Next Article in Journal
Ecosystem Services Research Trends: A Bibliometric Analysis from 2000–2020
Previous Article in Journal
Relationships in Diversity, Vegetation Indexes and Water Area in Terminal Lake of the Tarim River, Northwest China
Previous Article in Special Issue
Students’ Empathy for the Environment through Eco-Art Place-Based Education: A Review
 
 
Font Type:
Arial Georgia Verdana
Font Size:
Aa Aa Aa
Line Spacing:
Column Width:
Background:
Article

Climatic and Biological Factors Related with Goat Grazing Management in the Arid Grassland of the Coquimbo Region (Northern Chile)

Ecology Unit, Faculty of Science, The University of Extremadura, Av. de Elvas, s/n, 06071 Badajoz, Spain
Ecologies 2021, 2(4), 345-365; https://doi.org/10.3390/ecologies2040020
Submission received: 8 September 2021 / Revised: 16 October 2021 / Accepted: 20 October 2021 / Published: 21 October 2021
(This article belongs to the Special Issue Feature Papers of Ecologies 2021)

Abstract

(1) Background: Desertification is one of the most important environmental impacts around the world. In the semiarid grassland of North of Chile, overgrazing has deep effects on arid lands and consequently on its economy and social development. It is necessary to conduct very detailed studies to determine how the climate, the botanical composition and the grazing system affects this process; (2) Methods: In this paper, we have determined the effect on arid grasslands of three goat managements: exclusions, continuous and deferred grazing on forage biomass, richness, Berger–Parker’s dominance and Shannon’s diversity. This study was developed in Las Cardas Range Station (CEALC) of the University of Chile in the Coquimbo region. The effect of annual and seasonal rainfall on biomass, diversity, richness and dominance parameters was determined; (3) Results: Allochthonous, endemic and native species showed significant changes both for seasonal and annual precipitation. In contrast, the grazing system only affected dominance and biomass of native and endemic species. Deferred grazing was the only management system that increased overall biomass productivity, especially on the best forage plant species. Exclusions showed a positive influence on more endangered species, which were the most vulnerable to goat overgrazing; (4) Conclusions: In consequence, we proposed a network of areas under deferred grazing combined with exclusions. This strategy can increase simultaneously forage productivity, grassland conservation and preservation of associated resources as hunting and wildlife tourism. Moreover, this strategy of range management will allow the sustainability of community of farmers in one of the poorest and most desertified areas in South America.

1. Introduction

Recent research indicates that 41% of the Earth’s land surface and within this, 45% of the agricultural areas are at serious risk of desertification [1]. This represents 10–20% of the world’s arid zones [2]. It is expected that by the end of the century, the area of drylands in the world will have increased by 11 to 23% [3]. In South America, this process is especially problematic, covering the 31% of the territory [4]. In many arid rangelands the main economic activity is livestock farming on natural vegetation [5]. When in these fragile environments, the arid forage resources are not managed properly so overgrazing occurs [6]. In drylands under Mediterranean climate, such as the North of Chile, desertification is especially intense, increasing annually from 0 to 1% due to the combination of overgrazing, pruning, forest fires and climate change [7,8]. This is undoubtedly Chile’s biggest problem, affecting 2/3 of the country’s territory [9].
Desertification effects are affecting not only natural processes but also social development of rural areas, income level, education resources and migration of local population [9]. These processes are especially problematic in certain sectors of the population, such as small farmers and ranchers, who only receive income from their agricultural activity [10]. As a result, this group enters a vicious circle of poverty that makes them dependent on their own subsistence conditions on the one hand, and prevents them from escaping from this underdevelopment on the other [11]. This forces us to invest even more in new technologies that facilitate the maintenance of an economically viable agricultural population that does not have alternatives. Recently, the use of solar energy, the implementation of new ecosystem services [12] or the appearance of new biotechnologies, specific to arid zones, point to more optimistic scenarios for the rural development [13]. Especially relevant is the project of the Great Green Wall (GGW) developed by many countries to combat desertification in the Sahel [14]. Broadly speaking, the project consists of developing a strip of native (NT) shrubs and trees with sustainable silvopastoral managements. Many strategies are being developed to combat the loss of diversity in arid zones. Recovering native plant species is one of the most important because they are plants that show unique adaptations to water stress, with pharmacologically useful chemical components and act as nursing plants, contributing to the creation of ecological islands of biodiversity [2]. Due to the low population density of arid zones, the loss of genetic resources is much faster than in other areas.
In regard to natural effects of desertification in North Chile, one of the strongest is the reduction in the level of aquifers [15]. These aquifers depend especially on the high precipitation events produced by ENSO (El Niño Southern Oscillation) [16]. It is due to these events that a savanna of arid shrub vegetation with very deep root systems is maintained in these areas of Chile. The deep root systems of these arid Chilean woody species contribute to soil fixation, preventing desertification [17]. Moreover, these species can be excellent nursery plants for small trees that form the savanna type forest typical of many arid environments [14]. For these reasons, different strategies have been designed for the introduction of shrub species to combat desertification in Northern Chile [18]. Moreover, many bushes act as nursing plants of local grasslands buffering the effect of climate change [19]. Consequently, if woody vegetation disappears in the area, there is a very rapid acceleration of desertification (a typical catastrophic cascading process) with a consequent reduction in biodiversity [2]. This decline affects all trophic levels such as grasslands, small mammals, insects and predators [20]. Therefore, to maintain an appropriate level of shrub cover and a good farming management is absolutely necessary to avoid desertification in arid areas [21]. This can be done by regulating the carrying capacity of grasslands because other environmental restoration strategies, such as planting native shrubs in large areas, have a high economic cost of implementation and success is not always guaranteed [14].
Traditionally, livestock management in Northern Chile is based on free-ranging goats under continuous grazing [22]. Different studies suggest that this is not the best management system for the conservation of arid rangelands [7,23]. In fact, this goat grazing method reduces the abundance of the best forage native species that usually are the worst adapted to overgrazing [24]. Secondly, an increment in invasive and unpalatable grasses, forbs and shrubs is produced by an excess of livestock pressure [25]. Moreover, these alien species are the most resistant to ruminants due to its higher reproductive rates and lower palatability [26]. All these changes in grassland composition are usually associated to a marked reduction of nutritional value [27] and diversity [28] of rangelands. This reduction in diversity is at the expense of native species [29]. Moreover, invasive species can cause significant changes in the carbon and water cycles at the ecosystem level [30]. Consequently, continuous grazing significantly reduces the biomass (B) of arid steppes, as well as their photosynthetic activity [31]. Nor can we ignore the alterations on nutrient recycling and especially on carbon sequestration in areas under continuous grazing compared to protected areas [32]. These multiple effects of continuous grazing are being tested in many arid rangelands around the world with similar results [6,7,8,9,10,11,12,13,14,15,16,17,18,19,20,21,22,23,24,25,26,27,28,29,30,31,32,33].
In Northern Chile, the loss of autochthonous (AU) species by overgrazing probably began in the 15th century [34], during the Spanish Conquest period, but it only has been registered since 18th century [35]. During the conquest, the seeds of allochthonous (AL) grassland species were transported by small ruminants (sheep and goats) introduced by the Spanish conquerors [36]. Today, AL species are dominant whereas the relict vegetation only survive in very isolated areas [37]. This relationship between inefficient pastoral models from the colonial past and current degradation has been observed in other parts of the world [38].
In the present paper, we analyze the effect of seasonality, rainfall and grazing management system on Shannon’s diversity (H′), specific richness (S), Berger–Parker’s dominance (d), total biomass (B) and productivity of AL, native (NT) and endemic (EN) species in North Chile. Few studies on Chilean arid rangelands have been conducted with the level of annual, seasonal and spatial replication of this study. Moreover, our study is based on the analysis of a high number of permanent transects that allow a clear analysis of botanical changes across time. In consequence, our methodology is especially useful in areas that are very variable in environmental conditions, such as Northern Chile, because it reduces statistical noise, permitting obtaining valuable conclusions. Moreover, we will study the environmental factors implied in the growing reduction of EN and NT vegetation that is other collateral problem of desertification process. Therefore, the aim of this paper is weighting the relative influence of climate, invasion of AL species and overgrazing on arid rangelands of the IV Region of Chile, proposing solutions for one of the most desertified areas in the world.

2. Experimental Section

2.1. Sampling Area

Grassland sampling was done in Las Cardas Range Station (CEALC), an experimental area belonging to the Faculty of Agronomy of the University of Chile (Figure 1). CEALC is located in the North of IV Region of Chile, near the city of Coquimbo (between 30°13′ and 30°19′ latitude South, and 71°13′30″ and 71°19′ longitude West). The average altitude of the study area was 260 m. Annual average temperature from 1977 to 2020 was 14.8 °C. The average monthly temperature varies between 11 °C in July and 19 °C in January due to the Humboldt Current [39]. Annual rainfall in the same period was 109 mm but with a marked interannual variability [40]. The 63% of precipitation was concentrated during the winter. The years with more intense rainfall levels were associated to “El Niño” Southern Oscillation (ENSO) events. In contrast, summer drought was due to Mesoscale Convective Systems (MCSs) [41]. The two wettest months in the area were June (18% of annual rainfall) and July (44%). Despite the scarce annual rainfall in the area, the water deficit did not surpass 900 mm·year−1 due to the influence of coastal fogs which produced a relative humidity of 71% in January and 78% in July. This effect affected to our study area but decreased to few km away from the coast [42] and it markedly influenced the botanic composition [43]. The soil type is an Orthid Aridisol formed by coluvial-alluvial material derived from granitic batholite of the coastal mountains [44]. The 0–60 cm of depth is a sandy clay loam and soil over 60 cm has a higher clay content. Under 60 cm of depth an extremely hard layer of mineral deposits is present. This limits the flux of nutrients and consequently the arid agriculture in the area. Soil pH is close to neutral [45].
The shrub community in the area comprised the species Flourensia thurifera (Molina) DC, Heliotropium stenophyllum Hook et Arn, Gutierrezia resinosa Hook et Arn, Porliera chilensis I.M. Johnst, Senna cummingii var. coquimbensis (Vogel) Irw. et Barneby and Adesmia microphylla Hook et Arn [23,24,25,26,27,28,29,30,31,32,33,34,35,36,37,38,39,40,41,42,43,44,45,46]. Grassland sampling was carried for 1983 to 1988, 1991 and 2002 (Figure 2). Sampling effort by season and years is shown in Table 1. Years were classified as wet or dry depending on if its rainfall levels were over or under 135 mm. This was the average precipitation for the sampling period in the area. Grassland were grouped by its composition in autochthonous (AU) and allochthonous (AL) species (see Supplementary Materials). The first group was separated in native (NT) of Chile (distributed along III, IV, V and VI regions) (see Supplementary Materials) and endemic (EN) of the IV Region of Chile (see Supplementary Materials) following to [47]. NT and EN species showed marked differences in its ecological drought tolerance and vulnerability to overgrazing [48]. In this sense, EN species were better adapted to arid climate than NT species but both groups were vulnerable to overgrazing. Exactly the opposite happens with AL species that tolerate overgrazing and were less adapted to prolonged drought periods [7].

