters are given in Table 10, column 4. With the very consistent sets of enthalpies of vaporisation and absolute entropies in the liquid phase from Table 10 evaluated in Table 4, the second step is complete, and they can now be combined with the gas phase formation enthalpies, (g), from the first step to determine the liquid phase formation enthalpies of the reactants shown in Figure 1 and Figure 2.
3.3. Step III: Thermodynamic Analysis of the Hydrogenation Reactions of Aromatic Esters
3.3.1. Liquid-Phase Enthalpies of Formation and Liquid-Phase Reaction Enthalpies
The (liq, 298 K)-values of the reactants shown in Figure 1 and Figure 2 were calculated according to Equation (2), and the results are listed in Table 11 (last column).
Table 11.
Calculation of the empirical liquid-phase enthalpies of formation, (liq)emp, from the quantum-chemical results, (g)QC, and enthalpies of vaporisation, , available for phenyl benzoate, benzyl benzoate, and their hydrogenated products (T = 298 K, p° = 0.1 MPa, in kJ·mol−1).
The enthalpies of formation of the aromatic esters in the liquid phase determined in Table 11 must also be validated before they can be used for the thermodynamic analysis of the hydrogenation reactions.
3.3.2. Correlation of Enthalpies of Formation of the Parent Structures
The structure–property correlations are also effective in determining the consistency of the enthalpies of formation, (g, 298 K), in the set of structurally parent molecules. Similar to the correlations shown in Section 3.2.5 for the vaporisation enthalpies, here, we correlated the (liq, 298 K)-values for phenyl-substituted benzoates (Ph-B) with the enthalpies of formation for the series of phenyl-substituted cyclohexane esters (Ph-Ch) shown in Table 12.
Table 12.
Correlation of enthalpies of formation, (liq), of phenyl-substituted benzoates and their partly hydrogenated products: phenyl-substituted cyclohexane esters (Ph-Ch) (at T = 298 K and in kJ·mol−1).
An almost perfect linear correlation was found for these structurally related series:
The results of the correlation of the enthalpies of formation, (liq, 298 K), of cyclohexyl-substituted benzoates (Ch-B) and their fully hydrogenated products cyclohexyl cyclohexanecarboxylates (Ch-Ch) are presented in Table 13.
Table 13.
Correlation of enthalpies of formation, (liq), of cyclohexyl-substituted benzoates (Ch-B) and their fully hydrogenated products cyclohexyl cyclohexanecarboxylates (Ch-Ch) (at T = 298 K and in kJ·mol−1).
For this structurally related series, a slightly less good correlation was derived:
The final results of the validation of the enthalpies of formation, (liq, 298 K), with the correlations between the similarly shaped molecules performed in this section ensure the consistency of the data obtained from quantum chemical calculations, and the results summarised in Table 11 and Table S6 can be recommended for further thermochemical calculations, as shown in the following section.
3.3.3. Energetics of Hydrogenation Reactions Based on Aromatic Esters
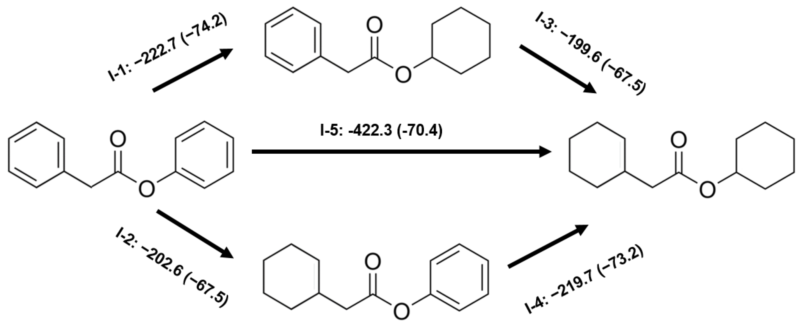
Admittedly, the hydrogenation reactions are highly exothermic, which is why the reaction enthalpies in the liquid phase, (liq), are important for safety reasons and for temperature management in systems for hydrogen storage with aromatic esters. The network of hydrogenation reactions taking place in System I (see Figure 1) is shown in Figure 8.
Figure 8.
The network of hydrogenation reactions taking place in System I. The calculations are shown in Table S7.
