Abstract
Stem diameter growth in living trees refers to the invariably increase in dimension over a given period. However, reversible stem diameter decrease could occur, related to water movement in the vessels within the wood (on a daily basis) and to tree water deficit and depletion of stored water (on a seasonal basis). Recently, the perennial decrement in stem diameter size has been related to a tree decline pathway, and eventually resulting in tree death. In this study, we analysed stem diameter intra-annual growth dynamics of holm oak (Quercus rotundifolia Lam.) trees for two full growing seasons in distinct woodlands, Laborela and Aldeia dos Fernandes, in southern Portugal (Ourique district). Our focus was to assess stem diameter growth patterns and trends in holm oak trees in endangered woodlands with high tree mortality and to question if perennial decrement. Holm oaks in Laborela were much more sensitive in their stem diameter variations than in Aldeia dos Fernandes and, on average, their stem diameter decreased continuously by 1.0 mm along the 2-year study period, with a slightly higher annual decrease in the first study year (0.6 mm.yr−1). In addition, on average, trees had a higher decrease in stem sectional area of 5.8 cm2 in Laborela against a decrease of 3.7 cm2 in Aldeia dos Fernandes, where the stem diameter of holm oaks only decreased in the first study year (0.1 mm.yr−1). In each study area, the repeated- measures ANOVA showed that tree size effect influenced the stem diameter variations in contrast to tree crown defoliation. Trees were, on average, relatively smaller in Laborela, with DBH = 35.5 cm against DBH = 40.6 cm in Aldeia dos Fernandes, and were highly sensitive in their stem diameter decrement along two consecutives full growing seasons. This is the first exploratory study on assessing the stem diameter fluctuations on holm oaks to address a decline pathway. Our results revealed that holm oaks can survive during two consecutive growing seasons, with a continuous decrease in their stem diameters, which might indicate one tree’s decline pathway.
1. Introduction
One of the major features of southwestern Iberia landscapes are the evergreen oak woodlands with cork oak (Quercus suber L.) and holm oak (Quercus rotundifolia Lam.) occupying about more than five million hectares in southern Europe, mainly in southern Portugal and Spain [1]. These woodlands, located in agro-silvo-pastural ecosystems called montados in Portugal and dehesas in Spain, are one of the Earth’s biodiversity “hotspots” [2], classified habitats under the pan-European network of protected areas, Natura 2000 [3], and they are defined as low-input multifunctional agroforestry open wooded ecosystems, where (scattered) trees are keystone structures, i.e., fulfilling an unique functional role to maintain the ecosystem functioning, providing a multitude of ecosystem services such as soil conservation, water regulation or species biodiversity, at local and landscape levels [4]. Beyond ecological importance, scattered-tree woodlands with cork oak are also of enormous socio-economical in the poorly and agricultural marginal areas of southwestern Mediterranean [5].
Under climate change effects predicted for Mediterranean regions of decreasing precipitation and increasing summer temperatures, these woodlands are among the most vulnerable forest ecosystems worldwide [6]. Trees are likely to restrict tree growth, and eventually, mortality is projected to increase in the near future, consistently linked to drought [7,8]. So far, increasing attention has been paid to species’ physiological plasticity on the three main eco-physiological pathways leading to drought-induced tree mortality such as hydraulic failure or carbon starvation, as a result of prolonged stomatal closure, and increased pest outbreaks due to reduced plant defence capacities [9,10]. However, major scientific uncertainties still remain in our understanding of drought-induced cork oak mortality at an individual tree scale because, in large areas experiencing high levels of tree mortality, healthy trees apparently coexist among declining and dead trees, and in healthy woodlands, dead trees exist side by side with trees that appeared healthy and declining trees. One explanation could be the fact that, as in the widely described episodes of tree mortality, drought-driven tree growth response occurs in a long decline pathway [8] when trees may be differently affected by the opportunistically acting of biotic agents, such as Phytophthora cinnamomi Rands (PHYCI) [10,11,12,13].
In this study, we addressed the tree growth patterns of holm oak, highly susceptible to PHYCI [14], in woodlands infested with PHYCI in Ourique district, a drier area in southern Portugal [11], for two complete growth years, 2021 and 2022. In fact, it has been implicit that tree stem diameter dimension invariably increases due to secondary meristems (vascular cambium and phellogen). However, water movement and death of branches can be responsible for the fluctuations and decrease in stem diameter, respectively, in a diurnal and seasonal timeline [15].
The novelty of our dendroecological approach is to use a classical intra-annual dendrometer-based study, albeit combining apparently healthy and declining trees, and larger and smaller trees, to improve our understanding of the variance in tree decline pathways in distinct oak woodlands: one in a clear on-going degradation process, an endangered oak woodland (LA), and one persistent oak woodland, in equilibrium (FE). We hypothesised that the interplay between the two mortality drivers, drought stress and pathogens (PHYCI), might drastically jeopardize an increase in tree diameter and should result in decreasing growth responses. Furthermore, we hypothesised that the general seasonal decrease in stem diameter, which typically occurs during growing season, might eventually be aggravated and change drastically to a perennial decrement which, so far, has neither been a focus of dendroecology research nor been addressed in cases of tree decline pathways and mortality. The principal questions in this study were as follows: (i) Is there a variation in stem diameter growth patterns over time, and in each oak woodland? (ii) Are stem diameter growth patterns dependent on tree size? (iii) Is there a difference between tree physiological conditions affecting stem diameter increase?