2.2. Management Systems

The forage resources of CEALC have been managed by the principal experts in arid rangelands of the University of Chile since 1973. They have mainly applied continuous and deferred grazing systems. Continuous grazing is based on keeping animals in the field every day of the year. On the contrary, deferred grazing is based on letting the plants in a zone go to seed and grazing them immediately after until the plants are withered at the end of the grazing season. Only at night are the goats collected in stables. Continuous grazing was based on a constant stocking rate of 3 goat ha−1 [49]. Only two experimental herds with the same number of animals were considered in this study. Both flocks were completely separated by a road and therefore with no possibility of interactions between them (Figure 1). Consequently, both grazing areas were independent and can be considered as replicates. The two areas were under continuous grazing but inside them certain sectors were managed by deferred grazing [26]. These deferred areas were fenced and protected from grazing since late spring until autumn. Simultaneously, a set of 12 exclusions were distributed in the overall area of CEALC. These exclusions can be considered as independent replicates too (Figure 1). The goats did not pass between all these sampling areas by the presence of a river and the previous commented road that act as barriers. Both limits define three independent sampling areas in the West, Center and East of CEALC (Figure 1). As exclusions, we considered, not only the specifically constructed for this purpose, but the areas where the goats never grazed. As an example of the intense changes in botanical composition that were produced in these excluded areas, the aerial photographs showed a darker color that it was effect of a higher grass cover and shrub abundance (Figure 1). The time of creation, location, duration and size of these exclusions are shown in the section of Supplementary Materials. Exclusions allowed observing the effect of grazing protection on temporal changes in arid grasslands [2].
Goats belong to Criolla breed, a cross of local goats with Spanish Guadarrama breed [50]. Animals presented an average of two years old that corresponds to 35–40 kg. Goats over 4 years were usually replaced by youngest due to the low milking productivity of this breed. Animals were under free ranging management and only were housed during the night to avoid the attack of desert foxes (Pseudalopex griseus Gray) or feral dogs. Goats were occasionally supplemented in summer with lucerne, grain, forage shrubs (Atriplex spp. and Opuntia spp.) and agriculture byproducts. Supplementation was only given during the driest periods, at evening after each grazing journey [22]. Consequently, this was a complement to the low nutritional value of natural vegetation that was the main food source [23]. In any case, this treatment was equally applied to both herds.

2.3. Sampling Method

This study covered a non-continuous period of 19 years and was seasonally highly replicated (Table 1). However, despite our data not being completely balanced, this was compensated by a high sampling size and the use of non-parametric methods that will be explained in detail after. In any case, these inhomogeneities in data are very frequent in many landscape studies that cover a wide temporal range and it can be easily solved with appropriate statistical procedures [51].
The three goat managements (exclusion, continuous and deferred grazing) have been maintained in CEALC since 1973. Sampling was distributed randomly inside the areas with homogeneous vegetation for each grazing treatment. We used point-quadrat transects to quantify plant abundances that consist in the measure of any contact on any green structure (leaves and green stems) of plants [52]. Total abundance of each plant species (phytovolume) was defined as its number of contacts along the transect [53]. This means that only the annual productivity was registered because woody contacts of shrubs and forbs were not measured. Previous methodological studies indicated that in arid areas the best point-quadrat dimension was 10 m of length with sampling points each 10 cm [54]. We took a special care for covering all the plant communities in the area. Total set of transects was 472 with 159 in continuous grazing areas, 165 in deferred grazing and 148 for exclusions.
Additionally, in each transect three 0.25 m2 (50 × 50 cm) squares were harvested and their average dry matter (DM) was the measure of phytomass (B) finally used [55]. This means 159 × 3 phytomass samples for continuous grazing, 165 × 3 in deferred grazing and 148 × 3 in exclusions. Biomass of AL, NT and EN species was calculated using a phytovolume-phytomass regression model specifically developed for these arid ecosystems. Biomass was calculated in kilograms per hectare (kg/ha). We followed the same methodology previously used in temperate Mediterranean [56] and tropical [57] rangelands.

2.4. Statistical Analysis

The factors defined in the analysis were management system (exclusion, continuous and deferred grazing), season (spring, autumn and winter) and type of the year (dry and wet) according to the average rainfall level that is 135 mm (Figure 2A).
Phytovolume of each species was used for the determination of Berger–Parker’s dominance (d), Shannon’s diversity index (H′) and Richness (S) in each transect [58]. In order to compare these indexes between seasons, years and grazing treatments, we used a Hierarchical Partitioning (HP) test [59]. HP is an inferential analysis based on the testing of many multiple regressions with interaction terms and then, the explained independent variance of each factor is determined. The use of HP is increasing in the last decades because it was a substitute of parametric variance analysis and simultaneously complements multiple regression without the problems of multicollinearity, non-normality or heteroscedasticity of residues [60,61]. Moreover, HP method is robust to spatial and temporal dependence caused by sampling design [62]. HP can be used when sampling is not balanced or saying the same when there is absence of samples in certain combination of factors (Table 1) [63]. In consequence, HP analysis is perfect for the type of data that are commonly used in applied landscape ecology, specifically in conservation studies [64] where the sampling designs are very complex and despite this, we need to separate clearly the independent contribution of each environmental factor [65]. HP determines the percentage of total variance explained by each factor comparing their effects alone and in combination and the significance was calculated by a randomization test [66,67].
Complementary to HP test, we carried out a non-parametric Spearman’s rank correlation analysis for comparing the biomass between all the subsets of factors and groups of species (AL, NT and EN). Using this procedure, we detected if competence (ρ < 0) or association (ρ > 0) were significant between subsets. Finally, we compared the differences in B, d, S and H for the set of years using Dunn’s post-hoc nonparametric test of variance. All the statistical analysis were calculated using R-package statistical environment [68].

3. Results

3.1. Botanical Composition of Grassland Community

Annual rainfall in CEALC is highly variable and winter dominant. However, the linear tendency across the sampling period was flat (Figure 2A). Associated to this variation in precipitation, strong changes in botanical composition were observed. Thus during the nine non-continuous years of sampling in the CEALC, we detected 129 species of vascular plants (distributed in 46 families) (see Supplementary Materials). In the three groups of vegetation (NT, EN and AL) defined by [47], we detected 37, 46 and 43 species, respectively. Poaceae and Asteraceae were the dominant families in AL (9 and 7, respectively) and NT (4 and 4, respectively) groups. EN species presented dominance of Asteraceae (n = 9) and Boraginaceae (n = 5) families. AL group of plants showed less botanical families (n = 16) than NT (n = 23) and EN (n = 24) groups. Consequently, EN and NT species of IV Region of Chile have a higher radiation in botanical families regard to species divergence. When the number of species were compared among life forms, the differences were clearer. In this sense, AL plants had a remarkable dominance of annual species of Poaceae (n = 34) compared with biennials (n = 3) and perennials (n = 10). In contrast, NT group presented less annual (n = 22) and more perennial (n = 13) species. This group even had two phanerophytes and one subfruticose taxon. Finally, EN group included the same number of annual species (n = 22) but an increase in perennial (n = 15), phanerophytes (n = 5) and subfruticoses (n = 4) life-forms. Consequently, the dominance of annual grasses was different in AL species (77%) respect to NT (60%) and EN (48%) groups.

