Abstract
Within biogeographic regions, local communities are structured mainly by abiotic (environmental) filtering, external resource supply, and biotic interactions. In recent years, we investigated abiotic filtering and external resource supply as drivers of the latitudinal distribution of rocky intertidal species along the Atlantic Canadian coast in Nova Scotia. Here, we evaluate biotic interactions between the main sessile species groups. Specifically, we studied abundance relationships between seaweeds and filter-feeding invertebrates and between barnacles and mussels using data collected at mid-to-high intertidal elevations at eight wave-exposed locations every summer from 2014 to 2017. We assessed such relationships for each location and year through generalized additive modeling (GAM). Of the 32 relationships evaluated for seaweeds vs. filter-feeders, 31% were significant and consistently negative, suggesting competitive interactions. For barnacles vs. mussels, 25% of the relationships were significant and mostly positive, consistent with facilitation of mussel colonization by barnacles in harsh environments. The variability explained by these models was moderate, however, between around 10% and 50%. Overall, these results suggest that interactions between the studied sessile species groups are infrequent and, when present, relatively weak in these highly stressful habitats, which supports current ecological theory on community organization.
1. Introduction
Within biogeographic regions, a central driver of local community structure is environmental filtering, which influences the distribution of species based on their abiotic tolerances. Another driver is external resource supply, which influences species performance through, for example, the provision of exogenous food sources. A third driver includes biotic interactions. For example, competitive interactions may reduce local species abundance below the levels permitted by abiotic conditions, while facilitative interactions can increase species abundance above such levels [1,2,3].
This study focuses on rocky intertidal communities, which are those inhabiting marine rocky shores between the highest and lowest tide marks. The Atlantic coast of Nova Scotia (Canada) has rocky intertidal habitats hosting various primary producers and consumers [4,5,6]. Recently, we began investigating the latitudinal biogeography of this coast. Between 2014 and 2017, we quantified the summer abundance of seaweeds and invertebrates at mid-to-high elevations in wave-exposed habitats (those facing the open ocean) at nine locations spanning 415 km. To study environmental filtering, we regularly measured intertidal temperature [7] and collected data on ice load [8]. While temperature affects the performance of aquatic ectotherms [9,10], ice load is sometimes important as a disturbance agent. Every winter, sea ice forms extensively across the Gulf of St. Lawrence [11], north of the open Atlantic coast of Nova Scotia (Figure 1). As spring comes, ice fragments leave this gulf and, if abundant, reach the Atlantic coast of mainland Nova Scotia as they drift south. In years with abundant drift ice, intense intertidal disturbance occurs due to ice scour [12,13]. As ice fragments melt as they drift south, only northern intertidal communities on this coast are shaped by ice scour. Maximum daily temperature was positively related to the higher species richness and cover of southern communities [14]. Studies also revealed the importance of pelagic food supply, as phytoplankton abundance (food for intertidal filter-feeders) was positively related to the recruitment of intertidal barnacles and mussels [15] and barnacle growth [16]. Overall, air and sea temperature (which affect intertidal communities at low and high tide, respectively) and pelagic food supply together explained 32–55% (depending on the year) of the variation in intertidal community structure along the coast [14]. In this article, we use the species data in a different way to evaluate if biotic interactions may further contribute to explaining species abundance patterns on this coast.
Figure 1.
Map of Atlantic Canada showing the position of the eight intertidal locations (L1 to L8) studied along the open coast of Nova Scotia.
Species interactions are best detected with experiments that manipulate species abundance [17,18,19], but this approach may not always be applicable due to logistical or ethical considerations [20,21]. For instance, running multiannual experiments at various locations requires a logistical support that may be unavailable, while the experimental removal of organisms in small communities may compromise community stability. This was the case for our studied communities, as they span a narrow elevational range (mid-to-high intertidal zone) on a coast where maximum tidal amplitude ranges only from 1.8 m in the north to 2.4 m in the south [14]. In addition, at our locations, few areas can be safely accessed due to strong wave action and rugged topography. Ultimately, the decision to maintain communities as pristine as possible prevented the setup of an extensive network of removal experiments. Thus, to address the goals of this study, we used a mensurative approach based on species abundance data [22,23]. This approach has provided useful insights on biotic interactions in regional-scale studies on other ecosystems of the world [24,25,26].
To address our goals, we used data on the abundance of sessile species measured every summer from 2014 to 2017 [14]. Sessile species include seaweeds and filter-feeding invertebrates and are the main intertidal space holders, acting as basal species for local food webs. As many sessile species coexist [14], we used data for groups of sessile species that play a similar ecological role [27,28,29,30,31]. Following this approach, we evaluated the relationship between the abundance of seaweeds and filter-feeders. In these habitats, algae of the genus Fucus are the dominant seaweeds, while sessile filter-feeders include barnacles, mussels, and (in very low abundances) hydroids [14]. Canopies of fucoid algae can improve conditions for smaller species by limiting thermal and desiccation extremes during low tides [32,33]. However, in wave-exposed habitats, wave splash can reduce those stresses during low tides and algal canopies can damage smaller organisms during high tides through a whiplash effect [34]. In turn, filter-feeders can prevent the settlement of algal propagules through space preemption or displace algae through overgrowth [35,36,37,38]. Because of these possible reciprocal influences, we hypothesized negative relationships between the abundance of seaweeds and filter-feeders. We also evaluated the relationship between the abundance of barnacles and mussels, as they are the dominant filter-feeders [14]. After pronounced biomass losses (especially on wave-exposed areas), barnacles are often the first organisms to recolonize the substrate. Mussels often recolonize disturbed habitats only after dense barnacle stands have developed, as the rugosity of barnacle shells facilitates the settlement of mussel larvae [39,40,41,42]. Therefore, we hypothesized positive relationships between the abundance of mussels and barnacles in our stressful environments.