2. Materials and Methods
2.1. Study Area
This study was carried out in two distinct evergreen holm oak woodlands under rainfed conditions with annual rotational grazing pastures, Laborela (LA, 37°46′58.3″ N, 8°21′48.7″ W) and Aldeia dos Fernandes (FE, 37°34′01.2″ N, 8°10′01.2″ W), both located in Ourique district (Figure 1). In LA, the oak woodland is a mixed cork and holm oak woodland with the understory of natural (unsown) pasture greater than 20 years old for sheep and pig grazing. In contrast, in FE, the strict holm oak woodland has an understory of improved pasture older than 8 years old, sown in the autumn with a biodiverse mixture of legumes and grasses comprising perennials and/or self-reseeding annuals for cattle grazing. Both holm oak woodlands are within an endangered area for abnormal tree decline, where soils are mostly Regosols [16]. These are poor, weakly developed in unconsolidated bedrocks, and eroded soils, largely depleted in organic matter and nutrients.
Figure 1.
Location of the study areas in southern Portugal. Laborela (LA) (in red) and Aldeia dos Fernandes (FE) (in yellow). Land cover in the year 1979 (in black and white) and year 2018 (in RGB colour) with the location of the selected holm oak trees (circular points) used in this study along the transect plots. Land cover changes are noticeable and related to the holm oak woodlands clearance and thinning due to tree mortality, mainly in Laborela.
Ourique district in southern Portugal is mostly rural, dominated by a large area of mixed holm and cork oak woodlands representative of the multifunctional agroforestry systems. Here, long term sustainability of oak woodlands did not cope in the same way with the intensity of the land use change and with the shift in the agroforestry system, a process that is mainly driven by socio-economic factors, leading to agriculture and grazing intensification which may eventually result in evergreen oak woodlands decline and loss, as was observed in other southern regions in Portugal [17,18]. Specifically, the multi-temporal landscape dynamics between 1979 and 2018 (Figure 1) showed an on-going process of degradation and clearance of the oak woodlands based on the trees fractional canopy cover decrease that seems to be hard to stabilize and even harder to reverse, resulting in oak woodlands decline and loss, which endangers the sustainability of these woodlands. In contrast, in FE, the noticeable persistence of tree fractional canopy cover and tree density between 1979 and 2018 is indicative of a basic sustainability of the man-made montado ecosystem, but which is strongly dependent on human practices and management [3]. From a long-term perspective, FE woodland structure and, specifically, tree density and fractional canopy cover probably follow an ecohydrological equilibrium, i.e., a result of an ecological optimality, being indicative of trees water availability [19].
The climate of the study area is of Mediterranean type. Mean annual temperature and annual rainfall are 16.9 °C and 521 mm, respectively. The highest temperatures are in summer when precipitation is lowest. The dry period, when P < 2T, with P as the monthly precipitation (in mm) and T as the mean monthly temperature (in °C), occurs from May to September (Figure 2). According to the Köppen’s climate classification [20], Ourique has a warm temperate climate, with a dry and hot summer (Csa, Tmax ≥ +22 °C and at least 4 months with T ≥ +10 °C).
Figure 2.
Climatic Ombrothermogram for Ourique district. The black solid line is the mean monthly air temperature (T), and the grey columns are for the monthly precipitation (P). The orange columns represent the dry months (P < 2T). Data from the meteorological station located at 38°01′ N, 07°52′ W, for the period 1991–2020.
2.2. Tree Selection and Field Work
Initially, a total of 24 trees were selected at random from two transect plots and equally distributed among stem diameter classes (as a proxy for the tree size) and among crown defoliation classes (as a proxy for tree hydrological balance conditions) (Figure 1).
In each holm oak woodland, a north–south oriented transect plot was defined as a single slope (segment) to account for variation in the structure and diversity of the ecosystem. A minimum sample of 30 trees defines the maximum length of the transect plot, which had a fixed maximum width of 50 m.
Both study areas, LA and FE, were classified as endangered woodlands, infested with PHYCI. In previous field studies, PHYCI was isolated from roots of trees located nearby our study areas [21]. In this context, we assume that holm oak tree growth trends and patterns might likely be influenced by an interplay of multiple biotic (root pathogen) and abiotic (environmental conditions) drivers, as previously published in recent studies [22,23,24,25].
We installed a manual band dendrometer (D1 Dendrometer, with 0.05 × π cm resolution, UMS, Munich, Germany) on each tree in December 2020. Dendrometers measure the inter- and intra-annual tree stem diameter increment changes associated with tree physiological status [26]. The band dendrometers were wrapped around the tree (clean, without imperfections) stems, which ensured close contact and were fastened with a spring mechanism that allowed the tape to expand during tree growth.
Over a 2-year period, at seven points (months) in time, between an initial month t0 and a final month, t6, the stem diameter at breast height (DBH, in cm) was measured in the band dendrometers to calculate the seasonal DBH increase: in winter 2020, from December 2020 (t0) to March 2021 (t1) (Time0); in spring 2021, from March 2021 (t1) to July 2021 (t2) (Time1); in autumn 2021, from July 2021 (t2) to December 2021 (t3) (Time2); in winter 2021, from December 2021 (t3) to March 2022 (t4) (Time3); in spring 2022, from March 2022 (t4) to July 2022 (t5) (Time4); and in autumn 2022, from July 2022 (t5) to December 2022 (t6) (Time5). For each consecutive season (Timet), the stem diameter increase IDBHTime was calculated based on the difference between consecutive stem diameter values (in cm), i.e., between a point in time (t − 1) and (t), as in Equation (1):
with DBH(t−1) being the stem diameter at breast height (in cm) measured in the initial month of the seasonal period (Timet) and DBH(t) being the stem diameter at breast height (in cm) measured in the final month of the same seasonal period.
IDBHTime = (DBH(t−1) − DBH(t))
Additionally, we calculated annual stem diameter increments in each year of the study period: 2021, between December 2020 (t0) and December 2021 (t3); 2022, from December 2021 (t3) to December 2022 (t6). Finally, total stem diameter increase was calculated for the total two years, from December 2020 (t0) to December 2022 (t6).