3.2. Relationship of Rainfall, Season and Grazing System with Biomass and Botanical Composition

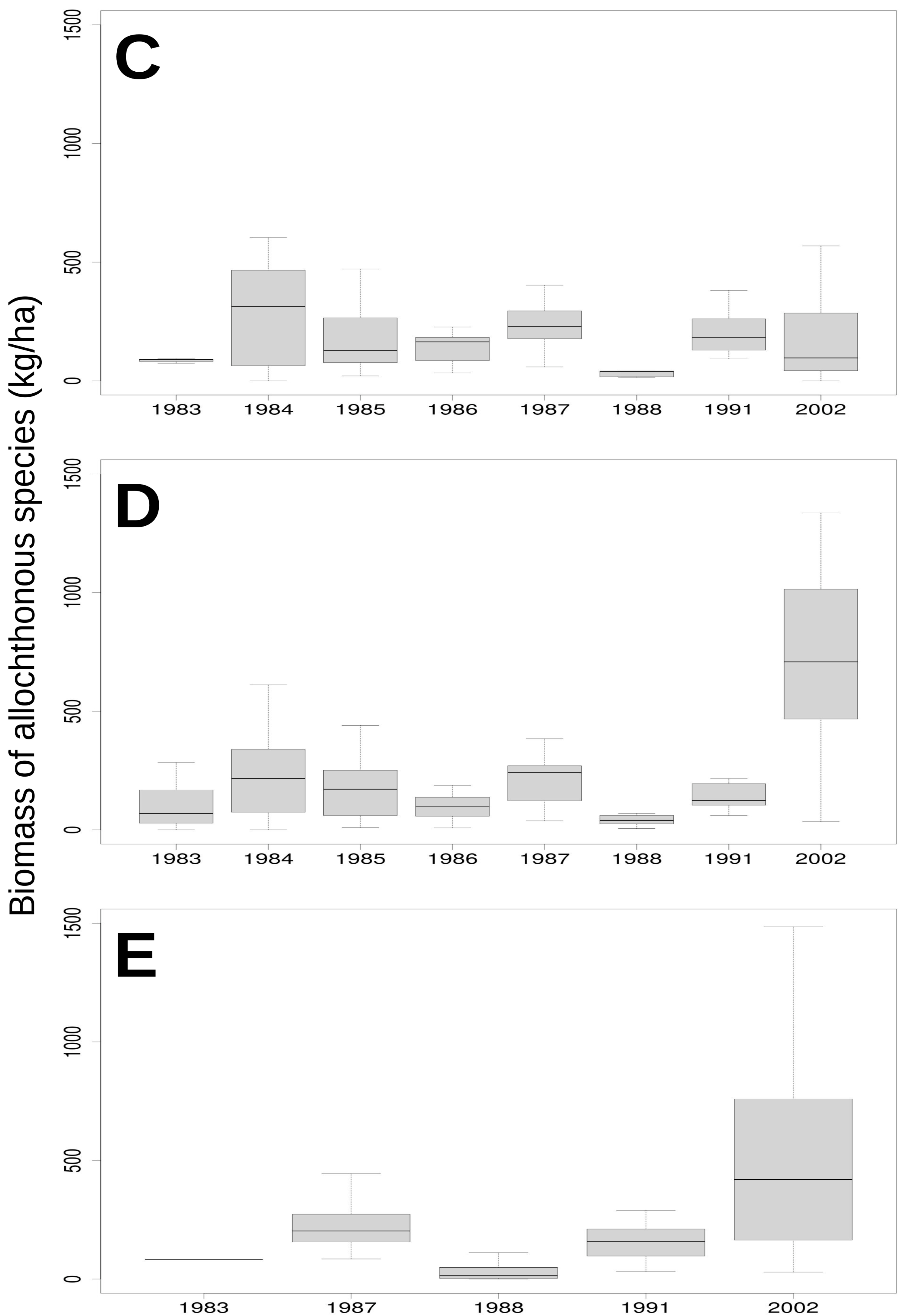
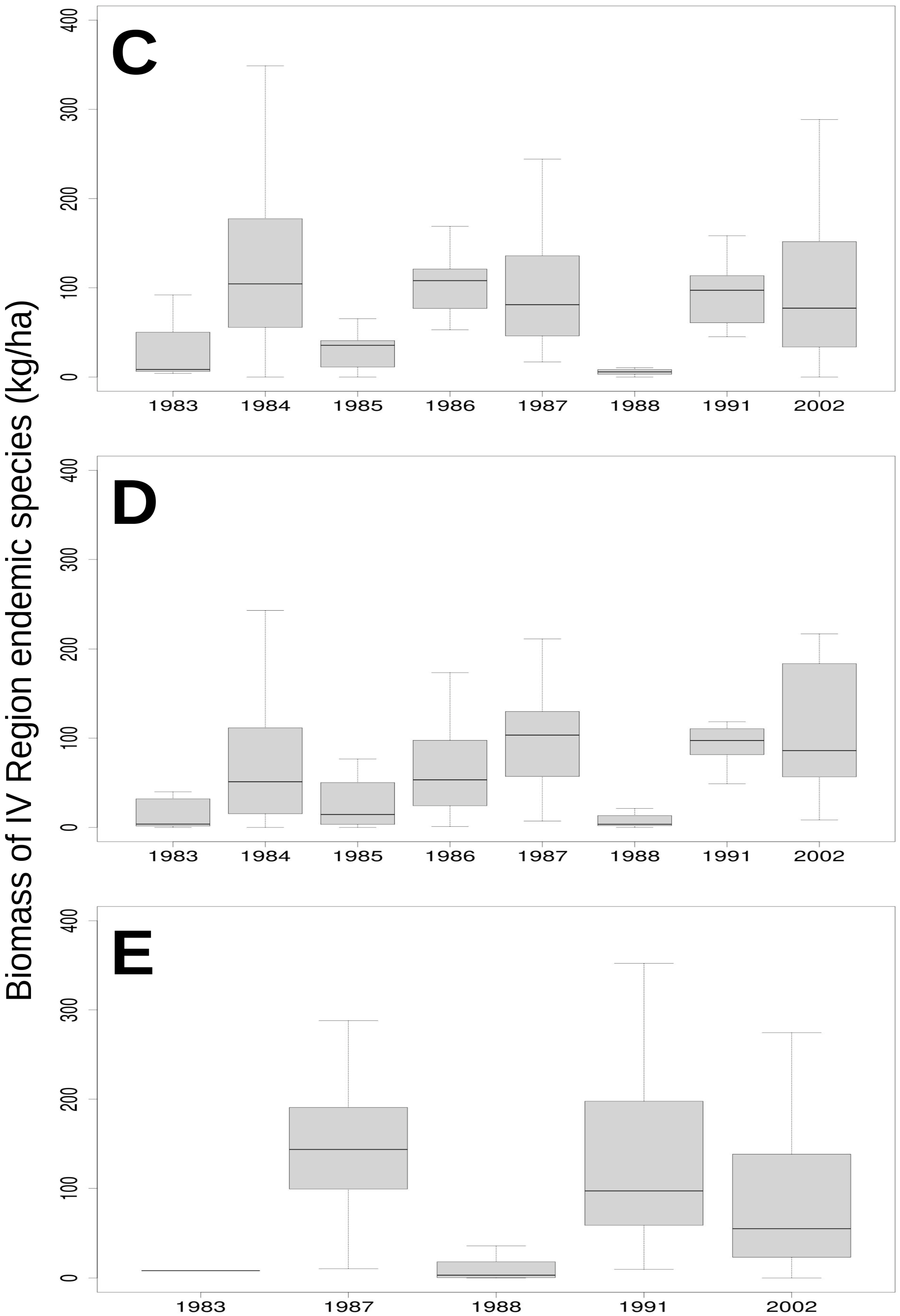
The relative influence of rainfall, season and grazing systems was also studied in AL, EN and NT groups [47] (Table 2). Biomass of AL species was affected by rainfall and seasonality but not by grazing management (Table 2). Despite these results, non-significant slight changes can be observed in the AL species for the three different grazing treatments since 1983 (Figure 3). In contrast, NT species showed a significant decrease according to annual changes (Table 2) since 1983 in the three grazing managements (Figure 4). In the last year of sampling (2002), an increase in biomass of NT species was observed, especially in deferred grazing management (Figure 4). NT species also varied significantly in relation with seasonality and rainfall (Table 2). Finally, EN species showed significant changes in abundance respect to grazing systems, season and rainfall (Table 2 and Figure 5). The three groups of plants (AL, EN and NT) showed minimum values during 1988 (Figure 3, Figure 4 and Figure 5), the driest year in the sampling period.

