Three Decades of Habitat Loss and Northward Shift in the Red-Crowned Crane on the Songnen Plain: Conservation Gaps and the Need for Network Expansion
Abstract
1. Introduction
2. Materials and Methods
2.1. Study Area and Study Design
2.2. Methods and Data Analysis
3. Results
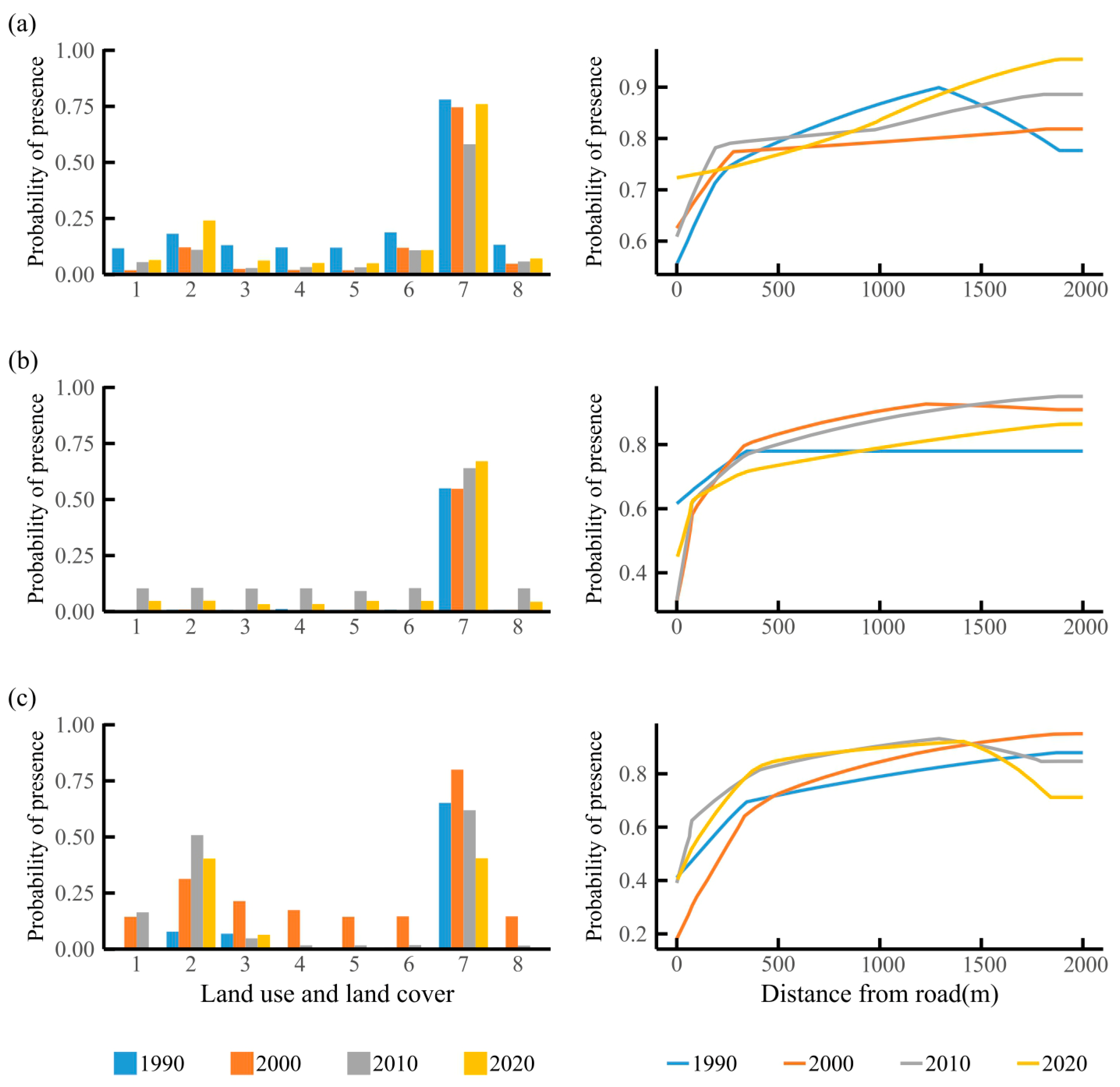
3.1. Analysis of Influencing Factors on Red-Crowned Crane Habitat Selection
3.2. Spatial-Temporal Changes in the Distribution of Suitable Red-Crowned Crane Habitat
3.3. Conservation Gap Analysis of Suitable Red-Crowned Crane (Grus japonensis) Habitat
4. Discussion
5. Conclusions
Author Contributions
Funding
Institutional Review Board Statement
Data Availability Statement
Acknowledgments
Conflicts of Interest
References
- Mi, X.; Feng, G.; Hu, Y.; Zhang, J.; Chen, L.; Corlett, R.T.; Hughes, A.C.; Pimm, S.; Schmid, B.; Shi, S.; et al. The global significance of biodiversity science in China: An overview. Natl. Sci. Rev. 2021, 8, 34–58. [Google Scholar] [CrossRef] [PubMed]
- Lu, Y.L.; Yang, Y.F.; Sun, B.; Yuan, J.J.; Yu, M.Z.; Stenseth, N.C.; Bullock, J.M.; Obersteiner, M. Spatial variation in biodiversity loss across China under multiple environmental stressors. Sci. Adv. 2020, 6, eabd0952. [Google Scholar] [CrossRef] [PubMed]
- Mantyka-Pringle, C.S.; Visconti, P.; Di Marco, M.; Martin, T.G.; Rondinini, C.; Rhodes, J.R. Climate change modifies risk of global biodiversity loss due to land-cover change. Biol. Conserv. 2015, 187, 103–111. [Google Scholar] [CrossRef]
- Sunday, J.M. The pace of biodiversity change in a warming world. Nature 2020, 580, 460–461. [Google Scholar] [CrossRef]
- Duan, Y.B.; Tian, X.H.; Ma, J.Z.; Zhu, S.Y.; Shan, K. Foraging habitat use of the oriental white stork during its breeding season. Acta Ecol. Sin. 2015, 35, 2628–2634. [Google Scholar] [CrossRef][Green Version]
- Byer, W.N.; Moll, J.R.; Krynak, J.T.; Shaffer, E.E.; Brumfield, J.L.; Reinier, J.E.; Eysenbach, S.R.; Cepek, J.D.; Hausman, C.E. Breeding bird sensitivity to urban habitat quality is multi-scale and strongly dependent on migratory behavior. Ecol. Appl. 2025, 35, e3087. [Google Scholar] [CrossRef]
- Noe, E.E.; Innes, J.; Barnes, A.D.; Joshi, C.; Clarkson, B.D. Habitat provision is a major driver of native bird communities in restored urban forests. J. Anim. Ecol. 2022, 91, 1444–1457. [Google Scholar] [CrossRef]
- Moilanen, A.; Cabeza, M. Accounting for habitat loss rates in sequential reserve selection: Simple methods for large problems. Biol. Conserv. 2007, 136, 470–482. [Google Scholar] [CrossRef]
- Florko, K.R.N.; Togunov, R.R.; Gryba, R.; Sidrow, E.; Ferguson, S.H.; Yurkowski, D.J.; Auger-Méthé, M. An introduction to statistical models used to characterize species-habitat associations with animal movement data. Mov. Ecol. 2025, 13, 27. [Google Scholar] [CrossRef]