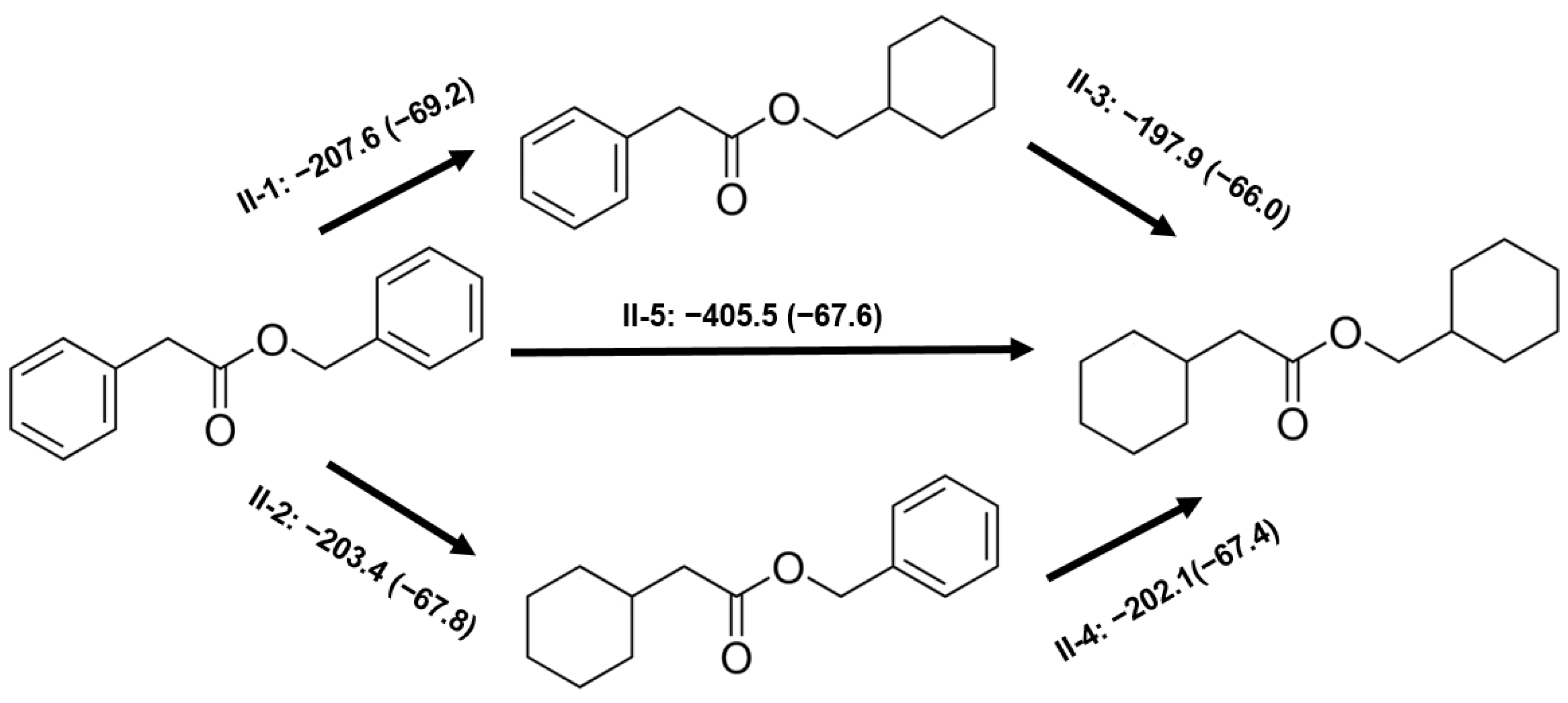
The enthalpies of reactions I-1 to I-5 shown in Figure 8 were derived according to Hess’s Law using the standard molar enthalpies of formation, (liq)emp, of the reaction participants estimated in Table 11. The energetics of the reactions shown in Figure 8 are expressed in two ways: as total hydrogenation enthalpy and as reaction enthalpy (in brackets) in relation to the amount of hydrogen released (kJ·mol−1/H2). The second way enables a comparison of the enthalpy values of LOHC systems with different stoichiometries. As shown in Figure 8, the hydrogenation of phenyl 2-phenylacetate is highly exothermic and amounts to up to −422.3 kJ·mol−1 (see reaction I-5 in Figure 8) for the complete hydrogenation of the double bonds in phenyl 2-phenylaceate, so this energy must be taken into account for proper temperature regulation in a chemical reactor. Interestingly, the energetics of the hydrogenation of both phenyl rings in phenyl 2-phenylacetate are significantly different. Indeed, the hydrogenation enthalpy of the phenyl ring linked via the CH2 to the carbonyl side (Ring 1) is clearly lower at −202.6 kJ·mol−1 (see reaction I-2 in Figure 8) compared to −222.7 kJ·mol−1 (see reaction I-1 in Figure 8) of Ring 2 connected directly to the oxygen. This trend is also maintained during the second hydrogenation step: −199.6 kJ·mol−1 (see reaction I-3 in Figure 8) for Ring 1 and −219.7 kJ·mol−1 (see reaction I-4 in Figure 8) for Ring 2. The reason for this is a possible conjugation of the electrons of the π-system of the benzene ring with electrons of the oxygen, which makes the hydrogenation of Ring 2 more difficult. This explanation can also be confirmed by comparison with the energetics of the hydrogenation of benzyl 2-phenylacetate shown in Figure 9.