3.3. Relationship of Rainfall, Season and Grazing System with Richness, Dominance and Diversity

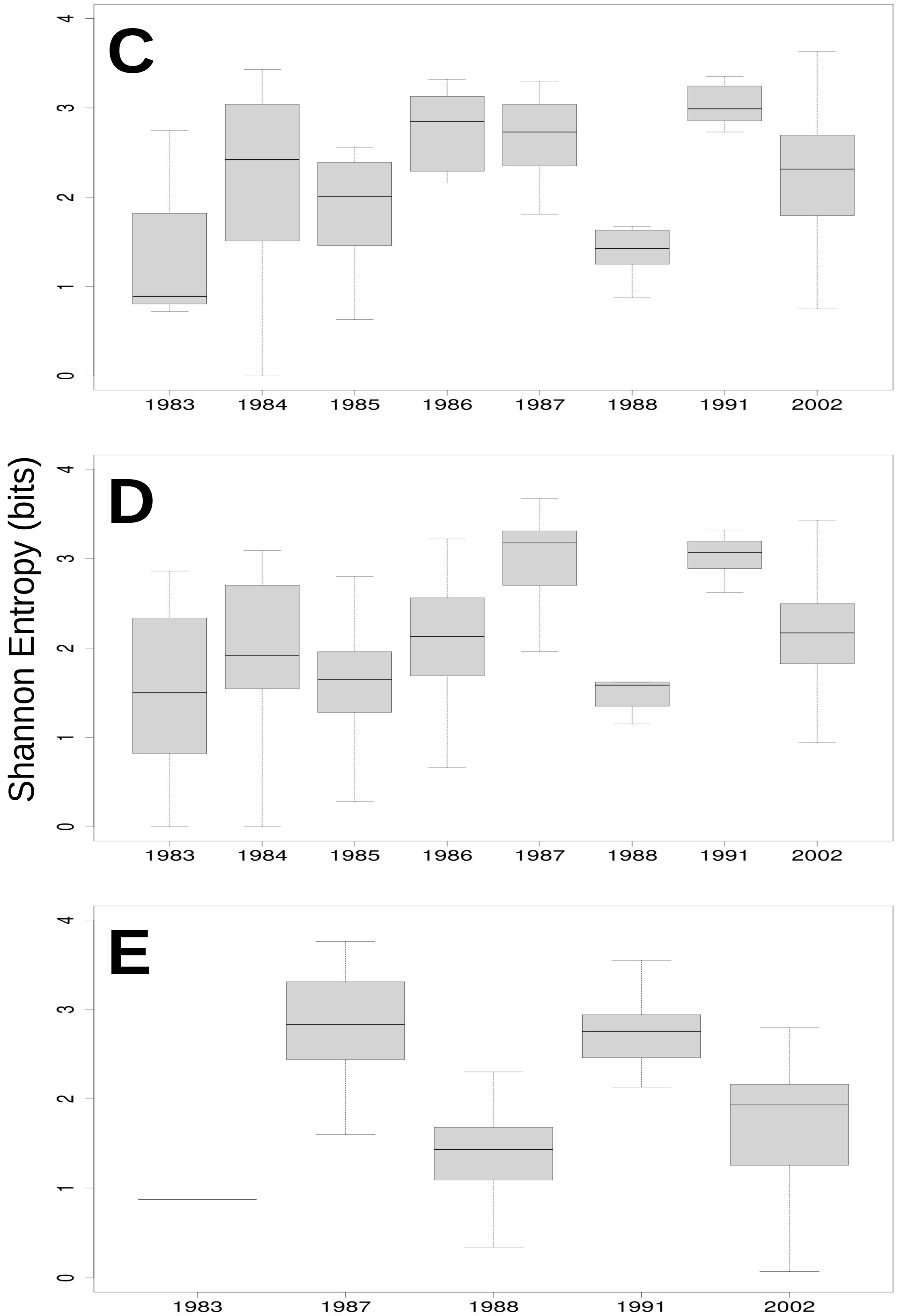
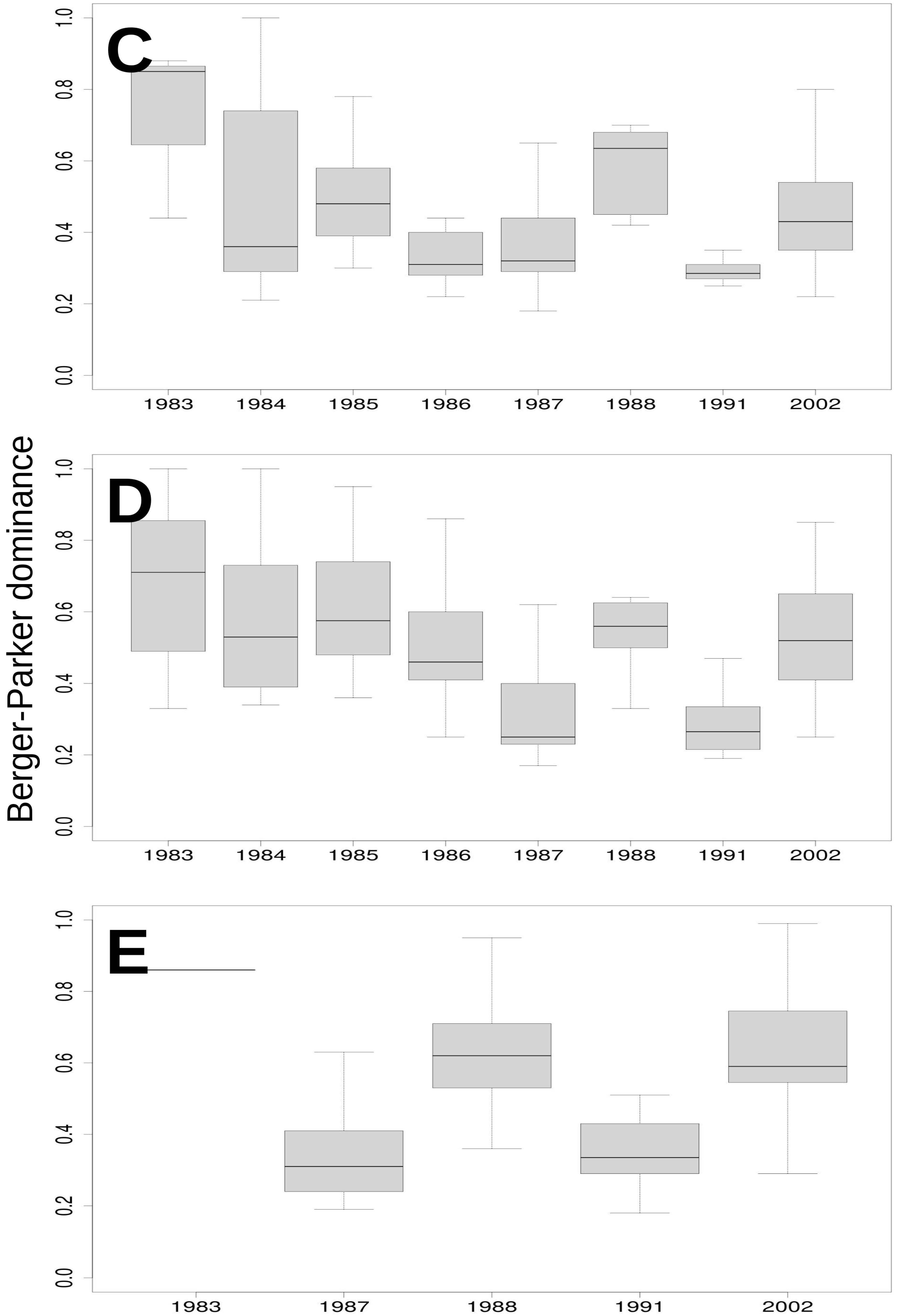
Rainfall and seasonality were related to S, H′ and d changes for AL, NT and EN species (Table 2). Grazing system only affected to Berger–Parker’s dominance in the three groups (Table 2). S and H′ did not show significant differences between grazing managements (Figure 6 and Figure 7 and Table 2) and presented minimum values during 1988, the driest year registered in the sampling period (Figure 6, Figure 7 and Figure 8) that showed an increment in Berger–Parker’s dominance. The Spearman’s correlations in biomass between plant groups gave additional information on symbiotic or competence relationships (Table 3). All the plant groups showed positive correlations but only significance in certain cases. Moreover, competence did not exist between AL, NT and EN species for rainfall, season and grazing managements. AL species showed positive significant correlations with NT (r = 0.533; p < 0.001) and EN (r = 0.674; p < 0.001) species during dry years. AL and EN species were positively correlated during spring (r = 531; p < 0.001) and fall (r = 0.674; p < 0.001). Contrary to these results, the interactions between EN and NT species were not so intense (Table 3). Only in dry years (r = 0.372; p < 0.001), in excluded areas (r = 0.292; p < 0.001) and during the winter season (r = 0.279; p < 0.001) can positive correlations be observed. Considering the whole set of positive correlations, we determined that the softest association was established between NT and EN species and secondly between NT and AL species. The highest positive association was registered between EN and AL species, the two groups that were further in origin, taxonomy, life forms and ecological adaptations.

3.4. Overall Differences between Grazing Treatments

Dunn’s test shows significant differences between grazing treatments for B, d, H and S parameters (Figure 9). In the case of the Berger–Parker dominance index, the areas under deferred grazing show significantly higher values (Figure 9A). In terms of biomass, the exclusions are significantly more productive than the areas under continuous grazing (Figure 9B). The zones under deferred grazing show intermediate characteristics. On the other hand, excluded areas show higher species richness (S) than areas under deferred grazing (Figure 9C). Areas under continuous grazing show intermediate values. Finally, under deferred grazing, significant differences are observed in the lower H values with respect to the rest of the treatments, which are similar (Figure 9D).