Seasonal, annual and total stem diameter data (in cm) were converted to stem sectional (basal) area increments (BAI, cm2) for each tree, assuming a circular outline of the stem diameter cross section, as in Equation (2):
with DBH(t−1) being the stem diameter at breast height (in cm) measured in the initial month of the seasonal period (Timet), IDBH(t) being the stem diameter increase between the two consecutive measurements in the seasonal period Time and DBH(t) being the stem diameter at breast height (in cm) measured in the final month of the same seasonal period.
The time interval between two consecutive stem diameter measurements in this study was a three-to-four-month period for the seasonal basal area increment and a twelve-month period for the annual basal area increment. When examining tree radial growth trends and responses, BAI is preferable because, from a physiological perspective, it is a better indicator of tree growth. BAI depends partially on the initial stem diameter and intuitively, for the same stem diameter increment, trees will have different basal area increments, if they differ in the initial stem diameter [7,27].
In this study, negative seasonal basal area increments were not assumed to be caused by stem diameter measurement errors and were included in the analysis. Trees with zero stem diameter increments were retained for analysis because we interpreted this as cessation of stem (radial) growth. Potential outliers were identified using the transect plot level means and standard deviations of individual tree diameter increments and were only excluded from analysis if they had values that were greater than 3 standard deviations from the mean. The total number of outliers represented less than 0.01% of the total measurements. A total of 8 trees were lost due to the study period, as measurements were not continuous. Trees were distributed in two DBH classes (Class 1, DBH < 40 cm; Class 2, DBH ≥ 40 cm) and in three crown defoliation classes: Class 1, normal trees, with more than two-thirds that of the crown canopy; Class 2, trees defoliated, with about half of the crown canopy; Class 3, trees strongly defoliated, with less than one-third that of the crown canopy.
2.3. Data Analysis
The goal was to assess the variation in stem diameter at tree level along two full growing seasons (between December 2020 and December 2022) at each location and to determine the extent of the variation under the effect of tree size or tree crown defoliation. As repeated measurements of IDBH and BAI in the same tree were involved, we used a repeated-measures ANOVA, using time for testing within subjects, and we used tree size and crown defoliation for testing between subjects. We used Greenhouse-Geisser (G-G) to adjust ordinary F-test, generally a conservative adjustment. All tests were performed using SPSS® statistics software.
3. Results
3.1. Stem Diameter Increase Variation
Tree DBH in LA ranged between 35.48 cm, in December 2020, and 35.38 cm, in December 2022 (Table 1). Trees in LA were relatively smaller than the trees in FE, with DBH ranging between 40.60 cm, in December 2020, and 40.48 cm, in December 2021. However, trees in FE had a higher range of variation in DBH than in LA (Table 1). Furthermore, in LA, tree DBH and BA continuously decreased along the two consecutive growth periods, in contrast to what occurred in FE, where trees recovered during the second growth period (2021) and, on average, increased the DBH (ranging from 40.48 cm in December 2021 and 40.56 cm in December 2022), despite an overall decrease in the DBH within the two full consecutive growing seasons (Table 1).
Table 1.
Values of stem diameter at breast height (DBH, in cm) and basal area (BA, in cm2) in the two study areas, Laborela (LA) and Aldeia dos Fernandes (FE), measured in the band dendrometers in December of consecutive years 2020, 2021 and 2022, and comprising two-full growth periods.
It is also clear that, on average, the IDBH and the BAI of the LA trees were smaller when compared to the ones found at FE. On average, LA trees had IDBH and BAI values that were, respectively, one-third and one-half of the values found in FE trees (Figure 3). Graphically, it is noticeable that from winter 2020 till autumn 2021, the decreasing trend of the IDBHLA contrasts with the increasing trend of the IDBHFE for the same period (Figure 3). In result, the synchronicity of IDBH and BAI trends between study areas was only noticed in the second year, and only between winter 2021 and spring 2022. In the autumn season (in 2022), trees from the two study areas showed contrasting patterns of IDBH and BAI: while IDBHFE and BAIFE drastically increased, from negative values (IDBHFE = −0.08 cm and BAIFE = −4.98 cm2) in the previous spring period to positive values in autumn (IDBHFE = 0.13 cm and BAIFE = 7.94 cm2), in LA, IDBHLA and BAILA maintained similarly negative values (IDBHLA = −0.03 cm and BAILA = −1.72 cm2, in spring 2022, and IDBHLA = −0.03 cm and BAILA = −1.92 cm2, in autumn) (Figure 3).
Figure 3.
(A) Stem diameter increase (IDBH, in cm) and; (B) Basal area increase (BAI, in cm2). Average values along seasonal periods, from winter 2020 (increment between November 2020 and February 2021) till autumn 2022 (increment between July 2022 and November 2022) in the two study areas, Laborela (LA, white dots, lighter green line) and Aldeia dos Fernandes (FE, black dots, darker green line).
3.2. Tree Size Effect on Stem Radial Growth Variation
The IDBH variation over time, previously assessed in both study areas, was high (Figure 3A), and the repeated-measures ANOVA showed that IDBH variation over time was highly significant (p-value < 0.001). Moreover, the variation in IDBH over time was dependent on tree size, which is indicated by a statistically significant interaction between time and tree size in the growth patterns and dynamics for holm oaks (p-value < 0.05) (Table 2).
Table 2.
Repeated-measures ANOVA for stem diameter increase (IDBH) over Timet (within subject) for the tree size as a between-subject effect. Tree size was the tree DBH class in Time0 (winter 2020) (Class 1, DBH < 40 cm; Class 2, DBH ≥ 40 cm) for both study areas, Laborela and Aldeia dos Fernandes.