Figure 9.
The network of hydrogenation reactions taking place in System II. The calculations are shown in Table S7.
In fact, Ring 2 in benzyl 2-phenylacetate is separated from the oxygen by the methylene group so that conjugation is no longer possible, as is the case with phenyl 2-phenylacetate. As a consequence, the reaction enthalpies for the stepwise hydrogenations of both rings in benzyl 2-phenylacetate are quite similar (see reactions II-1 to II-4 in Figure 9). The complete hydrogenation of all double bonds in benzyl 2-phenylacetate (System II) is also less energetically demanding, with −405.5 kJ·mol−1 (see reaction II-5 in Figure 9) compared to −422.3 kJ·mol−1 (see reaction I-5 in Figure 8) in System I. From a practical point of view, this means that LOHC System II is more effective than System I.
The analysis of the hydrogenation enthalpies of Systems I and II in the unit kJ·mol−1/H2 reveals that they are very similar and lie between −66.1 and −74.3 kJ·mol−1/H2 (see Figure 8 and Figure 9). However, the enthalpies of the complete hydrogenation of phenyl 2-phenylacetate −70.3 kJ·mol−1/H2 (see Figure 8) and −67.6 kJ·mol−1/H2 (see Figure 9) of benzyl 2-phenylacetate are quite comparable to those typical for LOHC reaction enthalpies of benzene (−68.5 kJ·mol−1/H2) [24] and toluene (−67.5 kJ·mol−1/H2) [24]. Admittedly, the lower the value of the hydrogenation/dehydrogenation enthalpy, the more effective the LOHC pair is for practical applications [25]. In this context, the commercially available thermofluids Marlothem LH® (−63.5 kJ·mol−1/H2 [25]), Marlotherm SH® (−65.4 kJ·mol−1/H2 [25]), and biphenyl (−65.4 kJ·mol−1/H2 [26]) are slightly better than the phenyl and benzyl 2-phenylacetates investigated in this work.
In order to generalise the conclusions derived for the energetics of aromatic esters with two phenyl rings around the ester group, the thermodynamic properties of phenyl benzoate and its hydrogenated products (System III in Figure 10) and benzyl benzoate and its hydrogenated products (System IV in Figure 11) were obtained and compared with those of the phenyl and benzyl-2-phenylacetates (and their hydrogenated products) studied in this work.
Figure 10.
System III: structures of phenyl benzoate and hydrogenated phenyl benzoates.
Figure 11.
System IV: structures of benzyl benzoate and hydrogenated benzyl benzoates.
In this context, it was interesting to understand how much the hydrogenation enthalpies of the aromatic esters differ when only one phenyl ring is attached to the ester group. This can be achieved via comparison with the data for System V, which contains methyl and ethyl benzoates and their hydrogenated products (see Figure 12).
Figure 12.
System V: structures of methyl and ethyl benzoates and their hydrogenated products.
The “corrected” quantum-chemical gas-phase enthalpies of formation, (g, 298 K)G4, of the reactants of Systems III to V were calculated using the G4 method (Table 1 and Table 2). They were recalculated to the liquid-phase enthalpies of formation, (liq, 298 K), via the enthalpies of vaporisation, (298 K), which are given in Table 6 and Table 9. The (liq, 298 K)-values were calculated according to Equation (2), and the results are listed in Table S6 (last column). The complete compilation of the reaction enthalpies for systems I to V is shown in Table 14, column 1.
Table 14.
Calculation of the liquid phase thermodynamic properties for reactions for LOHC systems I to V.