- Zhao, Q.S.; Lou, Y.Q.; Sun, Y.H. A review of statistical methods for evaluating animal habitat selection. Chin. J. Zool. 2013, 48, 732–741. [Google Scholar]
- Zhang, T.T.; Peng, Z.J.; Zhou, D.Q.; Lu, C.H. Research progress on habitat selection of Red-crowned Crane (Grus japonensis) in China. Chin. J. Zool. 2019, 54, 134–144. [Google Scholar]
- Xu, L.; Sun, Q.; Storch, I.; Yao, Z.; Ma, J.; Cheng, K.; Zong, C. Assessing habitat suitability and conservation priorities for flagship crane species across critical wetlands in northeast China. Biol. Conserv. 2024, 294, 110638. [Google Scholar] [CrossRef]
- Batbayar, G.; Tseveenmyadag, N.; Tuvshintugs, S.; Mirande, C.; Archibald, G.; Batbayar, N.; Klaassen, M. Breeding and migration performance metrics highlight challenges for White-naped Cranes. Sci. Rep. 2022, 12, 18261. [Google Scholar] [CrossRef]
- Gong, Y.Z.; Bi, X.; Wu, J. Willingness to pay for the conservation of the endangered Red-crowned Crane in China: Roles of conservation attitudes and income. For. Policy Econ. 2020, 120, 102296. [Google Scholar] [CrossRef]
- Zhang, T.T.; Peng, Z.J.; Zhang, H.N.; Lu, C.H.; Zhou, D.Q. Landscape dynamics of the important breeding habitats of the red-crowned crane during 2000–2015. Acta Ecol. Sin. 2019, 39, 3770–3776. [Google Scholar]
- Li, Y.; Zhuang, Y.; Dong, J.; Liu, H.; Ding, J.; Wright, A.; Qiu, C. Red-crowned cranes (Grus japonensis) habitat changes in China from 1980 to 2020: Spatio-temporal distribution. J. Environ. Manag. 2025, 376, 124501. [Google Scholar] [CrossRef]
- Li, F.F.; Hu, D.Y. Research on conservation genetics and genomics of Red-Crowned Cranes. Chin. J. Wildl. 2022, 43, 845–851. [Google Scholar]
- Hou, J.; Li, L.; Wang, Y.; Wang, W.; Zhan, H.; Dai, N.; Lu, P. Influences of submerged plant collapse on diet composition, breadth, and overlap among four crane species at Poyang Lake, China. Front. Zool. 2021, 18, 24. [Google Scholar] [CrossRef] [PubMed]
- Wang, G.; Wang, C.; Guo, Z.; Dai, L.; Wu, Y.; Liu, H.; Li, Y.; Chen, H.; Zhang, Y.; Zhao, Y.; et al. A multiscale approach to identifying spatiotemporal pattern of habitat selection for red-crowned cranes. Sci. Total Environ. 2020, 739, 139980. [Google Scholar] [CrossRef] [PubMed]
- Zhou, Y.; Jing, L.; Jia, Y.F.; Gang, L. Population dynamics of four endangered cranes and landscape patterns of habitats in the East Dongting Lake during recent 30 years. J. Lake Sci. 2019, 31, 1415–1423. [Google Scholar] [CrossRef]
- Duan, P.; Chen, W.B.; Yang, H.; Liang, X. Influence and interactions of habitat fragmentation processes on habitat quality in watersheds. Acta Ecol. Sin. 2024, 44, 6053–6066. [Google Scholar]