2. Materials and Methods
We used the data on sessile species abundance from [14]. Here we summarize aspects of the sampling design of that study [14] that are relevant for this study. Each summer from 2014 to 2017, the abundance of sessile species was measured at the mid-to-high intertidal zone in wave-exposed habitats at nine locations spanning the Atlantic coast of mainland Nova Scotia, Canada. The substrate of the studied habitats is stable bedrock. Location coordinates, sampling dates, and surveyed elevations (in meters above chart datum) are available from [14]. Photographs [43] and videos [44] of the locations are available online. Maps of the areas sampled at each location are in [43]. Sampling the same intertidal elevations and wave exposure ensured that the same level of abiotic stress was consistently surveyed. The abundance of each sessile species was quantified as percent cover in replicate random quadrats examined during low tides. The sampling unit was a frame measuring 20 cm × 20 cm subdivided with monofilament line in 100 square areas. For each quadrat, the percent cover of a species was measured as the number of square areas covered 50% or more by that species. If a species was present in a quadrat but covered less than 1% of it, its percent cover for the quadrat was recorded as 0.5%. The cover of canopy-forming algae was measured first and the cover of understory species afterwards by carefully moving canopies aside. At each location, 30 quadrats were examined each year except at the southernmost location (only 10–12 quadrats), so we did not use the data for that location. Hereafter, we refer to the targeted eight locations as L1 to L8, from north to south (Figure 1).
To test our first hypothesis, we calculated the aggregate abundance of all seaweeds and the aggregate abundance of all filter-feeders (mostly barnacles and mussels) for each quadrat. Because seaweeds often formed different layers, the aggregate abundance of seaweeds could exceed 100% for a quadrat (Figure 2). To test our second hypothesis, we used the abundance data for barnacles and mussels. On this coast, there is only one intertidal barnacle species (Semibalanus balanoides) and two species of blue mussel (Mytilus edulis and M. trossulus). Because of the similarity between these two mussel species [45] and potential hybridization [46], mussel abundance was measured in [14] for both species combined (Mytilus spp.), as commonly done in field studies with these species [47,48]. Genetic surveys using samples from wave-exposed intertidal habitats on our coast revealed a predominance of M. trossulus (80–85%) over M. edulis [49,50].