It was found that the reaction enthalpies, (liq, 298 K), for most of the hydrogenation reactions summarised in Table 14 generally have the same level of ≈−200 kJ·mol−1, regardless of the position of the phenyl ring relative to the ester group. Moreover, the reaction enthalpies of the aromatic esters containing one and two phenyl substituents also hardly differ within their uncertainties. The only exceptions are reactions I-1, I-4, III-1, and III-4 (highlighted in bold in Table 14), in which Ring 2 is directly connected to the oxygen of the ester group. The possible reason for this increased reaction enthalpy has already been discussed above. These two important observations greatly facilitate the reliable assessment of the energetics of the hydrogenation reactions of bio-based aromatic esters as potential candidates for LOHC systems.
3.3.4. Liquid-Phase Reaction Entropies
The reaction entropies, (liq, 298 K), which were calculated for Systems I to V according to the Hess´ Law from the absolute entropies of reactants (see Table 10), are summarised in Table 14, column 3. It turned out that the (liq, 298 K)-values for all the hydrogenation reactions considered in Table 14 are generally between −350 and −370 J·mol−1·K−1, irrespective of the position of the phenyl ring relative to the ester group and the number of phenyl substituents in the aromatic ester. Considering that the uncertainties of the (liq, 298 K)-values are estimated to be 10–15 J·mol−1·K−1, it is reasonable to assume the rough estimate (liq, 298 K) = −360 J·mol−1·K−1 for all thermodynamic calculations of hydrogenation reactions with aromatic esters. Similar to our conclusion for the reaction enthalpies, the standardisation of the reaction entropy to the simple constant considerably facilitates the reliable assessment of the thermodynamics of the hydrogenation reactions of bio-based aromatic esters as potential candidates for LOHC systems.
3.3.5. Gibbs Energies and Thermodynamic Analysis of the Hydrogenation Reaction
Both the enthalpic (Table 14, column 2) and entropic (Table 14, column 3) contributions were used to calculate the standard Gibbs molar energies for the hydrogenation reactions of the aromatic esters according to Equation (1). The results for the (liq)-values at three temperatures 298 K, 400 K, and 500 K are given in Table 14 (columns 5–7). In the hydrogenation reactions of the aromatic esters, all (liq, 298 K)-values are around −100 kJ·mol−1 and decrease drastically with increasing temperature (the equations for the temperature adjustment are given in ESI). The hydrogenation and dehydrogenation reactions are reversible, so the temperature dependencies of the (liq)-values determined in this work for the hydrogenation process will be identically large for the dehydrogenation process (albeit with the opposite sign!) and can be used to optimise the hydrogenation/dehydrogenation equilibrium, which is important for the development of advanced hydrogen-capture-and-release technologies using bio-based aromatic esters as promising LOHC compounds.
4. Conclusions
Molar enthalpies of vaporisation of aromatic esters were determined based on vapour pressure data. The obtained sets of thermodynamic properties of phase transitions were consistent with the values of the enthalpy of formation and additionally confirmed using empirical and quantum-chemical methods. As a result, values were obtained that were recommended for further theoretical and technological calculations. The obtained enthalpies of formation in the liquid phase of aromatic esters and their hydrogenated analogues were used to evaluate hydrogenation reactions and were further compared with other hydrogen carriers. It was found that most hydrogenation reactions, in general, have the same level regardless of the position of the phenyl ring relative to the ester group, which is approximately −200 kJ mol−1. However, it is worth noting that the enthalpy of hydrogenation of the phenyl ring bound via CH2 to the carbonyl group is 20 kJ mol−1 lower than that of the phenyl ring bound directly to oxygen. Aromatic esters and their hydrogenation products have suitable energy (see Table S8), which allows them to be considered promising participants in reactions associated with hydrogen storage.