- Gao, Y.; Na, X.D.; Li, W.L. The impact of water supplement on habitat suitability for breeding red-crowned cranes. Ecol. Inform. 2021, 66, 101463. [Google Scholar] [CrossRef]
- Sergeyev, M.; Cherry, M.J.; Tanner, E.P.; Lombardi, J.V.; Tewes, M.E.; Campbell, T.A. Multiscale assessment of habitat selection and avoidance of sympatric carnivores by the endangered ocelot. Sci. Rep. 2023, 13, 8882. [Google Scholar] [CrossRef]
- Lu, Z.; Lei, G.P.; Gou, Y.Y.; Ma, Q.L. Changes of land use intensity in the Songnen Plain of different spatial scales and their effects on climatic factors. Acta Ecol. Sin. 2021, 41, 1894–1906. [Google Scholar] [CrossRef]
- Song, C.W.; Xiang, H.X.; Chen, M.H.; Du, H. Spatiotemporal Variability in Ecological Vulnerability of Songnen Plain from 1980 to 2020. Bull. Soiland Water Conserv. 2023, 43, 366–374. [Google Scholar]
- Sun, X.; Zhu, J.; Wu, Q.; Suliman, M.; Lin, X.; Chen, L.; Zou, H. Avian biodiversity response toward ecological restoration of wetlands through farmland abandonment measures in the Sanjiang Plain, China. Diversity 2025, 17, 690. [Google Scholar] [CrossRef]
- Valente, J.J.; Gannon, D.G.; Hightower, J.; Kim, H.; Leimberger, K.G.; Macedo, R.; Rousseau, J.S.; Weldy, M.J.; Zitomer, R.A.; Fahrig, L.; et al. Toward conciliation in the habitat fragmentation and biodiversity debate. Landsc. Ecol. 2023, 38, 2717–2730. [Google Scholar] [CrossRef]
- Banks-Leite, C.; Ewers, R.M.; Folkard-Tapp, H.; Fraser, A. Countering the effects of habitat loss, fragmentation, and degradation through habitat restoration. One Earth 2020, 3, 672–676. [Google Scholar] [CrossRef]
- Wang, C.Y. Research on Land Use Changes Evaluation and Optimization Supported by Eco-Environment Information Atlas-spatial Analysis Technique in Songnen Plain. Ph.D. Thesis, Jilin University, Changchun, China, 2009. [Google Scholar]
- Bai, Y.; Qin, Y.; Lu, X.; Zhang, J.; Chen, G.; Li, X. Fractal dimension of particle-size distribution and their relationships with alkalinity properties of soils in the western Songnen Plain, China. Sci. Rep. 2020, 10, 20603. [Google Scholar] [CrossRef]
- Dong, Z.; Wang, Z.; Liu, D.; Song, K.; Li, L.; Jia, M.; Ding, Z. Mapping wetland areas using landsat-derived NDVI and LSWI: A case study of west Songnen Plain, Northeast China. J. Indian Soc. Remote Sens. 2014, 42, 569–576. [Google Scholar] [CrossRef]
- Qin, Y.; Bai, Y.; Chen, G.; Liang, Y.; Li, X.; Wen, B.; Lu, X.; Li, X. The effects of soil freeze-thaw processes on water and salt migrations in the western Songnen Plain, China. Sci. Rep. 2021, 11, 3888. [Google Scholar] [CrossRef]
- Zhao, Y.; Wang, G.; Zhao, M.; Wang, M.; Hu, N.; Jiang, M.; Qin, L. The potentials of wetland restoration after farming differ between community types due to their differences in seed limit and salt tolerances in the Songnen Plain, China. Ecol. Indic. 2021, 131, 108145. [Google Scholar] [CrossRef]