We tested our two hypotheses by calculating abundance relationships (seaweed abundance vs. filter-feeder abundance and barnacle abundance vs. mussel abundance) for each location (L1 to L8) and year (2014 to 2017). We excluded the quadrats where the two species groups being compared were absent [26]. We determined each relationship by fitting a generalized additive model (GAM) to the data [51]. The GAM technique identifies the most suitable relationship without any pre-conceived function in mind. We defined significance when the p value of a model was lower than 0.05 and marginal significance when the p value was between 0.05 and 0.10. We calculated the percentage of variation explained by a model as the explained deviance [51]. We did these analyses with R 4.2.3 [52], using the mgcv package to calculate the GAMs. Overall, we followed the comparative approach used in ecology to compare patterns across distant locations [53,54].
3. Results
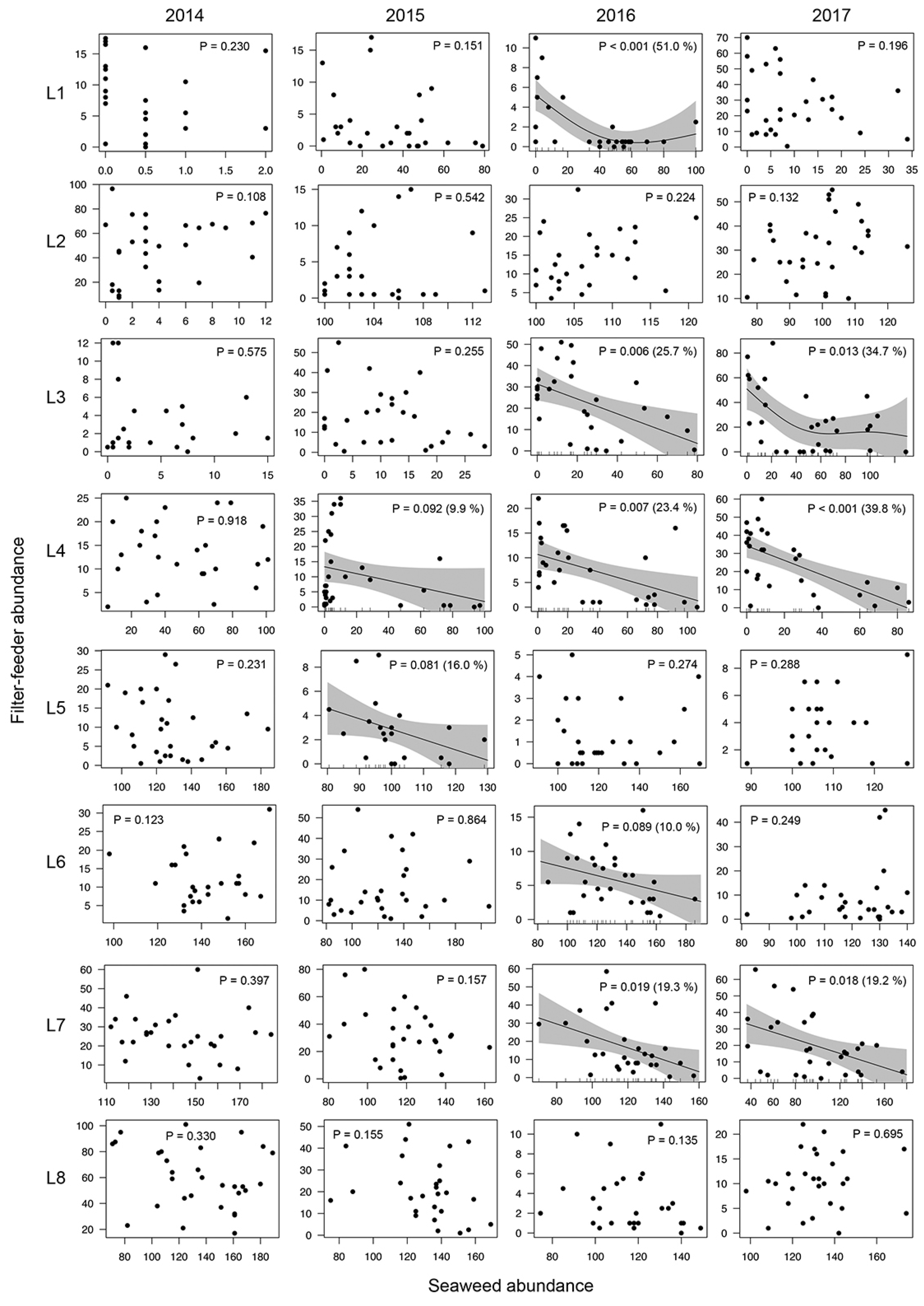
Of the 32 relationships (8 locations × 4 years) analyzed between seaweed abundance and filter-feeder abundance, seven were significant (p < 0.05) and three were marginally significant (0.05 < p < 0.10). The number of significant relationships was more than four times higher than expected by chance given a significance level of 0.05. Moreover, the significant (and even marginally significant) relationships were all negative (Figure 2), which makes it even less likely that all such results occurred by chance because our hypothesis (see Introduction) was directional. The amount of variability explained by these GAMs ranged between 9.9% and 51% (Figure 2). The use of seaweed abundance as the independent variable and filter-feeder abundance as the dependent variable was a haphazard choice, as the underlying theory posited reciprocal negative effects between both species groups.
Figure 2.
Relationship between the aggregate abundance of seaweeds and the aggregate abundance of filter-feeding invertebrates (percent cover) at mid-to-high intertidal elevations at eight wave-exposed rocky locations on the Nova Scotia coast (L1 to L8) surveyed between 2014 and 2017. GAMs and confidence bands are only shown for significant (p < 0.05) and marginally significant (0.05 < p < 0.10) relationships. The percent deviance explained by each GAM is given in parenthesis.
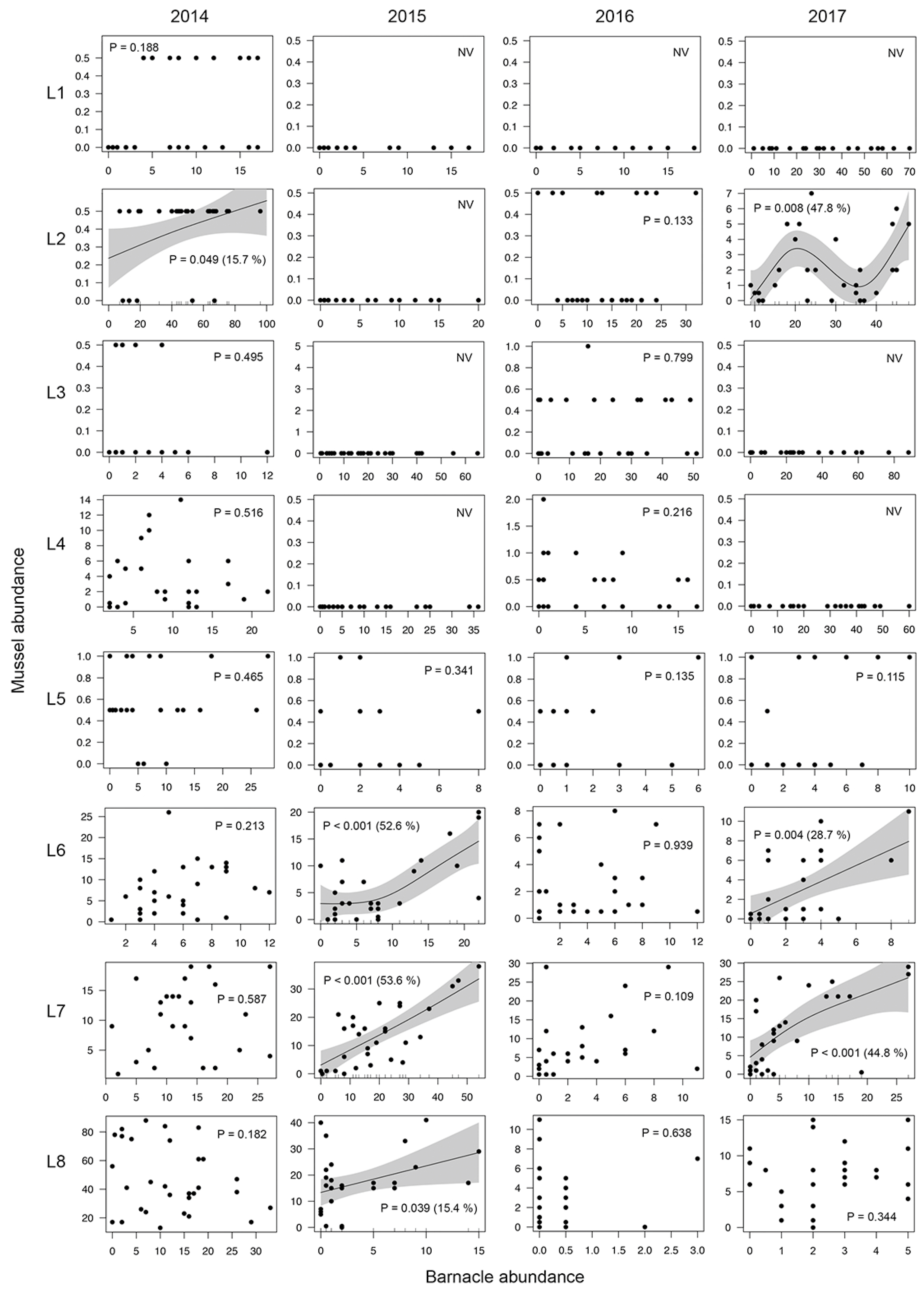
Of the 32 relationships analyzed between barnacle abundance and mussel abundance, seven were significant (p < 0.05), more than four times higher than expected by chance given a significance level of 0.05. All but one of these relationships were positive. However, although the divergent relationship (L2 in 2017) was more complex, values of the dependent variable nonetheless increased from the lowest to the highest values of the independent variable (Figure 3). Having found mostly only positive relationships makes it even less likely that such findings occurred solely due to chance because our hypothesis was directional (see Introduction). Mussel abundance was considered as the dependent variable in these tests because of the predicted positive effects of barnacles. The amount of variability explained by these GAMs ranged between 15.4% and 53.6% (Figure 3).