Supplementary Materials
The following supporting information can be downloaded at https://www.mdpi.com/article/10.3390/hydrogen5030034/s1, Figure S1: Comparison of vapor pressures over the liquid sample of benzyl 2-phenylacetate: ○—this work, transpiration (see Table 1); ●—ebulliometry (see Table S3); Δ—boiling points at reduced pressures from Table S4; Figure S2: Calculation the enthalpies of vaporisation, (298.15 K), of phenyl 2-phenylacetate (first row) and benzyl 2-phenylacetate (second row) using the methyl 2-phenylacetate or ethyl 2-phenylacetate as the “centerpiece”. The auxiliary experimental data for esters are compiled in Table S5. All values in kJ·mol−1; Figure S3: Calculation of (298.15 K). Development of the contribution CH3→cH for the exchange of the methyl group in the methyl benzoate with the cyclohexyl substituent (first row). Development of the contribution CH2CH3→CH2cH for the exchange of the ethyl group in the ethyl benzoate with the methylene-cyclohexyl substituent (second row). The auxiliary experimental data for esters are compiled in Table S5. All values in kJ·mol−1; Figure S4: Calculation the enthalpies of vaporisation, (298.15 K), of cyclohexyl 2-phenylacetate (first row) and cyclohexylmethyl 2-phenylacetate (second row) using the methyl 2-phenylacetate or ethyl 2-phenylacetate as the “centerpiece”. The auxiliary experimental data for esters are compiled in Table S5. All values in kJ·mol−1; Figure S5: Calculation the enthalpies of vaporisation, (298.15 K), of phenyl cyclohexaneacetate (first row) and benzyl cyclohexaneacetate (second row) using the methyl 2-cyclohexylacetate or ethyl 2-cyclohexylacetate as the “centerpiece”. The auxiliary experimental data for esters are compiled in Table S5. All values in kJ·mol−1; Figure S6: Calculation the enthalpies of vaporisation, (298.15 K), of cyclohexyl cyclohexaneacetate (first row) and cyclohexylmethal cyclohexaneacetate (second row) using the methyl 2-cyclohexylacetate or ethyl 2-cyclohexylacetate as the “centerpiece”. The auxiliary experimental data for esters are compiled in Table S5. All values in kJ·mol−1; Figure S7: The network of hydrogenation reactions taking place in System III. The results of calculations are shown in Table 14; Figure S8: The network of hydrogenation reactions taking place in System IV. The results of calculations are shown in Table 14; Figure S9: The reference of hydrogenation reactions in System V. The results of calculations are shown in Table 14; Table S1: Provenance and purity of the materials; Table S2: Compilation of data on molar heat capacities (liq) and heat capacity differences (in J·K−1·mol−1) at T = 298.15 K; Table S3: The vapor pressures p, and standard molar vaporization enthalpies and entropies obtained by the ebulliometry; Table S4: The vapor pressures p, and standard molar vaporization enthalpies and entropies obtained by the approximation of boiling points at different pressures available in the literature; Table S5: Compilation of the enthalpies of vaporization, , of aliphatic and aromatic esters (in kJ·mol−1); Table S6: Calculation of the empirical liquid-phase enthalpies of formation, (liq)emp, from the quantum-chemical results, (g)QC, and enthalpies of vaporisation, , available for phenyl benzoate, benzyl benzoate and their hydrogenated products (T = 298.15 K, p° = 0.1 MPa, in kJ·mol−1); Table S7: Calculation of the liquid phase reaction enthalpies, (liq), of the hydrogenation of aromatic ester, at T = 298.15 K (p° = 0.1 MPa, in kJ·mol−1). References [5,15,21,23,27,28,29,30,31,32,33,34,35,36,37,38,39,40,41,42,43,44] are cited in the supplementary materials.
Author Contributions
Conceptualization, S.P.V.; methodology, A.A.S., S.V.V. and S.P.V.; software, A.A.S.; validation, A.A.S., S.V.V. and S.P.V.; formal analysis, A.A.S. and S.P.V.; investigation, O.S.R. and S.V.V.; resources, O.S.R. and S.V.V.; data curation, S.V.V. and S.P.V.; writing—original draft preparation, S.P.V. and A.A.S.; writing—review and editing, S.P.V. and A.A.S.; visualization, A.A.S. and S.V.V.; supervision, S.P.V.; project administration, S.P.V.; funding acquisition, S.P.V. All authors have read and agreed to the published version of the manuscript.
Funding
SPV acknowledges financial support from the German Science Foundation in the frame of SPP 1807 “Control of London Dispersion Interactions in Molecular Chemistry”, grant VE 265-9/2. AAS gratefully acknowledges the Committee on Science and Higher Education of the Government of St. Petersburg. This work was supported by the Ministry of Science and Higher Education of the Russian Federation (theme No. FSSE-2024-0021) as part of the state task of the Samara State Technical University (creation of new youth laboratories). The work was carried out in accordance with the Strategic Academic Leadership Program “Priority 2030” of the Kazan Federal University of the Government of the Russian Federation. The research was carried out with the financial support of the Ministry of Science and Higher Education of the Russian Federation within the framework of the state task (theme No. AAAAA12-2110800012-0).
Data Availability Statement
The original contributions presented in the study are included in the article/Supplementary Materials, further inquiries can be directed to the corresponding author/s.
Conflicts of Interest
The authors declare no conflict of interest.