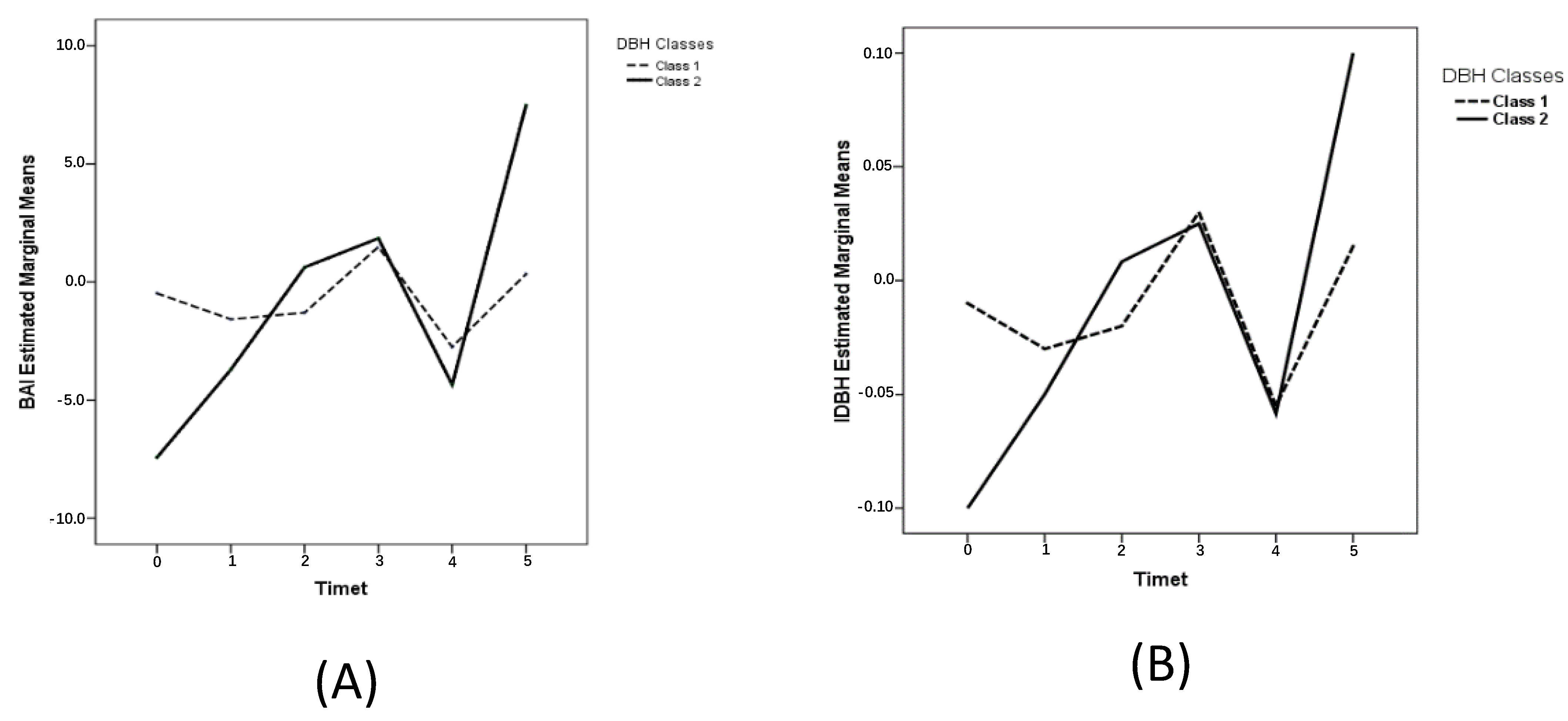
Our major result on tree size effect on tree growth pattern was that larger holm oak trees (DBH class ≥ 40 cm), in comparison to the smaller trees (DBH class < 40 cm), were more growth responsive within intra-annual growth periods (spring or autumn). Our results on holm oaks growth patterns showed that this responsiveness was mainly noticed in the autumn season for the larger trees against the smaller ones, as can be seen in both consecutive growth periods (Figure 4A).
Figure 4.
(A) Estimated marginal means for the stem diameter increase (IDBH) and (B) Estimated marginal means for the stem cross-sectional (basal) area increase (BAI). Variation according to tree size (DBH classes: Class 1, DBH < 40 cm; Class 2, DBH ≥ 40 cm) over Timet, with t = 0, …, 5, i.e., from winter 2020 (Time0) till autumn 2022 (Time5), in spring 2021 (Time1), autumn 2021 (Time2), winter 2021 (Time3) and spring 2022 (Time4).
Our results for BAI variation over time were very similar to the ones found for IDBH. BAI variation over time was also highly significant (p-value < 0.001) and was tree size dependent (Table 3). From the smaller to larger tree classes, the increasingly low and high growth in response to time (seasons) was made at the expense of proportionally higher BAI decrement and increment, respectively. Moreover, from smaller to larger trees, the highly negative BAI growth in the spring (Time4) seemed to increasingly compensate for the relatively higher BAI growth during autumn (Time5). This recovery did facilitate an effective growth rebound in the year 2022 but only in larger trees (Figure 4B).
Table 3.
Repeated-measures ANOVA for stem sectional (basal) area increase (BAI) over Timet (within subject) for the tree size as a between-subject effect. Tree size was the tree DBH class in Time0 (winter 2020) (Class 1, DBH < 40 cm; Class 2 DBH ≥ 40 cm) for both study areas, Laborela and Aldeia dos Fernandes.