Figure 3.
Relationship between the abundance of barnacles and mussels (percent cover) at mid-to-high intertidal elevations at eight wave-exposed rocky locations on the Nova Scotia coast (L1 to L8) surveyed between 2014 and 2017. GAMs and confidence bands are only shown for significant (p < 0.05) relationships. The percent deviance explained by each GAM is given in parenthesis. “NV” means “no variation” in the dependent variable.
4. Discussion
This study examined interactions between dominant sessile species from mid-to-high elevations in wave-exposed rocky intertidal habitats in Nova Scotia using multiannual surveys. Mensurative approaches are often better than experimental approaches in terms of realism because of the lack of potential artifacts, but their degree of variable control may be lower because the data are collected without dedicated factor manipulations [55,56]. Here, we discuss the conclusions inferred from our tests and the potential caveats.
The relationship identified between the abundance of seaweeds and filter-feeders was consistently negative. Given the spatial resolution at which the data were collected (quadrats), this pattern suggests competition between both species groups [20]. Possible underlying mechanisms are space preemption, overgrowth, or whiplash by algal canopies [34,35,36,37,38]. In contrast, the only relationship identified between mussel and barnacle abundance was positive (except for one case, although it was still positive when comparing mussel values at low and high barnacle abundances). Such positive relationships are consistent with facilitation of mussel colonization by barnacle stands [39,40,41,42,57].
The variability explained by these models was moderate, however, between around 10% and 50%. Moreover, the significant (including marginally significant) relationships represented only 31% (for seaweeds vs. filter-feeders) and 25% (for mussels vs. barnacles) of the 32 relationships examined for each interaction. These findings suggest that interactions between the studied sessile groups may be infrequent and, when present, not particularly strong. This conclusion supports current ecological theory on community organization, which predicts weak biotic interactions among basal species under strong levels of abiotic stress [1,2]. The surveyed habitats are particularly stressful for sessile organisms because of the long aerial exposures during low tides in calm days [58,59,60] and the strong hydrodynamic forces during high tides in days with heavy surf [61,62].
An alternative explanation for the observed patterns includes microhabitat differences affecting species abundance directly [63]. In rocky intertidal habitats, elevation and wave exposure are the two main axes of local environmental variation [64]. However, even for habitats situated at the same elevation and experiencing the same wave exposure at a given coastal location, differences in substrate rugosity, chemistry, slope, and orientation can affect small-scale conditions in terms of water motion, moisture at low tide, light, and temperature [65,66,67,68,69,70,71]. Under that possibility, if two species have opposite ecological preferences, negative abundance relationships across space may result without any competition at play. Similarly, positive abundance relationships could result if two species share similar abiotic preferences. Although these scenarios are possible, the identified relationships often included high abundances for at least one of the two groups, suggesting that abundance-mediated interactions indeed occurred. In addition, the comparison between seaweeds and filter-feeders lumped all seaweed and filter-feeder species into those two groups, making less likely that the identified relationships may have been determined solely by species-specific microhabitat preferences. Fucoid canopies can also negatively affect filter-feeder abundance by improving conditions for dogwhelks [72], which are snails that prey on mussels and barnacles [73,74,75]. However, dogwhelk foraging efficiency is low in wave-exposed habitats [72] and fucoid whiplash further decreases it in such places.
Within biogeographic regions, local communities are mainly structured by abiotic filtering, resource supply, and biotic interactions [1,2,3,76,77]. Previous research showed that temperature and pelagic food supply explain a moderate amount of variation in community structure at mid-to-high elevations in wave-exposed rocky intertidal habitats along the Nova Scotia coast [14]. The present study provides mensurative evidence of interactions between dominant sessile species groups, although such interactions are seemingly weak and infrequent. Only scour by drift ice showed a high importance, but drift ice does not occur every year [14] and its frequency is decreasing with climate change [8]. As this coastal system is located on a western ocean boundary and intertidal ecology has most often studied eastern ocean boundaries, these studies in Nova Scotia are covering gaps in our understanding of rocky intertidal ecology globally.
Author Contributions
Conceptualization, R.A.S.; methodology, R.A.S.; formal analysis, R.A.S., H.L.M. and E.J.P.; investigation, R.A.S., H.L.M. and E.J.P.; resources, R.A.S.; data curation, R.A.S., H.L.M. and E.J.P.; writing—original draft preparation, R.A.S.; writing—review and editing, H.L.M. and E.J.P.; project administration, R.A.S.; funding acquisition, R.A.S. All authors have read and agreed to the published version of the manuscript.