References
- Preuster, P.; Alekseev, A.; Wasserscheid, P. Hydrogen Storage Technologies for Future Energy Systems. Annu. Rev. Chem. Biomol. Eng. 2017, 8, 445–471. [Google Scholar] [CrossRef] [PubMed]
- Serrano-Ruiz, J.C. Biomass: A Renewable Source of Fuels, Chemicals and Carbon Materials. Molecules 2020, 25, 5217. [Google Scholar] [CrossRef] [PubMed]
- Tana, T.; Zhang, Z.; Beltramini, J.; Zhu, H.; Ostrikov, K.K.; Bartley, J.; Doherty, W. Valorization of native sugarcane bagasse lignin to bio-aromatic esters/monomers via a one pot oxidation–hydrogenation process. Green Chem. 2019, 21, 861–873. [Google Scholar] [CrossRef]
- Zhuang, X.; Tong, X.; Yan, Y.; Xue, S.; Yu, L.; Li, Y. Gold-mediated selective transformation of lignin models to aromatic esters in the presence of molecular oxygen. Catal. Today 2017, 298, 190–196. [Google Scholar] [CrossRef]
- Verevkin, S.P.; Elbakari, A.V.; Vostrikov, S.V.; Nagrimanov, R.N.; Varfolomeev, M.A. Renewable Platform Chemicals: Evaluation of Experimental Data for Alkyl Benzoates with Complementary Measurements, Structure–Property Correlations, and Quantum Chemical Calculations. J. Chem. Eng. Data 2024, 69, 380–399. [Google Scholar] [CrossRef]
- Frisch, M.J.; Trucks, G.W.; Schlegel, H.B.; Scuseria, G.E.; Robb, M.A.; Cheeseman, J.R.; Scalmani, G.; Barone, V.; Petersson, G.A.; Nakatsuji, H.; et al. Gaussian 16, Revision C.01; Gaussian, Inc.: Wallingford, CT, USA, 2016. [Google Scholar]
- Pracht, P.; Bohle, F.; Grimme, S. Automated exploration of the low-energy chemical space with fast quantum chemical methods. Phys. Chem. Chem. Phys. 2020, 22, 7169–7192. [Google Scholar] [CrossRef]
- Curtiss, L.A.; Redfern, P.C.; Raghavachari, K. Gaussian-4 theory. J. Chem. Phys. 2007, 126, 084108. [Google Scholar] [CrossRef]
- Petersson, G.A.; Bennett, A.; Tensfeldt, T.G.; Al-Laham, M.A.; Shirley, W.A.; Mantzaris, J. A complete basis set model chemistry. I. The total energies of closed-shell atoms and hydrides of the first-row elements. J. Chem. Phys. 1988, 89, 2193–2218. [Google Scholar] [CrossRef]
- Maksimuk, Y.V.; Kabo, G.J.; Simirsky, V.V.; Kozyro, A.A.; Sevruk, V.M. Standard Enthalpies of Formation of Some Methyl Esters of Benzene Carboxylic Acids. J. Chem. Eng. Data 1998, 43, 293–298. [Google Scholar] [CrossRef]
- Wadsö, I.; Thurmann-Moe, T.; Westrum, E.F., Jr.; Levitin, N.E.; Westin, G. Heats of Hydrolysis of Phenyl Acetate and Phenyl Thiolacetate. Acta Chem. Scand. 1960, 14, 561–565. [Google Scholar] [CrossRef]
- Adams, G.P.; Fine, D.H.; Gray, P.; Laye, P.G. Heat of formation of phenyl benzoate and related bond dissociation energies. J. Chem. Soc. B Phys. Org. 1967, 720–722. [Google Scholar] [CrossRef]
- Carson, A.S.; Fine, D.H.; Gray, P.; Laye, P.G. Standard enthalpies of formation of diphenyl oxalate and benzoic anhydride and some related bond dissociation energies. J. Chem. Soc. B Phys. Org. 1971, 1611–1615. [Google Scholar] [CrossRef]
- Verevkin, S.P.; Pimerzin, A.A.; Glotov, A.P.; Vutolkina, A.V. Biofuels energetics: Reconciliation of calorific values of fatty acids methyl esters with help of complementary measurements and structure–property relationships. Fuel 2022, 329, 125460. [Google Scholar] [CrossRef]
- Stryjek, R.; Jackowski, A.; Luszczyk, M. Some thermodynamic properties of phenyl and benzyl esters of phenylacetic acid. Bull. l’Academie Pol. des Sci. Ser. des Sci. Chim. 1979, 27, 137–139. [Google Scholar]