3.3. Crown Defoliation Effect on Stem Radial Growth
The repeated-measures ANOVA showed that IDBH variation over time was highly significant (p-value < 0.01). Moreover, the variation in IDBH over time was not dependent on tree canopy defoliation (p-value > 0.05) (Table 4), which indicates no statistically significant interaction between time and tree defoliation classes in the growth patterns and dynamics for holm oaks.
Table 4.
Repeated-measures ANOVA for stem diameter increase (IDBH) over Timet (within subject) for the tree crown defoliation as a between-subject effect. Tree defoliation classes were established in Time0 (winter 2020) (Class 1, normal trees, with more than two-thirds of the crown canopy; Class 2, trees defoliated with about half of the crown canopy; Class 3, trees strongly defoliated, with less than one-third of the crown canopy), for both study areas, Laborela and Aldeia dos Fernandes.
Our results for BAI variation over time were very similar to the ones found for IDBH. BAI variation over time was also highly significant (p-value < 0.001) but it was not crown defoliation dependent (p-value > 0.05) (Table 5). Our results showed an unexpected major overlap in the BAI growth patterns between normal trees (Class 1) and severely defoliated trees (Class 3), which are distinct from the medium defoliated trees (Class 2). In fact, only the latter trees have a negative BAI growth in the spring (Time4), which seemed to be increasingly compensating for the relatively higher BAI growth during autumn (Time5) (Figure 5B). In addition, there are the normal trees (Class 1) that showed the lowest effective growth rebound in the year 2022.
Table 5.
Repeated-measures ANOVA for stem cross-sectional (basal) area increase (BAI) over Timet (within subject) for the tree crown defoliation as a between-subject effect. Tree defoliation classes were established in Time0 (winter 2020) (Class 1, normal trees, with more than two-thirds of the crown canopy; Class 2, trees defoliated with about half of the crown canopy; Class 3, trees strongly defoliated, with less than one-third of the crown canopy), for both study areas, Laborela and Aldeia dos Fernandes.
Figure 5.
(A) Estimated marginal means for the stem diameter increase (IDBH) and (B) Estimated marginal means for the stem cross-sectional (basal) area increase (BAI). Variation according to tree crown defoliation classes (Class 1, normal trees, with more than two-thirds of the crown canopy; Class 2, trees defoliated with about half of the crown canopy; Class 3, trees strongly defoliated, with less than one-third of the crown canopy) over Timet, with t = 0, …, 5, i.e., from winter 2020 (Time0) till autumn 2022 (Time5), in spring 2021 (Time1), autumn 2021 (Time2), winter 2021 (Time3) and spring 2022 (Time4).
Overall, the results showed that IDBH and BAI growth was not significantly related to the tree defoliation in the holm oaks (Figure 5). Thus, our reasonable assumption that trees with normal crown foliation (Class 1) are healthier than trees with progressive defoliation (Class 2 and Class 3) and would exhibit comparatively higher growth was not verified.
4. Discussion
In this study, holm oak trees in two locations in Ourique district, in Laborela and in Aldeia dos Fernandes, showed a general seasonal decrease in their stem diameter during consecutive spring growing seasons. However, only in Laborela, where woodlands underwent a process of decline, the seasonal tree stem diameter decrease evolved into a perennial decrement along two consecutive growth years (Figure 1). In contrast, in Aldeia dos Fernandes, on average, holm oak trees resumed growth in autumn 2022, after the summer-imposed rest period, and surpassed the general stem diameter decrement pathway. These results answered our first question on site-specific variation in stem diameter growth patterns over time. In addition, our results are in accordance with previous findings reporting that it is the PHYCI interaction with abiotic factors, such as tree water stress or micro-environmental conditions constraining soil water availability, that truly induce oak decline processes [28,29]. In fact, in the two study areas, Laborela and Aldeia dos Fernandes, trees had similar environmental conditions (including climate and soil type), and trees were infected with PHYCI, but only in Laborela, trees experienced a perennial stem diameter decrement, which is indicative of a decline pathway involving a consistent canopy cover clearance and an on-going process of tree decline and loss (Figure 1).
A simple explanation for the ability of trees to resume stem growth in Aldeia dos Fernandes might be related to the fact that holm oaks there are slightly larger trees than those in Laborela. Moreover, these (relatively) larger trees are in a much less dense woodland, thus with lower between-trees competition for water and nutrients and probably presenting larger and deeper root systems, able to optimally explore water sources availability, in shallow and deeper soil horizons similarly to cork oak trees [30]. Moreover, in Aldeia dos Fernandes, the improved (sown) pasture and the incorporation of N, P and K, in soil fertilizations, might contribute not only to improve soil fertility but also to increase aboveground biomass and symbiotic fixation rates, which might help trees to better withstand extreme or long dry periods in summer [31]. This way, trees in Aldeia dos Fernandes can overcome soil restrictive conditions for their development and have a major advantage in the case of PHYCI infestation because they are probably less water stressed and more vigorous and responsive in their stem diameter growth patterns and trends, in comparison with trees in Laborela.
The stem diameter growth patterns revealed differences between tree size classes in the magnitude of the IDBH and BAI values, which increased from smaller to larger trees (Figure 4 and Table 2 and Table 3). These results confirm our hypothesis that stem diameter growth patterns and trends are tree size dependent and are also in accordance with previous studies on cork oak stem radial growth [7,32] and on Q. ilex radial growth [33], which suggested that tree growth is partially regulated by tree age-related physiologic responses to environment. The striking result from our study is that although seasonal fluctuations of the stem diameter are in accordance with previous studies, so far, neither the seasonal decrement nor perennial decrement in stem diameter of living holm oak trees has been addressed and/or documented. Our study is the first one revealing the shrinking of holm oak stem diameter for a growth period of two consecutive years. On average, in Laborela, the stem diameter of holm oak trees decreased continuously by 0.05 cm.yr−1 and by 2.92 cm2.yr−1. The former stem diameter decrease value was five times higher than the one reported by [15], namely, 0.01 cm.yr−1.