Funding
This research was funded by a Discovery Grant (# 311624) awarded to R.A.S. by the Natural Sciences and Engineering Research Council of Canada (NSERC).
Institutional Review Board Statement
Not applicable.
Informed Consent Statement
Not applicable.
Data Availability Statement
The dataset on species abundance used for this study is freely available from the figshare online repository: https://doi.org/10.6084/m9.figshare.20205023.v1 (accessed on
29 June 2025).
Acknowledgments
We are grateful to anonymous reviewers for their constructive comments on an earlier version of this manuscript.
Conflicts of Interest
The authors declare no conflicts of interest. The funder had no role in the design of the study, in the collection, analyses, or interpretation of data, in the writing of the manuscript, or in the decision to publish the results.
References
- Menge, B.A.; Sutherland, J.P. Community regulation: Variation in disturbance, competition, and predation in relation to environmental stress and recruitment. Am. Nat. 1987, 130, 730–757. [Google Scholar] [CrossRef]
- Bruno, J.F.; Stachowicz, J.J.; Bertness, M.D. Inclusion of facilitation into ecological theory. Trends Ecol. Evol. 2003, 18, 119–125. [Google Scholar] [CrossRef]
- Vellend, M. The Theory of Ecological Communities; Princeton University Press: Princeton, NJ, USA, 2016. [Google Scholar]
- Stephenson, T.A.; Stephenson, A. Life between tide marks in North America. IIIA. Nova Scotia and Prince Edward Island: Descripton of the region. J. Ecol. 1954, 42, 14–45. [Google Scholar] [CrossRef]
- Scrosati, R.; Heaven, C. Spatial trends in community richness, diversity, and evenness across rocky intertidal environmental stress gradients in eastern Canada. Mar. Ecol. Prog. Ser. 2007, 342, 1–14. [Google Scholar] [CrossRef]
- Arribas, L.P.; Donnarumma, L.; Palomo, M.G.; Scrosati, R.A. Intertidal mussels as ecosystem engineers: Their associated invertebrate biodiversity under contrasting wave exposures. Mar. Biodiv. 2014, 44, 203–211. [Google Scholar] [CrossRef]
- Scrosati, R.A.; Ellrich, J.A.; Freeman, M.J. Half-hourly changes in intertidal temperature at nine wave-exposed locations along the Atlantic Canadian coast: A 5.5-year study. Earth Syst. Sci. Data 2020, 12, 2695–2703. [Google Scholar] [CrossRef]
- Canadian Ice Service. Available online: https://www.canada.ca/en/environment-climate-change/services/ice-forecasts-observations.html (accessed on 30 June 2025).
- Payne, N.L.; Smith, J.A.; van der Meulen, D.E.; Taylor, M.D.; Watanabe, Y.Y.; Takahashi, A.; Marzullo, T.A.; Gray, C.A.; Cadiou, G.; Suthers, I.M. Temperature dependence of fish performance in the wild: Links with species biogeography and physiological thermal tolerance. Funct. Ecol. 2016, 30, 903–912. [Google Scholar] [CrossRef]
- Seabra, R.; Wethey, D.S.; Santos, A.M.; Gomes, F.; Lima, F.P. Equatorial range limits of an intertidal ectotherm are more linked to water than air temperature. Glob. Change Biol. 2016, 22, 3320–3331. [Google Scholar] [CrossRef]
- Saucier, F.J.; Roy, F.; Gilbert, D.; Pellerin, P.; Ritchie, H. Modeling the formation and circulation processes of water masses and sea ice in the Gulf of St. Lawrence, Canada. J. Geophys. Res. 2003, 108, 3269. [Google Scholar] [CrossRef]
- McCook, L.J.; Chapman, A.R.O. Patterns and variations in natural succession following massive ice scour of a rocky intertidal seashore. J. Exp. Mar. Biol. Ecol. 1997, 214, 121–147. [Google Scholar] [CrossRef]
- Petzold, W.; Willers, M.T.; Scrosati, R.A. Visual record of intertidal disturbance caused by sea ice in the spring on the Atlantic coast of Nova Scotia. F1000Research 2014, 3, 112. [Google Scholar] [CrossRef]
- Scrosati, R.A.; Freeman, M.J.; Ellrich, J.A.; Petzold, W. Biogeography of algae and invertebrates from wave-exposed rocky intertidal habitats along the Atlantic coast of Nova Scotia (Canada): Latitudinal and interannual patterns and possible underlying drivers. Front. Mar. Sci. 2022, 9, 987162. [Google Scholar] [CrossRef]
- Scrosati, R.A.; Ellrich, J.A. Benthic-pelagic coupling and bottom-up forcing in rocky intertidal communities along the Atlantic Canadian coast. Ecosphere 2018, 9, e02229. [Google Scholar] [CrossRef]
- Scrosati, R.A.; Ellrich, J.A. A 5-year study (2014–2018) of the relationship between coastal phytoplankton abundance and intertidal barnacle size along the Atlantic Canadian coast. PeerJ 2019, 7, e6892. [Google Scholar] [CrossRef] [PubMed]
- Paine, R.T. Marine Rocky Shores and Community Ecology: An Experimentalist’s Perspective; Ecology Institute: Oldendorf, Germany, 1994. [Google Scholar]
- Menge, B.A. Indirect effects in marine rocky intertidal interaction webs: Patterns and importance. Ecol. Monogr. 1995, 65, 21–74. [Google Scholar] [CrossRef]
- Underwood, A.J. Experiments in Ecology. Their Logical Design and Interpretation using Analysis of Variance; Cambridge University Press: Cambridge, UK, 1997. [Google Scholar]
- Sagarin, R.; Pauchard, A. Observational approaches in ecology open new ground in a changing world. Front. Ecol. Environ. 2010, 8, 379–386. [Google Scholar] [CrossRef]
- Siegel, K.; Dee, L.E. Foundations and future directions for causal inference in ecological research. Ecol. Lett. 2025, 28, e70053. [Google Scholar] [CrossRef]