4. Discussion

This paper demonstrates that in Northern Chile, as in many arid areas around the world, inappropriate land managements derived from colonial period, overgrazing and a reduction in rainfall by climate change are the main causal factors of desertification [14,38]. Our results complement previous researches that attribute this process to the expansion of AL species introduced by Spanish conquerors [22,23]. AL plants are not well adapted to these arid environments [69] because in their area of origin annual rainfall exceeds 500 mm. This is far from the average precipitation in CEALC area [10]. During the study period, only one extreme precipitation event approached the optimum rainfall value for AL species. This was in 1997 during a particularly low ENSO when 447.5 mm of precipitation was recorded. Despite the higher water requirements of the AL species respect to others, their propagation capacity is much higher than NT and EN species, both by vegetative methods and by seed. Therefore, during wet years these species would expand so much that they would compensate for their lesser adaptation to dry environmental conditions. On the other hand, we should not forget that AL species are more resistant to overgrazing than NT and EN species [7]. This is due to both their high levels of anti-nutritive compounds [70,71], higher seed production and faster vegetative growth [72]. These seeds, when left in the soil, would act as a reservoir that favors pulse expansion during wet years. Moreover, AL Spanish grassland species had coevolved together with ruminants during millennia [73]. In fact, AL plants have developed propagation systems based on endozoochory and epizoochory [74] that are very different to the autochory and allochory dispersion mechanism common in arid rangelands [75]. In this sense, it is very possible that the criollo goats are favoring the AL species by transferring their seeds either in their wool or through their feces. Further work should analyze this point by assessing these dispersal mechanisms that are common in the areas of origin of the AL species. By all these considerations, AL and AU species (both NT and EN) are not competitors even showing positive interactions. A possible explanation of this unexpected symbiotic effect is related to the higher growth rates of AL species during wet years. This could increase the levels of dry biomass and therefore soil nutrients that will be used by NT and EN species during the following dry years [76]. This theory is supported by certain studies that show a reduction in competence and more intense symbiotic relationships between life-forms when the aridity increases [77]. Other studies relate a higher radiation in life-forms with an increment in the climate variability [75]. In this sense, the theory of ecological stability explains that under intense interannual climatic oscillations, local species decrease competence and increase symbiotic relationships for a joint benefit on the whole grassland community [78,79,80]. This theory is concordant with the positive correlations, observed in this study, between AL, NT and EN species. In contrast, AL group of species presents a dominance of annual grasses. This is other indicator of the higher adaptation of AL species to intense grazing conditions but it explains the less efficiency to drought conditions too.
Regard to the effect of grazing treatments, any significant difference was observed in AL species, whereas NT and EN plants show marked changes by its low resistance to grazing. Historically, Chilean flora of IV Region had evolved in absence of big ruminants with the exception of the Guanaco (Lama guanicoe Müller), which shows low densities in the area. Moreover, this mammal has a very marked seasonal grazing behavior in IV Region of Chile using high altitudes during spring and summer and low areas during winter. The author of [81] describes the diet of Guanaco in North Chile as highly selective. In contrast, goat grazing behavior is moderately selective for the study area [23]. Therefore, Chilean flora have evolved without the selective pressure of intense continuous grazing. This explains desertification in Northern Chile and not the competence with AL species. Another factor affecting desertification in North Chile is the free-ranging goat management. Some studies show that herds managed by shepherds not only desertify less, but also feed on a greater variety of forage resources [5]. We believe that this traditional free-ranging management can cause that goats feed even more on endemic and native plants.
The use of grazing exclusions have been emphasized as a good conservation practice for local species in many rangeland areas [82,83]. Exclusions show an intense recharge of seed bank that produces low inter-annual fluctuations in primary production [84,85]. Moreover, exclusions are an excellent strategy in terms of a larger general biodiversity conservation. In fact, this management system preserves many endangered species of flora and fauna [26]. Complementary to the use of exclusions, previous studies related deferred grazing with the increase in NT species [7]. In the Coquimbo area, deferred grazing results in the increase of the forage annual grass Bromus berterianus Colla. This species is adapted to the short period of grazing that the guanaco uses naturally [86,87,88]. In fact, deferred grazing, alone or combined with rotational grazing, appears as the best solution for Mediterranean rangelands [89]. Moreover, this management strategy limits soil erosion during the intense rainfall events by the higher abundance of plant biomass [26]. Moreover, deferred grazing (as exclusions) increases the seed bank levels too, causing smaller inter-annual fluctuations in grassland production [90]. This treatment enables farmers a better analysis of their future expenses in fodder and other supplements for ruminants [91].
From a methodological point of view, parameters such as diversity and dominance, are very useful for testing the effect of grazing management. In this sense, Berger–Parker’s dominance is a good indicator of changes in AL species [7] increasing during overgrazing [92,93,94]. Other studies consider H′ and S as good indicators in semiarid rangelands [95]. However, in arid environments of North Chile H′ and S do not show significant changes according to grazing management.
Since an agroecological approach, it is very important to find strategies of compatibility between farmers’ needs and nature conservation for these semiarid areas [96,97]. In this sense, a network of exclusions located in the main types of ecosystems of the IV Region of Chile could decrease the loss of natural taxa by overgrazing. Combining this network with deferred grazing would be possible to increase the sustainable incomes of rural areas and simultaneously guarantee conservation of natural resources. Moreover, this strategy have positive effects of carbon footprint of rangelands [98]. All these aspects are relevant in order to put in value one of the most degraded semiarid areas in the world.

5. Conclusions

The unappropriated goat grazing management is one of the most relevant factors of desertification in Northern Chile. Moreover, climate change and biological invasion of alien grassland species contributes to an intense loss in biodiversity. Applying economic efforts on these last factors can have null effects. However, grazing management is partially a cultural question. In many areas of the world, a combination of deferred grazing and exclusions have permitted increasing the productivity of arid rangelands and simultaneously conserving wildlife species. In this sense, the present work clearly shows, across many years of sampling, that this grazing system is a valuable alternative for one of the areas under a stronger risk of desertification in the world.

Supplementary Materials

The following are available online at https://www.mdpi.com/article/10.3390/ecologies2040020/s1, Document S1: Allochthonous, native and endemic species sampled at the Las Cardas Range Station (CEALC) during the study period and spatial location of grazing exclusions.

Funding

This research has been possible through successive grants of the CEXECI (Center for Cooperation with South-America of Extremadura region, Spain) in 1994, the Regional Government of Extremadura region (SW Spain) during 1994, 1996 and 1998 and the Spanish Minister of Education in 2002. We also want to thank to colleagues of the University of Chile, Patricio Azócar, Sergio Lailhacar, Alfredo Olivares and Claudia Torres for your assistance during all these years. Rodomiro Osorio of the University of La Serena give valuable taxonomic information on native and endemic species. This paper was revised in term of English spelling by Pedro Delgado C2 Cambridge level expert.

Conflicts of Interest

The author declares no conflict of interest.