In holm oaks in Laborela, similarly to what happened in other forest species, the negative stem diameter growth values in the two successive growth years may reflect a somewhat irreversible water (im)balance inside the tree stem [34] resulting in tree mortality [15]. Fluctuations between shrinkage and swelling of stem diameter occurs at a seasonal timescale, as in Aldeia dos Fernandes, probably related to the water stress status of the tree. When drought stress increases, during the onset of the water deficit, in summer, the water stored in several (non-xylem) tissues (e.g., in the bark) within the stem is released, likely driven primarily to stem (bark) shrinkage. Trees in these conditions show seasonal fluctuations in stem diameter and can survive many years, even decades presenting negative growth values. As in widely described episodes of drought-induced tree mortality [10,12], we expect a lagged tree growth response which triggers mortality in holm oak woodlands. However, tree death should eventually occur after a drastic shift in tree resilience to drought stress [35], when an irreversible shrinkage in stem diameter caused by water movement occurs. So far, these decline pathways and their time scales remain unclear for the holm oak. According to our results, while in Aldeia dos Fernandes, trees are still able to recover and resume positive stem diameter growth increments, in Laborela, trees are already in a decline pathway, but only 2 years of measurements will probably not be conclusive. The absence of positive increments of stem diameter growth is indicative of future tree mortality [15].
In general, under Mediterranean conditions, the larger holm oak trees seemed to distinctly intensify the growth peaks (IDBH, in cm, and BAI, in cm2) during autumn, while in the spring, irreversible radial growth can be impaired by water movement. This makes all the difference to the holm oaks growth patterns, suggesting that the resumed growth of the larger trees in comparison with that of the smaller trees (in autumn, by the end of the summer dry season) is related to access to water in deeper horizons, probably capillarity water or even deeper groundwater reached only by the deeper and well-developed root systems, similarly to what was found for cork oak stem radial growth intra-annual patterns [7,33,36]. Furthermore, the lower BAI rates (Table 3 and Figure 4B) in the smaller trees represented less carbon diverted to the stem radial growth in semi-arid environments such as this one in Ourique, whereas larger trees rather than smaller trees take advantage of their dominance through a larger and deeper root system.
Surprisingly, our hypothesis that stem diameter growth patterns are tree crown defoliation dependent was not confirmed. Our results showed that stem diameter growth patterns, in the magnitude of the IDBH and BAI values, did not differ between tree crown defoliation classes (Figure 5 and Table 4 and Table 5).
Our finding is not in accordance with previous studies reporting comparatively lower growth in higher defoliated trees [37], but several confounding influencing factors can be considered: (i) The method of tree crown defoliation assessment error-tree (mis)classification was made in the field, by visual observation (observer subjectivity error) under the crown canopy, known to be prone to observer error. (ii) The tree age or size—as our results already showed, larger (dominant) trees (with higher growth) would probably not be similarly defoliated as compared with the smaller trees, i.e., less vigorous. Thus, our data will probably be unbiased data for the identification of a standard reference for defoliation assessment. (iii) Defoliation has been found to be associated with several morphological and physiological indicators of reduced tree vitality. However, holm oak vigour is often accompanied by dieback for a long period before the tree effectively enters a decline pathway, exhibiting perennial negative growth or growth decrement. Intuitively, we may accept that progressive reduction in the foliage on the tree canopy may affect growth, but this relationship is not a linear relationship, in part because the adaptive capacity of the tree to adjust their foliar efficiency and, in part, due to distinct timescales of the processes.
5. Conclusions
Holm oak trees can present negative annual stem diameter increment values which should correspond to a seasonal shrinkage in the stem wood and bark. In this study, shrinking and swelling of the stem diameters were observed at tree level, within an intra-annual, seasonal scale. These fluctuations that are thought to reflect the water (im)balance inside the stem and were tree size dependent with the larger holm oak trees being comparatively much more responsive in their growth patterns than the smaller trees. On the other hand, stem diameter growth was not crown defoliation-dependent, which might be explained by tree adaptive capacity and resilience to a decline pathway. In this study, for the first time, the observation occurrence of a perennial decrement in stem diameter was confirmed to be due to natural processes of the tree growth and were not related to the human measurement error. The perennial decrement in the stem diameter growth was observed in smaller holm oaks, in a montado with a natural pasture, where environmental conditions constrain their physiological and physical processes mainly related to soil water availability and tree water status linked to the presence of PHYCI.
Conservation of holm oak woodlands growing in regions with warm temperate Mediterranean climate should target the conservation of large trees and should promote agroforestry management focused on drought mitigation effects, especially in the smaller (younger) trees, which are the most sensitive in their growth responses.
This study was an exploratory study, and we included a small number of trees. However, further studies might aim to increase the number of trees, in other infested regions, and gather observations for longer periods (here, we studied a two-year period), providing more clarity to predict tree decline pathways and mortality timescales based on chronological sequences of negative increment in stem diameter growth.
Author Contributions
Conceptualization, writing—original draft preparation and reviewing, A.C. and A.C.M. All authors have read and agreed to the published version of the manuscript.
Funding
The work was financially supported by the Declínio do Montado no Alentejo project, in the context of PDR2020 (101-031496).
Institutional Review Board Statement
Not applicable.
Informed Consent Statement
Not applicable.
Data Availability Statement
The datasets generated and/or analysed during this exploratory study are available from the corresponding author. Data will be shared upon reasonable request.
Acknowledgments
The authors would like to thank to ACPA—Association of Pig Breeders of Alentejo—for their support in the field, and the owners of the montados where the study areas were located, for allowing the development of this study. We thank Joana Neno for their help in the field work.