- Leibold, M.A.; Rudolph, F.J.; Blanchet, F.G.; De Meester, L.; Gravel, D.; Hartig, F.; Peres-Neto, P.; Shoemaker, L.; Chase, J.M. The internal structure of metacommunities. Oikos 2022, 2022, e08618. [Google Scholar] [CrossRef]
- Thuiller, W.; Calderón-Sanou, I.; Chalmandrier, L.; Gaüzère, P.; O’Connor, L.M.J.; Ohlmann, M.; Poggiato, G.; Münkemüller, T. Navigating the integration of biotic interactions in biogeography. J. Biogeogr. 2024, 51, 550–559. [Google Scholar] [CrossRef]
- Menge, B.A.; Menge, D.N.L. Dynamics of coastal meta-ecosystems: The intermittent upwelling hypothesis and a test in rocky intertidal regions. Ecol. Monogr. 2013, 83, 283–310. [Google Scholar] [CrossRef]
- Lany, N.K.; Zarnetske, P.L.; Gouhier, T.C.; Menge, B.A. Incorporating context dependency of species interactions in species distribution models. Integr. Comp. Biol. 2017, 57, 159–167. [Google Scholar] [CrossRef] [PubMed]
- Spiecker, B.J.; Menge, B.A. Testing effects of bottom-up factors, grazing, and competition on New Zealand rocky intertidal algal communities. Ecol. Evol. 2024, 13, e10704. [Google Scholar] [CrossRef]
- Hawkins, S.J.; Pack, K.E.; Firth, L.B.; Mieszkowska, N.; Evans, A.J.; Martins, G.M.; Åberg, P.; Adams, L.C.; Arenas, F.; Boaventura, D.M.; et al. The intertidal zone of the north-east Atlantic region: Pattern and process. In Interactions in the Marine Benthos: Global Patterns and Processes; Hawkins, S.J., Bohn, K., Firth, L.B., Williams, G.A., Eds.; Cambridge University Press: Cambridge, UK, 2019; pp. 7–46. [Google Scholar]
- Palomo, M.G.; Bagur, M.; Calla, S.; Dalton, M.C.; Soria, S.A.; Hawkins, S.J. Biodiversity and interactions on the intertidal rocky shores of Argentina (south-west Atlantic). In Interactions in the Marine Benthos: Global Patterns and Processes; Hawkins, S.J., Bohn, K., Firth, L.B., Williams, G.A., Eds.; Cambridge University Press: Cambridge, UK, 2019; pp. 164–189. [Google Scholar]
- Menge, B.A.; Caselle, J.E.; Milligan, K.; Gravem, S.A.; Gouhier, T.C.; White, J.W.; Barth, J.A.; Blanchette, C.A.; Carr, M.H.; Chan, F.; et al. Integrating coastal oceanic and benthic ecological approaches for understanding large-scale meta-ecosystem dynamics. Oceanography 2019, 32, 38–49. [Google Scholar] [CrossRef]
- Ishida, K.; Tachibana, M.; Hori, M.; Okuda, T.; Yamamoto, T.; Nakaoka, M.; Noda, T. Quantifying the dynamics of rocky intertidal sessile communities along the Pacific coast of Japan: Implications for ecological resilience. Sci. Rep. 2021, 11, 16073. [Google Scholar] [CrossRef]
- Thyrring, J.; Wegeberg, S.; Blicher, M.E.; Krause-Jensen, D.; Høgslund, S.; Olesen, B.; Wiktor, J.; Mouritsen, K.N.; Peck, L.S.; Sejr, M.K. Latitudinal patterns in intertidal ecosystem structure in West Greenland suggest resilience to climate change. Ecography 2021, 44, 1156–1168. [Google Scholar] [CrossRef]
- Bertness, M.D.; Leonard, G.H.; Levine, J.M.; Schmidt, P.R.; Ingraham, A.O. Testing the relative contribution of positive and negative interactions in rocky intertidal communities. Ecology 1999, 80, 2711–2726. [Google Scholar] [CrossRef]
- Joseph, L.; Cusson, M. Resistance of benthic intertidal communities to multiple disturbances and stresses. Mar. Ecol. Prog. Ser. 2015, 534, 49–64. [Google Scholar] [CrossRef]
- Beermann, A.J.; Ellrich, J.A.; Molis, M.; Scrosati, R.A. Effects of seaweed canopies and adult barnacles on barnacle recruitment: The interplay of positive and negative influences. J. Exp. Mar. Biol. Ecol. 2013, 448, 162–170. [Google Scholar] [CrossRef]
- McGuinness, K.A. Short-term effects of sessile organisms on colonization of intertidal boulders. J. Exp. Mar. Biol. Ecol. 1988, 116, 159–175. [Google Scholar] [CrossRef]
- Menge, B.A.; Berlow, E.L.; Blanchette, C.A.; Navarrete, S.A.; Yamada, S.B. The keystone species concept: Variation in interaction strength in a rocky intertidal habitat. Ecol. Monogr. 1994, 64, 249–286. [Google Scholar] [CrossRef]
- Petraitis, P.S. The role of growth in maintaining spatial dominance by mussels (Mytilus edulis). Ecology 1995, 76, 1337–1346. [Google Scholar] [CrossRef]
- Miyamoto, Y.; Noda, T. Effects of mussels on competitively inferior species: Competitive exclusion to facilitation. Mar. Ecol. Prog. Ser. 2004, 276, 293–298. [Google Scholar] [CrossRef]
- Menge, B.A. Organization of the New England rocky intertidal community: Role of predation, competition, and environmental heterogeneity. Ecol. Monogr. 1976, 46, 355–393. [Google Scholar] [CrossRef]
- Navarrete, S.A.; Castilla, J.C. Barnacle walls as mediators of intertidal mussel recruitment: Effects of patch size on the utilization of space. Mar. Ecol. Prog. Ser. 1990, 68, 113–119. [Google Scholar] [CrossRef]
- Berlow, E.L. From canalization to contingency: Historical effects in a successional rocky intertidal community. Ecol. Monogr. 1997, 67, 435–460. [Google Scholar] [CrossRef]
- Menge, B.A.; Hacker, S.D.; Freidenburg, T.; Lubchenco, J.; Craig, R.; Rilov, G.; Noble, M.; Richmond, E. Potential impact of climate-related changes is buffered by differential responses to recruitment and interactions. Ecol. Monogr. 2011, 81, 493–509. [Google Scholar] [CrossRef]
- Scrosati, R.A.; Ellrich, J.A. Photos of wave-exposed rocky intertidal locations along the Atlantic coast of Nova Scotia, Canada. Available online: https://doi.org/10.6084/m9.figshare.20740879.v1 (accessed on 30 June 2025).