- He, C.; Sheng, L.; Lang, H.; Li, L.; Zou, L. Migration dynamics of Grus japonensis in recent years spring and conservation of its habitat in Xianghai Nature Reserve. Chin. J. Appl. Ecol. 2004, 15, 1523–1526. [Google Scholar]
- He, C.G. The Study on the Waterfowl Diversity and Habitat Conservation in Xianghai Wetland—A Case Study of Red-Crowned Crane. Ph.D. Thesis, Northeast Normal University, Changchun, China, 2008. [Google Scholar]
- Liu, J.L.; Li, H.W.; Lin, B.Q.; Liu, L. Grus japonensis population and habitat monitoring research of Xianghai wetland. J. Jilin For. Sci. Technol. 2016, 45, 30–33. [Google Scholar]
- Liu, L. Study on habitat environmental quality and habitat selection of Crane in Xianghai Wetland. Heilongjiang Huanjing Tongbao 2020, 33, 2–3+7. [Google Scholar]
- Chen, H.; Wang, G.; Wang, C.; Xue, F.; Cheng, H.; Zhang, Y. Activity rhythms, home range characteristics, and habitat selection of reintroduced red-crowned crane. Acta Ecol. Sin. 2024, 44, 1526–1538. [Google Scholar]
- Wang, Y.; Gong, M.; Zou, C.; Zhou, T.; Wen, W.; Liu, G.; Li, H.; Tao, W. Habitat selection by Siberian cranes at their core stopover area during migration in Northeast China. Glob. Ecol. Conserv. 2022, 33, e01993. [Google Scholar] [CrossRef]
- Huang, Y.J. Spatio-Temporal Habitat Selection of Wild Crested Ibis (Nipponia nippon) and Modeling of Reintroduction Sites. Ph.D. Thesis, Beijing Forestry University, Beijing, China, 2021. [Google Scholar]
- Jiang, F.; Li, G.; Qin, W.; Zhang, J.; Lin, G.; Cai, Z.; Gao, H.; Zhang, T. Setting priority conservation areas of wild Tibetan gazelle (Procapra picticaudata) in China’s first national park. Glob. Ecol. Conserv. 2019, 20, e00725. [Google Scholar] [CrossRef]
- Zhong, Y.; Xue, Z.; Jiang, M.; Liu, B.; Wang, G. The application of species distribution modeling in wetland restoration: A case study in the Songnen plain, Northeast China. Ecol. Indic. 2021, 121, 107137. [Google Scholar] [CrossRef]
- Peng, W.; Kong, D.; Wu, C.; Møller, A.P.; Longcore, T. Predicted effects of Chinese national park policy on wildlife habitat provisioning: Experience from a plateau wetland ecosystem. Ecol. Indic. 2020, 115, 106346. [Google Scholar] [CrossRef]
- Ji, Q.Z.; Wang, R.X.; Huang, Z.P.; Yuan, J.; Ren, G.; Xiao, W. Effects of sample size and study range on accuracy of MaxEnt in predicting species distribution: A case study of the black-and-white snub-nosed monkey. Acta Theriol. Sin. 2019, 39, 126–133. [Google Scholar]
- Na, X.; Zhou, H.; Zang, S.; Wu, C.; Li, W.; Li, M. Maximum entropy modeling for habitat suitability assessment of red-crowned crane. Ecol. Indic. 2018, 91, 439–446. [Google Scholar] [CrossRef]