Conflicts of Interest
The authors declare no conflict of interest.
References
- Pinto-Correia, T.; Muñoz-Rojas, J.; Thorsøe, M.H.; Noe, E.B. Governance discourses reflecting tensions in a multifunctional land use system in decay; Tradition versus modernity in the Portuguese montado. Sustainability 2019, 11, 3363. [Google Scholar] [CrossRef]
- Garbarino, M.; Bergmeier, E. Plant and vegetation diversity in European wood-pastures. In European Wood-Pastures in Transition: A Social-Ecological Approach; Hartel, T., Plieninger, T., Eds.; Taylor and Francis Inc.: London, UK, 2014; pp. 113–131. [Google Scholar] [CrossRef]
- Bugalho, M.N.; Caldeira, M.C.; Pereira, J.S.; Aronson, J.; Pausas, J. Mediterranean cork oak savannas require human use to sustain biodiversity and ecosystem services. Front. Ecol. Environ. 2011, 9, 278–286. [Google Scholar] [CrossRef]
- Plieninger, T.; Flinzberger, l.; Hetman, M.; Horstmannshoff, I.; Reinhard-Kolempas, M.; Topp, E.; Moreno, G.; Huntsinger, L. Dehesas as high nature value farming systems: A social-ecological synthesis of drivers, pressures, state, impacts, and responses. Ecol. Soc. 2021, 26, 23. [Google Scholar] [CrossRef]
- Costa, A.; Madeira, M.; Lima, J.S.; Oliveira, A. Change and dynamics in Mediterranean evergreen oak woodlands landscapes of Southwestern Iberian Peninsula. Landsc. Urban Plan. 2011, 102, 164–176. [Google Scholar] [CrossRef]
- Lindner, M.; Maroschek, M.; Netherer, S.; Kremer, A.; Barbati, A.; Garcia-Gonzalo, J.; Seidl, R.; Delzon, S.; Corona, P.; Kolström, M.; et al. Climate change impacts, adaptive capacity, and vulnerability of European forest ecosystems. For. Ecol. Manag. 2010, 259, 698–709. [Google Scholar] [CrossRef]
- Mendes, M.P.; Cherubini, P.; Plieninger, T.; Ribeiro, L.; Costa, A. Climate effects on stem radial growth of Quercus suber L.: Does tree size matter? Forestry 2019, 92, 73–84. [Google Scholar] [CrossRef]
- Gea-Izquierdo, G.; Natalini, F.; Cardillo, E. Holm oak death is accelerated but not sudden and expresses drought legacies. Sci. Total Environ. 2021, 754, 141793. [Google Scholar] [CrossRef]
- Besson, C.K.; Lobo-do-Vale, R.; Rodrigues, M.C.; Almeida, P.; Herd, A.; Grant, O.M.; David, T.S.; Schmidt, M.; Otieno, D.; Keenan, T.F.; et al. Cork oak physiological responses to manipulated water availability in a Mediterranean woodland. Agric. For. Meteorol. 2014, 184, 230–242. [Google Scholar] [CrossRef]
- Mamet, S.D.; Chun, K.P.; Metsaranta, J.M.; Barr, A.G.; Johnstone, J.F. Tree rings provide early warning signals of jack pine mortality across a moisture gradient in the southern boreal forest. Environ. Res. Lett. 2015, 10, 8. [Google Scholar] [CrossRef]
- Moreira, A.C.; Martins, J.M. Influence of site factors on the impact of Phytophthora cinnamomi in cork oak stands in Portugal. For. Patholol. 2005, 35, 145–162. [Google Scholar] [CrossRef]
- Camarero, J.J.; Gazol, A.; Sangüesa-Barreda, G.; Oliva, J.; Vicente-Serrano, S.M. To die or not to die: Early warnings of tree dieback in response to a severe drought. J. Ecol. 2015, 103, 44–57. [Google Scholar] [CrossRef]
- Cailleret, M.; Vasilis, D.; Steven, J.; Robert, E.M.R.; Aakala, T.; Amoroso, M.M.; Antos, J.A.; Bigler, C.; Bugmann, H.; Caccianaga, M.; et al. Early-Warning Signals of Individual Tree Mortality Based on Annual Radial Growth. Front. Plant Sci. 2019, 9, 1964. [Google Scholar] [CrossRef] [PubMed]
- Moreira, A.C.; Rodrigues, A. Effect of soil water content and soil texture on Phytophthora cinnamomi infection on cork and holm oak. Silva Lusit. 2021, 29, 133–160. [Google Scholar] [CrossRef]
- Pastur, G.M.; Lencinas, M.V.; Cellini, J.M.; Mundo, I. Diameter growth: Can live trees decrease? For. Int. J. For. Res. 2007, 80, 83–88. [Google Scholar] [CrossRef]
- World Reference Base for Soil Resources (WRB). A Framework for International Classification, Correlation and Communication, 2nd ed.; World Soil Reports n. 103; IUSS Working Group WRB: Wakerley, Australia; FAO: Rome, Italy, 2006. [Google Scholar]
- Costa, A.; Pereira, H.; Madeira, M. Landscape dynamics in endangered cork oak woodlands in Southwestern Portugal (1958–2005). Agrofor. Syst. 2009, 77, 83–96. [Google Scholar] [CrossRef]
- Costa, A.; Madeira, M.; Lima, J.S. Is cork oak (Quercus suber L.) woodland loss driven by eucalyptus plantation? A case-study in southwestern Portugal. iForest-Biogeosciences For. 2014, 7, 193–203. [Google Scholar] [CrossRef]
- Joffre, R.; Rambal, S.; Ratte, J.P. The dehesa system of southern Spain and Portugal as a natural ecosystem mimic. Agrofor. Syst. 1999, 45, 57–79. [Google Scholar] [CrossRef]