- Ellrich, J.A.; Scrosati, R.A. Videos of rocky intertidal locations along the Atlantic coast of Nova Scotia, Canada. 2018. Available online: https://doi.org/10.6084/m9.figshare.6936308.v1 (accessed on 30 June 2025).
- Innes, D.J.; Bates, J.A. Morphological variation of Mytilus edulis and Mytilus trossulus in eastern Newfoundland. Mar. Biol. 1999, 133, 691–699. [Google Scholar] [CrossRef]
- Riginos, C.; Cunningham, C.W. Local adaptation and species segregation in two mussel (Mytilus edulis × Mytilus trossulus) hybrid zones. Mol. Ecol. 2005, 14, 381–400. [Google Scholar] [CrossRef]
- Cusson, M.; Bourget, E. Small-scale variations in mussel (Mytilus spp.) dynamics and local production. J. Sea Res. 2005, 53, 255–268. [Google Scholar] [CrossRef]
- Le Corre, N.; Martel, A.L.; Guichard, F.; Johnson, L.E. Variation in recruitment: Differentiating the roles of primary and secondary settlement of blue mussels Mytilus spp. Mar. Ecol. Prog. Ser. 2013, 481, 133–146. [Google Scholar] [CrossRef][Green Version]
- Hunt, H.L.; Scheibling, R.E. Physical and biological factors influencing mussel (Mytilus trossulus, M. edulis) settlement on a wave-exposed rocky shore. Mar. Ecol. Prog. Ser. 1996, 142, 135–145. [Google Scholar] [CrossRef]
- Tam, J.C.; Scrosati, R.A. Mussel and dogwhelk distribution along the NW Atlantic coast: Testing predictions derived from the abundant-centre model. J. Biogeogr. 2011, 38, 1536–1545. [Google Scholar] [CrossRef]
- Zuur, A.; Ieno, E.N.; Walker, N.; Saveliev, A.A.; Smith, G.M. Mixed Effects Models and Extensions in Ecology with R; Springer: New York, NY, USA, 2009. [Google Scholar]
- R Core Team. R: A Language and Environment for Statistical Computing; R Foundation for Statistical Computing: Vienna, Austria, 2023. [Google Scholar]
- Menge, B.A.; Sanford, E.; Daley, B.A.; Freidenburg, T.L.; Hudson, G.; Lubchenco, J. Interhemispheric comparison of bottom-up effects on community structure: Insights revealed using the comparative-experimental approach. Ecol. Res. 2002, 17, 1–16. [Google Scholar] [CrossRef]
- Duffy, J.E.; Reynolds, P.L.; Boström, C.; Coyer, J.A.; Cusson, M.; Donadi, S.; Douglass, J.G.; Eklöf, J.S.; Engelen, A.H.; Eriksson, B.K.; et al. Biodiversity mediates top–down control in eelgrass ecosystems: A global comparative-experimental approach. Ecol. Lett. 2015, 18, 606–705. [Google Scholar] [CrossRef]
- Krebs, C.J. Ecological Methodology; Addison Wesley Longman: Menlo Park, CA, USA, 1999. [Google Scholar]
- Gibson, D.J. Methods in Comparative Plant Population Ecology; Oxford University Press: Oxford, UK, 2002. [Google Scholar]
- Navarrete, S.A.; Wieters, E.A.; Broitman, B.R.; Castilla, J.C. Scales of benthic–pelagic coupling and the intensity of species interactions: From recruitment limitation to top-down control. Proc. Natl. Acad. Sci. USA 2005, 102, 18046–18051. [Google Scholar] [CrossRef] [PubMed]
- Raffaelli, D.; Hawkins, S. Intertidal Ecology; Chapman & Hall: London, UK, 1999. [Google Scholar]
- Menge, B.A.; Branch, G.M. Rocky intertidal communities. In Marine Community Ecology; Bertness, M.D., Gaines, S.D., Hay, M.E., Eds.; Sinauer: Sunderland, MA, USA, 2001; pp. 221–251. [Google Scholar]
- Garbary, D.J. The margin of the sea: Survival at the top of the tides. In Algae and Cyanobacteria in Extreme Environments; Seckbach, J., Ed.; Springer: Berlin, Germany, 2007; pp. 173–191. [Google Scholar]
- Denny, M.; Wethey, D. Physical processes that generate patterns in marine communities. In Marine Community Ecology; Bertness, M.D., Gaines, S.D., Hay, M.E., Eds.; Sinauer: Sunderland, MA, USA, 2001; pp. 3–37. [Google Scholar]
- Carrington, E.; Moeser, G.M.; Dimond, J.; Mello, J.J.; Boller, M.L. Seasonal disturbance to mussel beds: Field test of a mechanistic model predicting wave dislodgment. Limnol. Oceanogr. 2009, 54, 978–986. [Google Scholar] [CrossRef]
- Hallett, J.G.; Pimm, S.L. Direct estimation of competition. Am. Nat. 1979, 113, 593–600. [Google Scholar] [CrossRef]