- Wang, G.; Wang, C.; Guo, Z.; Dai, L.; Wu, Y.; Liu, H.; Li, Y.; Chen, H.; Zhang, Y.; Zhao, Y.; et al. Integrating Maxent model and landscape ecology theory for studying spatiotemporal dynamics of habitat: Suggestions for conservation of endangered red-crowned crane. Ecol. Indic. 2020, 116, 106472. [Google Scholar] [CrossRef]
- He, P.; Li, J.; Li, Y.; Xu, N.; Gao, Y.; Guo, L.; Huo, T.; Peng, C.; Meng, F. Habitat protection and planning for three Ephedra using the MaxEnt and Marxan models. Ecol. Indic. 2021, 133, 108399. [Google Scholar] [CrossRef]
- Huang, Z.; Bai, Y.; Alatalo, J.M.; Yang, Z. Mapping biodiversity conservation priorities for protected areas: A case study in Xishuangbanna Tropical Area, China. Biol. Conserv. 2020, 249, 108741. [Google Scholar] [CrossRef]
- Phillips, S.J.; Dudík, M. Modeling of species distributions with Maxent: New extensions and a comprehensive evaluation. Ecography 2008, 31, 161–175. [Google Scholar] [CrossRef]
- Vitelletti, M.L.; Manea, E.; Bongiorni, L.; Ricchi, A.; Sangelantoni, L.; Bonaldo, D. Modelling distribution and fate of coralligenous habitat in the Northern Adriatic Sea under a severe climate change scenario. Front. Mar. Sci. 2023, 10, 1050293. [Google Scholar] [CrossRef]
- Seal, S.; Bayyana, S.; Pande, A.; Ghanekar, C.; Hatkar, P.S.; Pathan, S.; Patel, S.; Rajpurkar, S.; Prajapati, S.; Gole, S.; et al. Spatial prioritization of dugong habitats in India can contribute towards achieving the 30 × 30 global biodiversity target. Sci. Rep. 2024, 14, 13984. [Google Scholar] [CrossRef]
- Luan, X.F.; Huang, W.N.; Wang, X.L.; Liu, M.C.; Liu, S.R.; Wu, B.; Li, D.Q. Identification of hotspots and gaps for biodiversity conservation in Northeast China based on a systematic conservation planning methodology. Acta Ecol. Sin. 2009, 29, 144–150. [Google Scholar]
- Wang, Y.; Na, X.D.; Zang, S.Y. Suitability of Red-crowned Crane Habitat for 4 Periods in Songnen Plain under Disturbance of Human Activities. Wetl. Sci. 2018, 16, 438–444. [Google Scholar]
- Liu, D.W.; Zhang, Y.L.; Sun, Y.; LV, S.C.; Cheng, H.; Mu, S.J.; Lu, C.H. Population Dynamics and Habitat Selection of Overwintering Red-Crowned Cranes in Coastal Wetland of Yancheng, Jiangsu Province. J. Ecol. Rural Environ. 2016, 32, 473–477. [Google Scholar]
- Zhou, H.T.; Na, X.D.; Zang, S.Y. Dynamic change of red-crowned crane habitat suitability in the west Songnen Plain during the past 30 years. Chin. J. Ecol. 2016, 35, 1009–1018. [Google Scholar]
- Yao, W.; Yang, J.; Ma, Y.; Liu, L.; Shang, E.; Zhang, S. Habitat suitability assessment of key wildlife in Hainan Tropical Rainforest Based on ESDM. Life 2025, 15, 323. [Google Scholar] [CrossRef] [PubMed]