- Kováts, E. Gas-chromatographische Charakterisierung organischer Verbindungen. Teil 1: Retentionsindices aliphatischer Halogenide, Alkohole, Aldehyde und Ketone. Helv. Chim. Acta 1958, 41, 1915–1932. [Google Scholar] [CrossRef]
- Korhonen, I.O.O.; Lind, M.A. Gas—Liquid chromatographic analyses: XXXV. Capillary column studies of C1 C12n-alkyl esters of benzoic and monochlorobenzoic acids. J. Chromatogr. A 1985, 322, 83–96. [Google Scholar] [CrossRef]
- Tudor, E.; Moldovan, D.; Zârna, N. Temperature dependence of the retention index for perfumery compounds on two carbowax-20M glass capillary columns with different film thickness. 2. Rev. Roum. Chim. 1999, 44, 665–675. [Google Scholar]
- Anthoney, M.E.; Carson, A.S.; Laye, P.G. Enthalpy of formation of phenyl formate and related bond dissociation energies. J. Chem. Soc. Perkin Trans. 1976, 2, 1032–1036. [Google Scholar] [CrossRef]
- Stull, D.R. Vapor Pressure of Pure Substances. Organic and Inorganic Compounds. Ind. Eng. Chem. 1947, 39, 517–540. [Google Scholar] [CrossRef]
- Haarmann, N.; Siewert, R.; Samarov, A.A.; Verevkin, S.P.; Held, C.; Sadowski, G. Thermodynamic Properties of Systems Comprising Esters: Experimental Data and Modeling with PC-SAFT and SAFT-γMie. Ind. Eng. Chem. Res. 2019, 58, 6841–6849. [Google Scholar] [CrossRef]
- Verevkin, S.P.; Andreeva, I.V.; Zherikova, K.V.; Pimerzin, A.A. Prediction of thermodynamic properties: Centerpiece approach—How do we avoid confusion and get reliable results? J. Therm. Anal. Calorim. 2022, 147, 8525–8534. [Google Scholar] [CrossRef]
- NIST Chemistry WebBook. Available online: https://webbook.nist.gov/chemistry/ (accessed on 8 August 2024).
- Pedley, J.B.; Naylor, R.D.; Kirby, S.P. Thermochemical Data of Organic Compounds, 2nd ed.; Chapman and Hall: New York, NY, USA, 1986; pp. 1–792. [Google Scholar]
- Müller, K.; Stark, K.; Emel’yanenko, V.N.; Varfolomeev, M.A.; Zaitsau, D.H.; Shoifet, E.; Schick, C.; Verevkin, S.P.; Arlt, W. Liquid Organic Hydrogen Carriers: Thermophysical and Thermochemical Studies of Benzyl- and Dibenzyl-toluene Derivatives. Ind. Eng. Chem. Res. 2015, 54, 7967–7976. [Google Scholar] [CrossRef]
- Zaitsau, D.H.; Emel’yanenko, V.N.; Pimerzin, A.A.; Verevkin, S.P. Benchmark properties of biphenyl as a liquid organic hydrogen carrier: Evaluation of thermochemical data with complementary experimental and computational methods. J. Chem. Thermodyn. 2018, 122, 1–12. [Google Scholar] [CrossRef]
- Zheng, Y.; Clarkson, G.J.; Wills, M. Asymmetric Transfer Hydrogenation of o -Hydroxyphenyl Ketones: Utilizing Directing Effects That Optimize the Asymmetric Synthesis of Challenging Alcohols. Org. Lett. 2020, 22, 3717–3721. [Google Scholar] [CrossRef]
- Verevkin, S.P. Chapter 1. Pure Component Phase Changes Liquid and Gas in Experimental Thermodynamics: Measurement of the Thermodynamic Properties of Multiple Phases; Elsevier: Amsterdam, The Netherlands, 2005. [Google Scholar]
- Kulikov, D.; Verevkin, S.P.; Heintz, A. Determination of Vapor Pressures and Vaporization Enthalpies of the Aliphatic Branched C 5 and C 6 Alcohols. J. Chem. Eng. Data 2001, 46, 1593–1600. [Google Scholar] [CrossRef]
- Verevkin, S.P.; Sazonova, A.Y.; Emel’yanenko, V.N.; Zaitsau, D.H.; Varfolomeev, M.A.; Solomonov, B.N.; Zherikova, K.V. Thermochemistry of Halogen-Substituted Methylbenzenes. J. Chem. Eng. Data 2015, 60, 89–103. [Google Scholar] [CrossRef]