References

  1. Burrell, A.L.; Evans, J.P.; De Kauwe, M.G. Anthropogenic climate change has driven over 5 million km2 of drylands towards desertification. Nat. Commun. 2020, 11, 3853. [Google Scholar] [CrossRef]
  2. Akhtar-Schuster, M.; Schmiedel, U.; Jürgens, N. Biodiversity and Desertification. In Global Change: Enough Water for All? Lozán, J.L., Grassl, H., Hupfer, P., Menzel, L., Schönwiese, C.D., Eds.; Wissenschaftliche Auswertungen: Hamburg, Germany, 2007; pp. 224–226. [Google Scholar]
  3. Zhang, R.; Jinsong, W.; Shuli, N. Toward a sustainable grazing management based on biodiversity and ecosystem multifunctionality in drylands. Curr. Opin. Environ. Sustain. 2021, 48, 36–43. [Google Scholar] [CrossRef]
  4. López, B.C.; Rodríguez, R.; Gracia, C.A.; Sabaté, S. Climatic signals in growth and its relation to ENSO events of two Prosopis species following a latitudinal gradient in South America. Glob. Chang. Biol. 2006, 12, 897–906. [Google Scholar] [CrossRef]
  5. Müller, F.L.; Samuels, M.I.; Cupido, C.F.; Swarts, M.B.V.; Hattas, D.; Morris, C.; Cyster, L.F.; Boatwright, J.S.; Amary, N.M. The impacts of season and livestock management strategy on the quality of diets selected by goats and sheep in the semi-arid rangelands of Namaqualand, South Africa. Afr. J. Range Forage Sci. 2019, 36, 1–10. [Google Scholar] [CrossRef]
  6. El Aich, A.; Waterhouse, A. Small ruminants in environmental conservation. Small Rumin. Res. 1999, 34, 271–287. [Google Scholar] [CrossRef]
  7. Azócar, P.; Patón, D. Influencia del sistema de pastoreo y de la variabilidad interanual sobre la biodiversidad del pastizal mediterráneo árido de la IV Región de Chile. In Proceedings of the 49th Symposium of the Agronomic Society of Chile (SACH), Santiago, Chile, 30 November–3 December 1998. [Google Scholar]
  8. Bahre, C.J. Destruction of the Natural Vegetation of North-Central Chile; University of California Publications in Geography: Berkeley, CA, USA, 1979; Volume 23, pp. 1–118. [Google Scholar]
  9. Salinas, C.X.; Mendieta, J. Mitigation and adaptation investments for desertification and climate change: An assessment of the socioeconomic return. Mitig. Adapt. Strateg. Glob. Chang. 2013, 18, 659–672. [Google Scholar] [CrossRef]
  10. Azócar, P.; Lailhacar, S. Bases ecológicas para el desarrollo de la zona de clima mediterráneo árido de Chile. Terra Arida 1990, 8, 221–301. [Google Scholar]
  11. Kiringe, J.; Okello, M.M. Degradation of Rangelands: Causes, Ecological, Wildlife Conservation and Socio-Economic Implications; Nova Science Publishers: New York, NY, USA, 2010. [Google Scholar]
  12. Bedunah, D.J.; Angerer, J.P. Rangeland degradation, poverty, and conflict: How can rangeland scientists contribute to effective responses and solutions? Rangel. Ecol. Manag. 2012, 65, 606–612. [Google Scholar] [CrossRef]
  13. Thokchom, B.; Qiu, P.; Singh, P.; Iyer, P. Water Conservation in the Era of Global Climate Change; Elsevier: New Delhi, India, 2021. [Google Scholar]
  14. O’Connor, D.; Ford, D. Increasing the effectiveness of the “Great Green Wall” as an adaptation to the effects of climate change and desertification in the Sahel. Sustainability 2014, 6, 7142–7154. [Google Scholar] [CrossRef]
  15. Squeo, F.A.; Aravena, R.; Aguirre, E.; Pollastri, A.; Jorquera, C.B.; Ehleringer, J.R. Groundwater dynamics in a coastal aquifer in north-central Chile: Implications for groundwater recharge in an arid ecosystem. J. Arid Environ. 2006, 67, 240–254. [Google Scholar] [CrossRef]
  16. Holmgren, M.; López, B.C.; Gutiérrez, J.R.; Squeo, F.A. Herbivory and plant growth rate determine the success of El Niño Southern Oscillation-driven tree establishment in semiarid South America. Glob. Chang. Biol. 2006, 12, 2263–2271. [Google Scholar] [CrossRef]
  17. Torres, R.; Squeo, F.A.; Jorquera, C.; Aguirre, E.; Ehleringer, J.R. Evaluación de la capacidad estacional de utilizar eventos de precipitación en tres especies de arbustos nativos de Chile con distintos sistemas radiculares. Rev. Chil. De Hist. Nat. 2002, 75, 737–749. [Google Scholar] [CrossRef][Green Version]
  18. Contreras, D.; Azocar, P.; Covarrabias, G.; Soto, G. Use of Forage Shrubs in the Arid-Land of Chile; General Technical Report INT-172; US Department of Agriculture, Forest Service: Washington, DC, USA, 1984; pp. 237–242. [Google Scholar]
  19. Tracol, Y.; Gutiérrez, J.R.; Squeo, F.A. Plant Area Index and microclimate underneath shrub species from a Chilean semiarid community. J. Arid Environ. 2011, 75, 1–6. [Google Scholar] [CrossRef]
  20. Thibault, K.M.; Ernest, S.K.M.; White, E.P.; Nrown, J.H.; Goheen, J.R. Long-term insights into the influence of precipitation on community dynamics in desert rodents. J. Mammal. 2010, 91 Pt 4, 787–797. [Google Scholar] [CrossRef]
  21. Dotterweich, M. The history of human-induced soil erosion: Geomorphic legacies, early descriptions and research, and the development of soil conservation. A global synopsis. Geomorphology 2013, 201, 1–34. [Google Scholar] [CrossRef]
  22. Azócar, P. Hábitos de pastoreo y de consumo de especies forrajeras del ganado caprino en zonas áridas. Av. Prod. Anim. 1987, 12, 3–9. [Google Scholar]
  23. Azócar, P.; D‒Herbes, J.M.; Díaz, J. Estudio de sistemas de pastoreo con caprinos para el secano árido de la IV Región de Coquimbo. 1: Dieta e índices de aceptabilidad relativa de arbustos. Av. Prod. Anim. 1987, 12, 35–47. [Google Scholar]
  24. Shackleton, C.M. Comparison of plant diversity in protected and communal lands in the Bushbuckridge low veld savanna, South Africa. Biol. Conserv. 2000, 94, 273–285. [Google Scholar] [CrossRef]
  25. Stafford-Smith, D.M.; Campbell, B.D.; Archer, S.; Steffen, W. Pasture and Rangeland Network: An Implementation Plan. In Global Change and Terrestrial Ecosystems; Report no 3; CSRIO, Division of Wildlife and Ecology: Canberra, Australia, 1995. [Google Scholar]
  26. Holecheck, J.L.; Pieper, R.D.; Herbel, C.H. Range Management. Principles and Practices; Pearson: New York, NY, USA, 2011. [Google Scholar]
  27. Al-Rowaily, S.L.; El-Bana, M.I.; Al-Bakre, D.A.; Assaeed, A.M.; Hegazy, A.K.; Ali, M.A. Effects of open grazing and livestock exclusion on floristic composition and diversity in natural ecosystem of Western Saudi Arabia. Saudi J. Biol. Sci. 2015, 22, 430–437. [Google Scholar] [CrossRef]
  28. Fabio, G.; Merlo, M.; Tosi, V. Silvicultural management in maintaining biodiversity and resistance of forests in Europe-the Mediterranean Region. J. Environ. Manag. 2003, 67, 67–76. [Google Scholar] [CrossRef]
  29. Peacock, J.M.; Ferguson, M.E.; Alhadrami, G.A.; McCann, I.R.; Al Hajoj, A.; Saleh, A.; Karnik, R. Conservation through utilization: A case study of the indigenous forage grasses of the Arabian Peninsula. J. Arid Environ. 2003, 54, 15–28. [Google Scholar] [CrossRef]
  30. Polley, H.W.; Johson, H.B.; Tischler, C.R. Woody invasion of grasslands: Evidence that CO2 enrichment indirectly promotes establishment of Prosopis Glandulosa. Plant. Ecol. 2003, 164, 85–94. [Google Scholar] [CrossRef]
  31. Na, Y.; Li, J.; Hoshino, B.; Bao, S.; Qin, F.; Myagmartseren, P. Effects of Different Grazing Systems on Aboveground Biomass and Plant Species Dominance in Typical Chinese and Mongolian Steppes. Sustainability 2018, 10, 4753. [Google Scholar] [CrossRef]
  32. Li, Y.; Zhao, X.; Chen, Y.; Luo, Y.; Wang, S. Effects of grazing exclusion on carbon sequestration and the associated vegetation and soil characteristics at a semi-arid desertified sandy site in Inner Mongolia, Northern China. Can. J. Soil Sci. 2012, 92, 807–819. [Google Scholar] [CrossRef]
  33. Zeng, H.; Wu, B.; Zhang, M.; Zhang, N.; Elnashar, A.; Zhu, L.; Zhu, W.; Wu, F.; Yan, N.; Liu, W. Dryland ecosystem dynamic change and its drivers in Mediterranean region. Curr. Opin. Environ. Sustain. 2021, 48, 59–67. [Google Scholar] [CrossRef]
  34. Ormazábal, C.S. Silvopastoral systems in arid and semiarid zones of Northern Chile. Agrofor. Syst. 1991, 14 Pt 3, 207–217. [Google Scholar] [CrossRef]
  35. Fuentes, N.; Pauchard, A.; Sánchez, P.; Esquivel, J.; Marticorena, A. A new comprehensive database of alien plant species in Chile based on herbarium records. Biol. Invasions 2013, 15, 847–858. [Google Scholar] [CrossRef]
  36. Collier, S.; Sater, W.F. A History of Chile 1802–2002; Cambridge University Press: Cambridge, UK, 2004; 454p. [Google Scholar]
  37. Squeo, F.A.; Loayza, A.P.; López, R.P.; Gutiérrez, J.A. Vegetation of Bosque Fray Jorge National Park and its surrounding matrix in the Coastal Desert of north-central Chile. J. Arid Environ. 2016, 126, 12–22. [Google Scholar] [CrossRef]
  38. Menestrey-Schwieger, D.A.; Mbidzo, M. Socio-historical and structural factors linked to land degradation and desertification in Namibia‒s former Herero ‘homelands’. J. Arid Environ. 2020, 178, 104151. [Google Scholar] [CrossRef]
  39. Montecinos, S.; Gutiérrez, J.R.; López-Cortés, F.; López, D. Climatic characteristics of the semi-arid Coquimbo Region in Chile. J. Arid Environ. 2016, 126, 7–11. [Google Scholar] [CrossRef]
  40. Verbist, K.; Robertson, A.W.; Cornelis, W.M.; Gabriels, D. Seasonal predictability of daily rainfall characteristics in central northern Chile for dry-land management. J. Appl. Meteorol. Climatol. 2010, 49, 1938–1955. [Google Scholar] [CrossRef][Green Version]
  41. Poveda, G.; Waylen, P.R.; Pulwarty, R.S. Annual and inter-annual variability of the present climate in northern South America and southern Mesoamerica. Paleogeogr. Paleoclimatol. Paleoecol. 2006, 234, 3–27. [Google Scholar] [CrossRef]
  42. Azócar, P.; Patón, D.; Osorio, R.; Le Floc’h, E. Efecto de la poda sobre la produción de forraje del Rumpiato (Bridgesia incisifolia, Bert ex Cambess). Av. Prod. Anim. 2001, 1–2, 97–106. [Google Scholar]
  43. Schulz, N.; Aceituno, P.; Richter, M. Phytogeographic divisions, climate change and plant dieback along the coastal desert of Northern Chile. Erdkunde 2011, 65, 169–187. [Google Scholar] [CrossRef]