- Northrup, J.M.; Wal, E.V.; Bonar, M.; Fieberg, J.; Laforge, M.P.; Leclerc, M.; Prokopenko, C.M.; Gerber, B.D. Conceptual and methodological advances in habitat-selection modeling: Guidelines for ecology and evolution. Ecol. Appl. 2022, 32, e02470. [Google Scholar] [CrossRef] [PubMed]
- Gong, Z.-N.; Su, S.; DU, B.; Guan, H.; Zhang, Q. Habitat selection and dispersal of red-crowned cranes during breeding period in Zhalong Wetland National Nature Reserve. J. Nat. Resour. 2021, 36, 1964–1975. [Google Scholar] [CrossRef]
- Wu, Q.M.; Zou, H.F.; Jin, H.Y.; Ma, J.Z. A multi-scale feeding habitat selection of Red-crowned crane during spring migration at the Shuangtaihekou Nature Reserve, Liaoning Province, China. Acta Ecol. Sin. 2013, 33, 6470–6477. [Google Scholar]
- Yu, X. Remote Sensing Identification and Dynamic Monitoring of Potential Habitats of Red-Crowned Cranes. Master’s Thesis, Harbin Normal University, Harbin, China, 2023. [Google Scholar]
- Huang, H.W.; Liu, Y.; Chen, J.Z.; Li, X.M. Discussion on Scope Demarcation Methods for the Proposed Songnen Plain Crane Homeland National Park. Landsc. Archit. 2022, 29, 26–29. [Google Scholar]
- Gong, M.; Pang, S.; Gao, Z.; Wen, W.; Zhang, L.; Liu, G.; Li, H.; Qian, F.; Wang, W. The path forward: Conservation of climate change-affected breeding habitat of Red-crowned Cranes near Zhalong Reserve, China. Pak. J. Zool. 2021, 53, 733–742. [Google Scholar] [CrossRef]
- Qi, L.; Lu, M.; Uddin, M.; Wang, M.; Su, J.; Zhang, X.; Huang, J.; Hu, J. Impacts of land use change on habitat quality and its driving mechanisms in the lake basin of Central Yunnan. Sci. Rep. 2025, 15, 18318. [Google Scholar] [CrossRef]
- Zhang, B.X.; Li, C.L.; Zuo, X.K.; Na, X.D. Impacts of climate change on potential habitat suitability of red-crowned cranes in the autumn migration. Acta Ecol. Sin. 2024, 44, 5194–5205. [Google Scholar]
- Gu, J.; Zhang, Y.; Wang, F.; Kong, Z. Simulation and analysis of red-crowned crane habitat suitability using maximum entropy and information entropy models. Ecol. Indic. 2023, 155, 110999. [Google Scholar] [CrossRef]
- Geng, J.; Zhang, J.; Liu, X.; Qin, S. The impact of climate change and human activities on the habitat distribution and ecological corridors of Hoolock tianxing in Western Yunnan Province, China. Diversity 2025, 17, 125. [Google Scholar] [CrossRef]





| Land Use Type | Description | Area (km2) | |||
|---|---|---|---|---|---|
| 1990 | 2000 | 2010 | 2020 | ||
| Cropland | Land used for growing crops | 42,223.93 | 43,466.75 | 44,952.89 | 46,878.3 |
| Forest land | Includes closed forest, broad-leaved forest, shrubland, sparse woodland, and other wooded land | 3126.54 | 4763.32 | 8417.96 | 7248.04 |