- Emel’yanenko, V.N.; Verevkin, S.P. Benchmark Thermodynamic Properties of 1,3-Propanediol: Comprehensive Experimental and Theoretical Study. J. Chem. Thermodyn. 2015, 85, 111–119. [Google Scholar] [CrossRef]
- Fuchs, R. Heat Capacities of Some Liquid Aliphatic, Alicyclic, and Aromatic Esters at 298. 15 K. J. Chem. Thermodyn. 1979, 11, 959–961. [Google Scholar] [CrossRef]
- Chickos, J.S.; Hosseini, S.; Hesse, D.G.; Liebman, J.F. Heat Capacity Corrections to a Standard State: A Comparison of New and Some Literature Methods for Organic Liquids and Solids. Struct. Chem. 1993, 4, 271–278. [Google Scholar] [CrossRef]
- Steele, W.V.; Chirico, R.D.; Cowell, A.B.; Knipmeyer, S.E.; Nguyen, A. Thermodynamic Properties and Ideal-Gas Enthalpies of Formation for Methyl Benzoate, Ethyl Benzoate, (R)-(+)-Limonene, Tert -Amyl Methyl Ether, Trans -Crotonaldehyde, and Diethylene Glycol. J. Chem. Eng. Data 2002, 47, 667–688. [Google Scholar] [CrossRef]
- Zaitsau, D.H.; Pimerzin, A.A.; Verevkin, S.P. Fatty Acids Methyl Esters: Complementary Measurements and Comprehensive Analysis of Vaporization Thermodynamics. J. Chem. Thermodyn. 2019, 132, 322–340. [Google Scholar] [CrossRef]
- Acree, W.; Chickos, J.S. Phase Transition Enthalpy Measurements of Organic and Organometallic Compounds. Sublimation, Vaporization and Fusion Enthalpies From 1880 to 2015. Part 1. C 1−C 10. J. Phys. Chem. Ref. Data 2016, 45, 033101. [Google Scholar] [CrossRef]
- SciFinder-Chemical Abstracts Service. Available online: http://scifinder.cas.org/ (accessed on 8 August 2024).
- Reaxys. Available online: https://www.reaxys.com/ (accessed on 8 August 2024).
- Guidechem Chemical Network. Available online: https://www.guidechem.com (accessed on 8 August 2024).
- Majer, V.; Svoboda, V. Enthalpies of Vaporization of Organic Compounds: A Critical Review and Data Compilation; Blackwell Scientific Publications: Oxford, UK, 1985. [Google Scholar]
- Semeniuk, B.; Wilczura-Wachnik, H. Vapour–Liquid Equilibria in the Binary and Ternary Mixtures of Methyl Benzoate, Methyl p-Toluate and Dimethyl Terephthalate. Fluid Phase Equilib. 1998, 152, 337–345. [Google Scholar] [CrossRef]
- Ho, H.-Y.; Shu, S.-S.; Wang, S.-J.; Lee, M.-J. Isothermal (Vapour + Liquid) Equilibrium (VLE) for Binary Mixtures Containing Diethyl Carbonate, Phenyl Acetate, Diphenyl Carbonate, or Ethyl Acetate. J. Chem. Thermodyn. 2015, 91, 35–42. [Google Scholar] [CrossRef]
- Zaitsau, D.H.; Verevkin, S.P.; Paulechka, Y.U.; Kabo, G.J.; Sevruk, V.M. Comprehensive Study of Vapor Pressures and Enthalpies of Vaporization of Cyclohexyl Esters. J. Chem. Eng. Data 2003, 48, 1393–1400. [Google Scholar] [CrossRef]
- Stephenson, R.M.; Malanowski, S. Handbook of the Thermodynamics of Organic Compounds; Springer: Dordrecht, The Netherlands, 1987; ISBN 978-94-010-7923-5. [Google Scholar]
Disclaimer/Publisher’s Note: The statements, opinions and data contained in all publications are solely those of the individual author(s) and contributor(s) and not of MDPI and/or the editor(s). MDPI and/or the editor(s) disclaim responsibility for any injury to people or property resulting from any ideas, methods, instructions or products referred to in the content. |
© 2024 by the authors. Licensee MDPI, Basel, Switzerland. This article is an open access article distributed under the terms and conditions of the Creative Commons Attribution (CC BY) license (https://creativecommons.org/licenses/by/4.0/).
































