  44. Soto, M.V.; Märker, M.; Arriagada, J.; Castro, C.P.; Rodolfi, G. Evaluación de la amenaza natural en ambiente semiárido, sustentada en la geomorfología y el modelamiento de índices topográficos. Salamanca, Región de Coquimbo, Chile. Investig. Geogr. 2010, 42, 19–36. [Google Scholar] [CrossRef][Green Version]
  45. Rojo, H. Efecto del Sistema y de la Época de Pastoreo sobre la Disponibilidad de Forraje del Incienso (Flourensia thurifera (Mol.) DC.); Memoria de Título Profesional de Ingeniero Agrónomo; Facultad de Ciencias Agrarias y Forestales, Universidad de Chile: Santiago, Chile, 1989. [Google Scholar]
  46. Díaz, J. Recursos Forrajeros y Comportamiento del Ganado Caprino en dos Localidades del Secano Mediterráneo Árido; Memoria de Título Profesional de Ingeniero Agrónomo; Facultad de Ciencias Agrarias y Forestales, Universidad de Chile: Santiago, Chile, 1988. [Google Scholar]
  47. Squeo, F.A.; Martínez, K.; Letelier, L.; Rentería, L.; Figueroa, M. Libro Rojo de la Flora Nativa y de los Sitios Prioritarios para su Conservación, Región de Coquimbo; Ediciones Universidad de La Serena: La Serena, Chile, 2008; 451p. [Google Scholar]
  48. Rojas, P.; González, M.; Benedetti, S.; Yates, P.; Sotomayor, A.; Dube, F. Silvopastoral Systems in Arid and Semiarid Zones of Chile. In Silvopastoral Systems in Southern South America; Peri, P.L., Dube, F., Varella, A., Eds.; Springer International Publishing: Cham, Switzerland, 2016; pp. 169–181. [Google Scholar]
  49. Patón, D.; Osorio, R.; Le Floc’ h, P.; Azócar, P.; Portilla, L. Analysis of a multivariate model for detecting goat overbrowsing in the arid zone of Northern Chile. Application to Bridgesia incisifolia (Bert ex Cambess) shrublands. J. Arid Environ. 1999, 43, 197–204. [Google Scholar] [CrossRef]
  50. Azor, P.J.; Monteagudo, L.V.; Luque, M.; Tejedor, M.T.; Rodero, E.; Sierra, I.; Herrera, M.; Rodero, A.; Arruga, M.V. Phylogenetic relationships between Spanish goat breeds. Anim. Genet. 2005, 36, 423–425. [Google Scholar] [CrossRef] [PubMed]
  51. Legendre, P.; Legendre, L. Numerical Ecology; Elsevier: Amsterdam, The Netherlands, 2012; 1006p. [Google Scholar]
  52. Sutherland, W.J. Ecological Census Techniques: A Handbook; Cambridge University Press: Cambridge, UK, 2006; 432p. [Google Scholar]
  53. Poissonet, P.S.; Daget, P.M.; Poissonet, J.A.; Long, G.A. Rapid point survey by bayonet blade. J. Range Manag. 1972, 25, 313. [Google Scholar] [CrossRef]
  54. Greig-Smith, P. Quantitative Plant Ecology; Academic Press: New York, NY, USA, 1983; 359p. [Google Scholar]
  55. Balzter, H.; Braun, P.; Köhler, W. Detection of Spatial Discontinuities in Vegetation Data by a Moving Window Algorithm. In From Data to Knowledge: Theoretical and Practice Aspects of Classification, Data Analysis and Knowledge Organization; Gaul, W., Pfeifer, D., Eds.; Springer: Berlin, Germany, 1995; pp. 243–252. [Google Scholar]
  56. Buyolo, T.; Patón, D.; Fernández, l.; Cabezas, J. Estimación de la biomasa de pastos mediterráneos mediante modelos de algoritmos genéticos sobre medidas de point-quadrat. In XLIV Reunión Científica de la SEEP. Pastos y Ganadería Extensiva; SEEP: Salamanca, Spain, 2004; pp. 105–109. [Google Scholar]
  57. Patón, D.; Bermejo, L.; Camacho, A.; De Nascimento, L.; Bethencourt, L.; Mata, J. A biomass prediction model for grasslands of Canary Islands. In Grassland Science in Europe. Sustainable Grassland Productivity; EGF: Badajoz, Spain, 2006; pp. 523–525. [Google Scholar]
  58. Magurran, A.E. Measuring Biological Diversity; Blackwell Publishing: Oxford, UK, 2013; 266p. [Google Scholar]
  59. Mac Nally, R. Multiple regression and inference in ecology and conservation biology: Further comments on identifying important predictor variables. Biodivers. Conserv. 2002, 11, 1397–1401. [Google Scholar] [CrossRef]
  60. Chevan, A.; Sutherland, M. Hierarchical Partitioning. Am. Stat. 1991, 45, 90–96. [Google Scholar]
  61. Jobson, J.D. Applied Multivariate Data Analysis. Volume I: Regression and Experimental Design; Springer: Berlin, Germany, 1991; 544p. [Google Scholar]
  62. Hatt, B.E.; Fletcher, T.D.; Walsh, C.J.; Taylor, S.L. The influence of urban density and drainage infrastructure on the concentrations and loads of pollutants in small streams. Environ. Manag. 2004, 34, 112–124. [Google Scholar] [CrossRef]
  63. Walsh, C.J.; Papas, P.J.; Crowther, D.; Sim, P.T.; Yoo, J. Stormwater drainage pipes as a threat to a stream-dwelling amphipod of conservation significance, Austrogammarus australis, in South-Eastern Australia. Biodivers. Conserv. 2004, 13, 781–793. [Google Scholar] [CrossRef]
  64. Olea, P.; Mateo-Tomás, P.; De Frutos, A. Estimating and modeling bias of the Hierarchical Partitioning public-domain software: Implications in environmental management and conservation. PLoS ONE 2010, 5, 1–7. [Google Scholar] [CrossRef]
  65. Mac Nally, R. Regression and model building in conservation biology, biogeography and ecology: The distinction between and reconciliation of predictive and explanatory models. Biodivers. Conserv. 2000, 9, 655–671. [Google Scholar] [CrossRef]
  66. Oliver, I.; Mac Nally, R.; York, A. Identifying performance indicators of the effects of forest management on ground-active arthropod biodiversity using hierarchical partitioning and partial canonical correspondence analysis. For. Ecol. Manag. 2000, 139, 21–40. [Google Scholar] [CrossRef]
  67. Logan, M. Biostatistical Design and Analysis Using R; Wiley-Blackwell: Oxford, UK, 2010; 546p. [Google Scholar]
  68. R Core Team. R: A Language and Environment for Statistical Computing; R Foundation for Statistical Computing: Vienna, Austria, 2020. [Google Scholar]
  69. Holzapfel, C.; Tielbörger, K.; Parag, H.A.; Kigel, J.; Sternberg, M. Annual plant-shrub interactions along an aridity gradient. Basic Appl. Ecol. 2006, 7, 268–279. [Google Scholar] [CrossRef]
  70. Patón, D. Elaboration of a multivariate model for the determination of the metabolizable energy of Mediterranean bushes based on chemical parameters. J. Arid Environ. 2003, 53, 271–280. [Google Scholar] [CrossRef]
  71. Patón, D.; Salvado, A.; Venegas, F. Relationships between metabolizable energy and chemical parameters from forest fruits using a parallel genetic algorithm worldwide model. In New Research in Forest Ecology; Scaggs, A.K., Ed.; Nova Science Publishers: New York, NY, USA, 2007; pp. 129–140. [Google Scholar]
  72. Hohnwald, S.; Trautwein, J.; Camarão, A.P.; Wollny, C.B. Relative palatability and growth performance of capoeira species as supplementary forages in the NE-Amazon. Agric. Ecosyst. Environ. 2016, 218, 107–115. [Google Scholar] [CrossRef]
  73. Montserrat, P.; Fillat, F. The systems of grassland management in Spain. In Managed Grasslands; Breymeyer, A., Ed.; Elsevier Science Publishers: Amsterdam, The Netherlands, 1990; pp. 37–70. [Google Scholar]
  74. Malo, J.E.; Suarez, F. The dispersal of a dry-fruited shrub by red deer in a Mediterranean ecosystem. Ecography 1998, 21, 204–211. [Google Scholar] [CrossRef]
  75. Van Rheede, K.; Van Rhooyen, M.W. Dispersal Biology of Desert Plants; Springer: Berlin/Heidelberg, Germany, 1999. [Google Scholar]
  76. Squeo, F.A.; Olivares, N.; Olivares, S.; Pollastri, A.; Aguirre, E.; Aravena, R.; Jorquera, C.; Ehleringer, J.R. Functional groups in North Chilean desert shrubs species based on the water sources used. Gayana Bot. 1999, 56, 1–15. [Google Scholar]
  77. De Soyza, A.G.; Van Zee, J.W.; Whitford, W.G.; Neale, A.; Tallent-Hallsel, N.; Herrick, J.E.; Havstad, K.M. Indicators of Great Basin rangeland health. J. Arid Environ. 2000, 45, 289–304. [Google Scholar] [CrossRef]
  78. Tilman, D.; Wedin, D.; Knops, J. Productivity and sustainability influenced by biodiversity in grassland ecosystems. Nature 1996, 379, 718–720. [Google Scholar] [CrossRef]
  79. Tilman, D.; Knops, J.; Wedin, D.; Reich, P.; Ritchie, M.; Siemann, E. The influence of functional diversity and composition on ecosystem processes. Science 1997, 277, 1300–1302. [Google Scholar] [CrossRef]
  80. Tilman, D.; Reich, P.B.; Knops, J.M.H. Biodiversity and ecosystem stability in a decade-long grassland experiment. Nature 2006, 441, 629–631. [Google Scholar] [CrossRef] [PubMed]
  81. Cepeda, J. Geoecología de los Andes Desérticos. La Alta Montaña del Valle de Elqui; Ediciones Universidad de la Serena: La Serena, Chile, 2006; 551p. [Google Scholar]
  82. Pucheta, E.; Vendramini, F.; Cabido, M.; Díaz, S. Estructura y funcionamiento de un pastizal de montaña bajo pastoreo y su respuesta luego de la exclusión. Rev. Fac. Agron. La Plata 1998, 103, 77–92. [Google Scholar]
  83. Costello, D.A.; Lunt, I.A.; Williams, J.E. Effects on invasion by the indigenous shrub Acacia sophorae on plant composition on coastal grasslands in south-eastern Australia. Biol. Conserv. 2000, 96, 113–121. [Google Scholar] [CrossRef]
  84. Homewood, K.M. Policy, environment and development in Africa rangelands. Environ. Sci. Policy 2004, 7, 125–143. [Google Scholar] [CrossRef]
  85. Allen-Diaz, B.; Jackson, R.D. Grazing effects on spring ecosystem vegetation of California‒s hardwood rangelands. J. Range Manag. 2000, 53, 215–220. [Google Scholar] [CrossRef]
  86. Patón, D.; Muñoz, A.; Tovar, J. Impacto medioambiental del vacuno Retinto sobre pastizales mediterráneos. In Proceedings of the I Congreso Internacional de Veterinaria y Medioambiente, Cáceres, Spain, 24–26 April 1997; pp. 482–489. [Google Scholar]
  87. Patón, D.; Muriel, J.; Nuñez, J. Determination of population diversity using Von Bertalanffy‒s regression model. Application to cumulative sampling sizes of grazing grasslands by Retinto cattle in Extremadura region (SW Spain). In Proceedings of the First International Conference on Applied Science and the Environment (ASE 98), Cádiz, Spain, 5–8 October 1998; pp. 23–24. [Google Scholar]