| Grassland | Land where herbaceous vegetation covers ≥ 5% | 16,574.46 | 14,918.31 | 9182.77 | 7535.79 |
| Water body | Natural inland waters and land for water-engineering facilities | 8127.46 | 6642.05 | 4528.58 | 4182.13 |
| Built-up land | Urban, rural, and industrial/mining sites plus transportation land outside county towns | 3901 | 5527.65 | 7011.39 | 9047.19 |
| Saline–alkali land | Land with surface salt/alkali accumulation, sparse vegetation, and only salt-tolerant plants | 8708.82 | 7144.24 | 9192.46 | 10,129.27 |
| Marshland | Flat, poorly drained land that is wet seasonally or permanently and supports hygrophytic vegetation | 7638.89 | 7874.87 | 5696.75 | 5910.77 |
| Unused land | Land not currently utilized, mainly sandy land | 3959.18 | 3923.1 | 5277.49 | 3328.81 |
| Variable(s) | Spatial Resolution | Temporal Coverage | Data Source |
|---|---|---|---|
| Altitude | 30 m | 1990–2020 | http://www.gscloud.cn/ |
| Slope | 30 m | 1990–2020 | http://www.gscloud.cn/ |
| Aspect | 30 m | 1990–2020 | http://www.gscloud.cn/ |
| NDVI | 30 m | 1990–2020 | Landsat-8 OLI SR |
| Land use type | 30 m | 1990–2020 | http://www.gscloud.cn/ |
| Distance from cropland | 30 m | 1990–2020 | https://www.webmap.cn/ |
| Distance from road | 30 m | 1990–2020 | https://www.webmap.cn/ |
| Variables | Percent Contribution (%) | |||||||||||
|---|---|---|---|---|---|---|---|---|---|---|---|---|
| Spring Migration Period | Breeding Season | Autumn Migration Period | ||||||||||
| 1990 | 2000 | 2010 | 2020 | 1990 | 2000 | 2010 | 2020 | 1990 | 2000 | 2010 | 2020 | |
| Distance from cropland | 43.14 | 60.68 | 2.71 | 39.80 | 28.76 | 71.31 | 1.13 | 48.47 | 0.12 | 1.96 | 11.15 | 61.86 |
| Type of land use | 35.83 | 16.65 | 62.21 | 52.33 | 61.5 | 14.51 | 62.04 | 43.84 | 13.76 | 24.68 | 45.48 | 18.71 |
| Normalized Difference Vegetation Index | 0.59 | 9.47 | 7.78 | 1.52 | 0.95 | 4.61 | 4.73 | 1.33 | 24.25 | 12.04 | 10.93 | 10.54 |
| Aspect | 0.62 | 1.61 | 0.35 | 0.39 | 2.12 | 1.01 | 0.25 | 0.19 | 0.83 | 0.49 | 0.62 | 0.70 |
| Distance from road | 8.32 | 1.66 | 10.08 | 1.66 | 1.21 | 2.55 | 20.85 | 3.41 | 36.40 | 38.38 | 12.16 | 6.86 |
| Altitude | 11.28 | 9.67 | 16.46 | 3.77 | 2.24 | 1.66 | 9.70 | 1.80 | 23.71 | 22.11 | 18.37 | 1.20 |
| Slope | 0.22 | 0.25 | 0.42 | 0.53 | 3.23 | 4.35 | 1.29 | 0.95 | 0.93 | 0.34 | 1.28 | 0.13 |
| Suitability Classification | 1990 | 2000 | 2010 | 2020 | |||||
|---|---|---|---|---|---|---|---|---|---|
| Aera (km2) | % | Aera (km2) | % | Aera (km2) | % | Aera (km2) | % | ||
| Spring Migration Period | Highly suitable | 2193.83 | 0.95 | 2565.80 | 1.11 | 1075.21 | 0.46 | 751.83 | 0.33 |
| Moderately suitable | 7944.91 | 3.43 | 9298.98 | 4.02 | 4416.53 | 1.91 | 3270.03 | 1.41 | |
| Low suitable | 7999.04 | 8.49 | 9078.76 | 9.63 | 3656.28 | 3.88 | 2165.32 | 2.30 | |