- Kottect, M.; Grieser, J.; Beck, C.; Rudolf, B.; Rubel, F. World Map of the Köppen-Geiger Climate Classification Updated. Meteorol. Z. 2006, 15, 259–263. [Google Scholar] [CrossRef]
- Moreira, A.C.; Seita-Coelho, I.; Fernandes, L.; Martins, J.C. Cultural measures to control cork and holm oak decline in Southern of Portugal. In Book of Abstracts-1° Simpósio SCAP-Novos desafios na Protecção das Plantas-7° Congresso da SPF–20–21 November 2014; Auditório INIAV: Oeiras, Portugal, 2014. (In Portuguese) [Google Scholar]
- Manion, P.D. Tree Disease Concepts; Prentice-Hall Inc.: Englewoods Cliffs, NJ, USA, 1981. [Google Scholar]
- Thomas, F.M.; Blank, R.; Hartmann, G. Abiotic and biotic factors and their interactions as cause of oak decline in Central Europe. For. Pathol. 2002, 32, 277–307. [Google Scholar] [CrossRef]
- Corcobado, T.; Cubera, E.; Juárez, E.; Moreno, G.; Solla, A. Drought events determine performance of Quercus ilex seedlings and increase their susceptibility to Phytophthora cinnamomi. Agric. For. Meteorol. 2014, 192–193, 1–8. [Google Scholar] [CrossRef]
- Ruiz Gómez, F.J.; Perez-de-Luque, A.; Sanchez-Cuesta, R.; Quero, J.L.; Navarro-Cerrillo, R.M. Differences in the Response to Acute Drought and Phytophthora cinnamomi Rands Infection in Quercus ilex L. Seedlings. Forests 2018, 9, 634. [Google Scholar] [CrossRef]
- Bormann, F.H.; Kozlowski, T.T. Measurements of Tree Growth with Dial Gage Dendrometers and Vernier Tree Ring Bands. Ecology 1962, 43, 289–294. [Google Scholar] [CrossRef]
- West, P.W. Use of diameter increment and basal area increment in tree growth studies. Can. J. For. Res. 1980, 10, 71–77. [Google Scholar] [CrossRef]
- Gómez-Aparicio, L.; García-Valdés, R.; Ruiz-Benito, P.; Zavala, M.A. Disentangling the relative importance of climate, size and competition on tree growth in Iberian forests: Implications for forest management under global change. Glob. Chang. Biol. 2011, 17, 2400–2414. [Google Scholar] [CrossRef]
- Hernández-Lambraño, R.E.; de la Cruz, D.R.; Sánchez-Agudo, J.A. Spatial oak decline models to inform conservation planning in the Central-Western Iberian. For. Ecol. Manag. 2019, 441, 115–126. [Google Scholar] [CrossRef]
- Mendes, M.P.; Ribeiro, L.; David, T.S.; Costa, A. How dependent are cork oak (Quercus suber L.) woodlands on groundwater? A case study in southwestern Portugal. For. Ecol. Manag. 2016, 378, 122–130. [Google Scholar] [CrossRef]
- Carranca, C.; Castro, I.V.; Figueiredo, N.; Redondo, R.; Rodrigues, A.R.F.; Saraiva, I.; Maricato, R.; Madeira, M.A.V. Influence of tree canopy on N2 fixation by pasture legumes and soil rhizobial abundance in Mediterranean oak woodlands. Sci. Total Environ. 2015, 506–507, 86–94. [Google Scholar] [CrossRef]
- Oliveira, G.; Correia, O.; Martins-Loução, M.A.; Catarino, F. Phenological and growth patterns of the Mediterranean oak Quercus suber L. Trees 1994, 9, 41–46. [Google Scholar] [CrossRef]
- Campelo, F.; Ribas, M.; Gutiérrez, E. Plastic bimodal growth in a Mediterranean mixed-forest of Quercus ilex and Pinus halepensis. Dendrochronologia 2021, 67, 125836. [Google Scholar] [CrossRef]
- Skelton, R. Stem Diameter Fluctuations Provide a New Window into Plant Water Status and Function. Plant Physiol. 2020, 183, 1414–1415. [Google Scholar] [CrossRef] [PubMed]
- Scheffer, M.; Bascompte, J.; Brock, W.A.; Brovkin, V.; Carpenter, S.R.; Dakos, V.; Held, H.; van Nes, E.H.; Rietkerk, M.; Sugihara, G. Early-warning signals for critical transitions. Nature 2009, 461, 53–59. [Google Scholar] [CrossRef] [PubMed]
- Costa, A.; Cherubini, P. Is Cork Growth a Reliable Proxy for Stem Diameter Growth in Cork Oak (Quercus suber L.)? Implications for Forest Management under Climate Change in Mediterranean Regions. Appl. Sci. 2021, 11, 11998. [Google Scholar] [CrossRef]
- Ferretti, M.; Bacaro, G.; Brunialti, G.; Calderisi, M.; Crois, L.; Frati, L.; Nicolas, M. Tree canopy defoliation can reveal growth decline in mid-latitude temperate forests. Ecol. Indic. 2021, 127, 107749. [Google Scholar] [CrossRef]
Disclaimer/Publisher’s Note: The statements, opinions and data contained in all publications are solely those of the individual author(s) and contributor(s) and not of MDPI and/or the editor(s). MDPI and/or the editor(s) disclaim responsibility for any injury to people or property resulting from any ideas, methods, instructions or products referred to in the content. |
© 2023 by the authors. Licensee MDPI, Basel, Switzerland. This article is an open access article distributed under the terms and conditions of the Creative Commons Attribution (CC BY) license (https://creativecommons.org/licenses/by/4.0/).