  88. Patón, D.; Muriel, J.; Tovar, J. Cambios en la vegetación después de la exclusión de áreas pastoreadas por Retinto en Extremadura. In Actas del Congreso Europeo de Agricultura Sostenible en Ambientes Mediterráneos, Proceedings of the Congreso Europeo de Agricultura Sostenible en Ambientes Mediterráneos, Badajoz-Mérida, Spain, 22–25 March 1999; Consejería de Agricultura y Comercio, Junta de Extremadura: Merida, Spain, 1999; pp. 152–156. [Google Scholar]
  89. Volesky, J.D.; De Achaval, F.; Ellis, W.C.; Kothmann, M.M.; Horn, F.P.; Phillips, W.A.; Coleman, S.W. A comparison of frontal, continuous and rotational grazing systems. J. Range Manag. 1994, 47, 210–214. [Google Scholar] [CrossRef][Green Version]
  90. Duru, M.; Hubert, B. Management of grazing systems: From decision and biophysical models to principles for action. In Sustainable Agriculture; Litchfouse, E., Navarrete, M., Debaeke, P., Véronique, S., Alberola, C., Eds.; Springer: Amsterdam, The Netherlands, 2009; pp. 823–842. [Google Scholar]
  91. Whitson, R.E.; Heitschmidt, R.K.; Kothmann, M.M.; Lundgren, G.K. The impact of grazing systems on the magnitude and stability of ranch income in the rolling plains of Texas. J. Range Manag. 1982, 35, 526–532. [Google Scholar] [CrossRef]
  92. Alados, C.L.; El Aich, A.; Papanastasis, V.P.; Ozbek, H.; Navarro, T.; Freitas, H.; Mihalis, V.; Larrosi, D.; Cabezudo, B. Change in plant spatial patterns and diversity along the successional gradient of Mediterranean grazing ecosystems. Ecol. Model. 2004, 180, 523–535. [Google Scholar] [CrossRef]
  93. Alhamad, M.N. Ecological and species diversity of arid Mediterranean grazing land vegetation. J. Arid Environ. 2006, 66, 698–715. [Google Scholar] [CrossRef]
  94. Bai, Y.; Abouguendia, Z.; Recmann, R.E. Relationship between plant species diversity and grassland condition. J. Range Manag. 2001, 54, 177–183. [Google Scholar] [CrossRef]
  95. Adler, P.B.; Morales, J.M. Influence of environmental factors and sheep grazing on an Andean grasslands. J. Range Manag. 1999, 52, 471–480. [Google Scholar] [CrossRef]
  96. Altieri, M.A. Agroecology: The science of natural resource management for poor farmers in marginal environments. Agric. Ecosyst. Environ. 2002, 1971, 1–24. [Google Scholar] [CrossRef]
  97. Aguilar, C.; Vera, R.; Allende, R.; Toro, P. Supplementation, stocking rates and economic performance of lamb production systems in the Mediterranean-type region of Chile. Small Rumin. Res. 2006, 66, 108–115. [Google Scholar] [CrossRef]
  98. Gutiérrez-Peña, R.; Mena, Y.; Batalla, I.; Mancilla-Leytón, J.M. Carbon footprint of dairy goat production systems: A comparison of three contrasting grazing levels in the Sierra de Grazalema Natural Park (Southern Spain). J. Environ. Manag. 2019, 232, 993–998. [Google Scholar] [CrossRef] [PubMed]
Figure 1. Location of the exclusions to grazing at Las Cardas Range Station (CEALC) (IV Region of Chile). The river and the road limit the three independent zones where the exclusions (AG) described in detail in the section of Supplementary Materials are located.
Figure 1. Location of the exclusions to grazing at Las Cardas Range Station (CEALC) (IV Region of Chile). The river and the road limit the three independent zones where the exclusions (AG) described in detail in the section of Supplementary Materials are located.
Ecologies 02 00020 g001
Figure 2. (A) Rainfall at Las Cardas Range Station (CEALC) from 1977 to 2005. Red dotted line (slope 1.08, not significantly difference from 1.00) is the linear regression of rainfall vs. year. (B) Average monthly rainfall in the same period.
Figure 2. (A) Rainfall at Las Cardas Range Station (CEALC) from 1977 to 2005. Red dotted line (slope 1.08, not significantly difference from 1.00) is the linear regression of rainfall vs. year. (B) Average monthly rainfall in the same period.
Ecologies 02 00020 g002
Figure 3. Annual changes in biomass of allochthonous species at Las Cardas Range Station (CEALC) under continuous (C), deferred (D) and exclusion (E) grazing treatments.
Figure 3. Annual changes in biomass of allochthonous species at Las Cardas Range Station (CEALC) under continuous (C), deferred (D) and exclusion (E) grazing treatments.
Ecologies 02 00020 g003
Figure 4. Annual changes in biomass of native of Chile species sampled at Las Cardas Range Station (CEALC) under continuous (C), deferred (D) and exclusion (E) grazing treatments.
Figure 4. Annual changes in biomass of native of Chile species sampled at Las Cardas Range Station (CEALC) under continuous (C), deferred (D) and exclusion (E) grazing treatments.
Ecologies 02 00020 g004
Figure 5. Annual changes in biomass of endemic species of IV Region of Chile sampled at Las Cardas Range Station (CEALC) under continuous (C), deferred (D) and exclusion (E) grazing treatments.
Figure 5. Annual changes in biomass of endemic species of IV Region of Chile sampled at Las Cardas Range Station (CEALC) under continuous (C), deferred (D) and exclusion (E) grazing treatments.
Ecologies 02 00020 g005
Figure 6. Changes in richness of species at Las Cardas Range Station (CEALC) in continuous (C), deferred (D) and exclusion (E) grazing treatments.
Figure 6. Changes in richness of species at Las Cardas Range Station (CEALC) in continuous (C), deferred (D) and exclusion (E) grazing treatments.
Ecologies 02 00020 g006
Figure 7. Changes in Shannon entropy at Las Cardas Range Station (CEALC) in continuous (C), deferred (D) and exclusion (E) grazing treatments.
Figure 7. Changes in Shannon entropy at Las Cardas Range Station (CEALC) in continuous (C), deferred (D) and exclusion (E) grazing treatments.
Ecologies 02 00020 g007
Figure 8. Changes in Berger–Parker dominance at Las Cardas Range Station (CEALC) in continuous (C), deferred (D) and exclusion (E) grazing treatments.
Figure 8. Changes in Berger–Parker dominance at Las Cardas Range Station (CEALC) in continuous (C), deferred (D) and exclusion (E) grazing treatments.
Ecologies 02 00020 g008
Figure 9. Box plots (means, standard deviations and ranges) of Berger–Parker dominance (A), biomass (B), species richness (C) and Shannon diversity (D) between continuous, deferred and excluded area grazing. Letters indicate groups showing significant differences according to Dunn’s non-parametric test of variance with post-hoc comparison.
Figure 9. Box plots (means, standard deviations and ranges) of Berger–Parker dominance (A), biomass (B), species richness (C) and Shannon diversity (D) between continuous, deferred and excluded area grazing. Letters indicate groups showing significant differences according to Dunn’s non-parametric test of variance with post-hoc comparison.
Ecologies 02 00020 g009
Table 1. Sampling effort (number of point-quadrats) across seasons and years in Las Cardas Range Station (CEALC) (Coquimbo, Chile).
Table 1. Sampling effort (number of point-quadrats) across seasons and years in Las Cardas Range Station (CEALC) (Coquimbo, Chile).
Season19831984198519861987198819912002
Spring11333324550540
Autumn123124002900
Winter1133333356560115
Table 2. Percentage of total explained variance determined by Hierarchical Partition procedure. Z-scores of randomization test of hierarchical partitioning are shown between brackets. Asterisks represent the significance based on upper 0.95 confidence limit (Z >= 1.65). ns: non-significant differences.
Table 2. Percentage of total explained variance determined by Hierarchical Partition procedure. Z-scores of randomization test of hierarchical partitioning are shown between brackets. Asterisks represent the significance based on upper 0.95 confidence limit (Z >= 1.65). ns: non-significant differences.
ParameterType of YearSeasonGrazing System
Allochthonous species (Kg ha−1)19.89 (5.83 *)73.07 (10.27 *)7.05 (0.07 ns)
Native species (Kg ha−1)32.17 (18.99 *)54.57 (24.29 *)13.25 (7.15 *)
Endemic species (Kg ha−1)35.53 (13.16 *)31.94 (8.60 *)32.54 (7.85 *)
Richness (S)52.87 (67.91 *)44.62 (22.64 *)2.51 (0.53 ns)
Dominance (d)22.04 (9.91 *)70.42 (25.31 *)7.54 (1.92 *)
Diversity (H′)42.92 (31.17 *)54.49 (22.80 *)2.59 (0.19 ns)
Table 3. Spearman’s correlations between the biomass of three groups of plants: allochthonous, native and endemic. *: p-value < 0.05; **: p-value < 0.01; ***: p-value < 0.001. ns: non-significant differences.
Table 3. Spearman’s correlations between the biomass of three groups of plants: allochthonous, native and endemic. *: p-value < 0.05; **: p-value < 0.01; ***: p-value < 0.001. ns: non-significant differences.
FactorAllochthonous−NativeAllochthonous−EndemicNative−Endemic
Continuous grazing0.085 ns0.291 ***0.148 ns
Deferred grazing0.212 **0.480 ***0.148 ns
Exclusion to grazing0.256 **0.255 **0.292 **
Wet years0.046 ns0.179 **0.088 ns
Dry years0.533 ***0.494 ***0.372 ***
Spring−0.022 ns0.531 ***−0.039 ns
Fall0.089 ns0.674 ***0.022 ns
Winter0.232 ***0.137 *0.279 ***
Publisher’s Note: MDPI stays neutral with regard to jurisdictional claims in published maps and institutional affiliations.

Share and Cite

MDPI and ACS Style

Patón, D. Climatic and Biological Factors Related with Goat Grazing Management in the Arid Grassland of the Coquimbo Region (Northern Chile). Ecologies 2021, 2, 345-365. https://doi.org/10.3390/ecologies2040020

AMA Style

Patón D. Climatic and Biological Factors Related with Goat Grazing Management in the Arid Grassland of the Coquimbo Region (Northern Chile). Ecologies. 2021; 2(4):345-365. https://doi.org/10.3390/ecologies2040020

Chicago/Turabian Style

Patón, Daniel. 2021. "Climatic and Biological Factors Related with Goat Grazing Management in the Arid Grassland of the Coquimbo Region (Northern Chile)" Ecologies 2, no. 4: 345-365. https://doi.org/10.3390/ecologies2040020

APA Style

Patón, D. (2021). Climatic and Biological Factors Related with Goat Grazing Management in the Arid Grassland of the Coquimbo Region (Northern Chile). Ecologies, 2(4), 345-365. https://doi.org/10.3390/ecologies2040020

Article Metrics

Back to TopTop