| Not suitable | 201,532.85 | 87.13 | 197,157.35 | 85.24 | 216,836.32 | 93.75 | 221,964.80 | 95.96 | |
| Breeding Season | Highly suitable | 677.56 | 0.72 | 826.77 | 0.88 | 457.85 | 0.49 | 133.72 | 0.14 |
| Moderately suitable | 2504.83 | 2.66 | 2510.81 | 2.66 | 1579.12 | 1.68 | 756.42 | 0.80 | |
| Low suitable | 3891.09 | 4.13 | 7622.31 | 8.09 | 2400.68 | 2.55 | 941.45 | 1.00 | |
| Not suitable | 87,185.99 | 92.49 | 85,977.02 | 91.21 | 89,822.63 | 95.29 | 92,428.70 | 98.06 | |
| Autumn Migration Period | Highly suitable | 1970.32 | 0.85 | 2271.90 | 0.98 | 1087.81 | 0.47 | 356.01 | 0.15 |
| Moderately suitable | 5691.14 | 2.46 | 7934.97 | 3.43 | 3248.71 | 1.40 | 1485.89 | 0.64 | |
| Low suitable | 14,135.26 | 6.11 | 17,094.88 | 7.39 | 8704.91 | 3.76 | 2404.96 | 1.04 | |
| Not suitable | 209,503.28 | 90.58 | 203,998.25 | 88.20 | 218,258.57 | 94.36 | 227,053.14 | 98.16 | |
Disclaimer/Publisher’s Note: The statements, opinions and data contained in all publications are solely those of the individual author(s) and contributor(s) and not of MDPI and/or the editor(s). MDPI and/or the editor(s) disclaim responsibility for any injury to people or property resulting from any ideas, methods, instructions or products referred to in the content. |
© 2025 by the authors. Licensee MDPI, Basel, Switzerland. This article is an open access article distributed under the terms and conditions of the Creative Commons Attribution (CC BY) license (https://creativecommons.org/licenses/by/4.0/).
Share and Cite
Sun, X.; Gao, Z.; Lin, X.; Wu, Q.; Suliman, M.; Zhu, J.; Zou, H. Three Decades of Habitat Loss and Northward Shift in the Red-Crowned Crane on the Songnen Plain: Conservation Gaps and the Need for Network Expansion. Ecologies 2025, 6, 76. https://doi.org/10.3390/ecologies6040076
Sun X, Gao Z, Lin X, Wu Q, Suliman M, Zhu J, Zou H. Three Decades of Habitat Loss and Northward Shift in the Red-Crowned Crane on the Songnen Plain: Conservation Gaps and the Need for Network Expansion. Ecologies. 2025; 6(4):76. https://doi.org/10.3390/ecologies6040076
Chicago/Turabian StyleSun, Xueying, Zhongsi Gao, Xiaogang Lin, Qingming Wu, Muhammad Suliman, Jingli Zhu, and Hongfei Zou. 2025. "Three Decades of Habitat Loss and Northward Shift in the Red-Crowned Crane on the Songnen Plain: Conservation Gaps and the Need for Network Expansion" Ecologies 6, no. 4: 76. https://doi.org/10.3390/ecologies6040076
APA StyleSun, X., Gao, Z., Lin, X., Wu, Q., Suliman, M., Zhu, J., & Zou, H. (2025). Three Decades of Habitat Loss and Northward Shift in the Red-Crowned Crane on the Songnen Plain: Conservation Gaps and the Need for Network Expansion. Ecologies, 6(4), 76. https://doi.org/10.3390/ecologies6040076