- Heaven, C.S.; Scrosati, R.A. Benthic community composition across gradients of intertidal elevation, wave exposure, and ice scour in Atlantic Canada. Mar. Ecol. Prog. Ser. 2008, 369, 13–23. [Google Scholar] [CrossRef]
- Whorff, J.S.; Whorff, L.L.; Sweet, M.H. Spatial variation in an algal turf community with respect to substratum slope and wave height. J. Mar. Biol. Assoc. U. K. 1995, 75, 429–444. [Google Scholar] [CrossRef]
- Guichard, F.; Bourget, E.; Robert, J.J. Scaling the influence of topographic heterogeneity on intertidal benthic communities: Alternate trajectories mediated by hydrodynamics and shading. Mar. Ecol. Prog. Ser. 2001, 217, 27–41. [Google Scholar] [CrossRef]
- Helmuth, B.; Denny, M.W. Predicting wave exposure in the rocky intertidal zone: Do bigger waves always lead to larger forces? Limnol. Oceanogr. 2003, 48, 1338–1345. [Google Scholar] [CrossRef]
- Munroe, D.M.; Noda, T.; Ikeda, T. Shore level differences in barnacle (Chthamalus dalli) recruitment relative to rock surface topography. J. Exp. Mar. Biol. Ecol. 2010, 392, 188–192. [Google Scholar] [CrossRef]
- Ørberg, S.B.; Krause-Jensen, D.; Mouritsen, K.N.; Olesen, B.; Marbá, N.; Larsen, M.H.; Blicher, M.E.; Sejr, M.K. Canopy-forming macroalgae facilitate recolonization of Sub-Arctic intertidal fauna and reduce temperature extremes. Front. Mar. Sci. 2018, 5, 332. [Google Scholar] [CrossRef]
- Catalán, A.M.; López, D.N.; Fica-Rojas, E.; Broitman, B.R.; Valdivia, N.; Scrosati, R.A. Foundation species canopies affect understory beta diversity differently depending on species mobility. Ecology 2023, 104, e3999. [Google Scholar] [CrossRef] [PubMed]
- Cordeiro, C.A.M.M.; Pardal, A.; Giménez, L.; Ciotti, A.M.; Jenkins, S.R.; Burrows, M.T.; Williams, G.A.; Christofoletti, R.A. Environmental factors have stronger effects than biotic processes in patterns of intertidal populations along the southeast coast of Brazil. Mar. Environ. Res. 2024, 200, 106646. [Google Scholar] [CrossRef] [PubMed]
- Menge, B.A. Predation intensity in a rocky intertidal community. Effect of an algal canopy, wave action, and desiccation on predator feeding rates. Oecologia 1978, 34, 17–35. [Google Scholar] [CrossRef] [PubMed]
- Hunt, H.L.; Scheibling, R.E. Effects of whelk (Nucella lapillus (L.)) predation on mussel (Mytilus trossulus (Gould), M. edulis (L.)) assemblages in tidepools and on emergent rock on a wave-exposed rocky shore in Nova Scotia, Canada. J. Exp. Mar. Biol. Ecol. 1998, 226, 87–113. [Google Scholar] [CrossRef]
- Ellrich, J.A.; Scrosati, R.A.; Molis, M. Predator nonconsumptive effects on prey recruitment weaken with recruit density. Ecology 2015, 96, 611–616. [Google Scholar] [CrossRef][Green Version]
- Sherker, Z.T.; Ellrich, J.A.; Scrosati, R.A. Predator-induced shell plasticity in mussels hinders predation by drilling snails. Mar. Ecol. Prog. Ser. 2017, 573, 167–175. [Google Scholar] [CrossRef]
- Hacker, S.D.; Menge, B.A.; Nielsen, K.J.; Chan, F.; Gouhier, T.C. Regional processes are stronger determinants of rocky intertidal community dynamics than local biotic interactions. Ecology 2019, 100, e02763. [Google Scholar] [CrossRef]
- Helm, N.; Chytry, K.; Hülber, K.; Moser, D.; Wessely, J.; Gattringer, A.; Hausharter, J.; Pauli, H.; Winkler, M.; Saccone, P.; et al. Fine-scale alpine plant community assembly: Relative roles of environmental sorting, dispersal processes, and species interactions. J. Ecol. 2024, 112, 2745–2757. [Google Scholar] [CrossRef]
Disclaimer/Publisher’s Note: The statements, opinions and data contained in all publications are solely those of the individual author(s) and contributor(s) and not of MDPI and/or the editor(s). MDPI and/or the editor(s) disclaim responsibility for any injury to people or property resulting from any ideas, methods, instructions or products referred to in the content. |
© 2025 by the authors. Licensee MDPI, Basel, Switzerland. This article is an open access article distributed under the terms and conditions of the Creative Commons Attribution (CC BY) license (https://creativecommons.org/licenses/by/4.0/).


