Next Article in Journal
Perioperative Complications in the Primary Vaginal Mesh Surgery for Pelvic Organ Prolapse
Previous Article in Journal
Data-Leakage-Aware Preoperative Prediction of Postoperative Complications from Structured Data and Preoperative Clinical Notes
 
 
Font Type:
Arial Georgia Verdana
Font Size:
Aa Aa Aa
Line Spacing:
Column Width:
Background:
Systematic Review

Negative Pressure Wound Therapy for Surgical Site Infection Prevention Following Pancreaticoduodenectomy: A Systematic Review and Meta-Analysis

1
Department of Surgery, College of Medicine, Majmaah University, Al-Majmaah 11952, Saudi Arabia
2
Department of Surgery, Prince Sultan Military Medical City, Riyadh 11159, Saudi Arabia
3
Department of Surgery, College of Medicine, Qassim University, Buraidah 51452, Saudi Arabia
4
Iman General Hospital, Riyadh 12684, Saudi Arabia
5
Department of Surgery, King Saud Medical City, Riyadh 11196, Saudi Arabia
6
Department of Surgery, Aseer Central Hospital, Abha 62523, Saudi Arabia
*
Author to whom correspondence should be addressed.
Surgeries 2025, 6(4), 88; https://doi.org/10.3390/surgeries6040088
Submission received: 30 August 2025 / Revised: 30 September 2025 / Accepted: 6 October 2025 / Published: 10 October 2025

Abstract

Background/Objectives: Surgical site infections (SSIs) following pancreaticoduodenectomy contribute to significant morbidity and healthcare costs. Negative pressure wound therapy (NPWT) has emerged as a potential preventive intervention; however, evidence regarding its efficacy in pancreatic surgery remains limited. This systematic review and meta-analysis aimed to evaluate the efficacy of NPWT compared to conventional dressings in preventing SSI following pancreaticoduodenectomy. Methods: PubMed, Scopus, BASE, Cochrane CENTRAL, and ClinicalTrials.gov were systematically searched from their inception to 2 April 2025. Randomized clinical trials and observational studies comparing NPWT with conventional dressings in patients undergoing pancreaticoduodenectomy were included. Two independent reviewers extracted the data and assessed the methodological quality. Random-effects meta-analysis was performed to calculate the pooled relative risks (RRs) with 95% CIs. The primary outcome was the incidence of SSI. The secondary outcomes included pancreatic fistula, seroma formation, incisional hernia, and readmission rates. Results: Nine studies (three randomized clinical trials and six observational studies) comprising 1247 patients were included. NPWT was associated with a significant reduction in SSI compared with conventional dressings (RR, 0.61; 95% CI, 0.41–0.90). Subgroup analysis revealed varying effects by study design: retrospective cohort studies showed a nonsignificant trend toward SSI reduction (RR, 0.53; 95% CI, 0.19–1.48), randomized clinical trials demonstrated a nonsignificant trend favoring NPWT (RR, 0.67; 95% CI, 0.37–1.23), and the single prospective cohort study showed significant SSI reduction (RR, 0.48; 95% CI, 0.28–0.84). No significant differences were observed in pancreatic fistula rates between the NPWT and conventional dressing groups. Prophylactic NPWT application, longer duration (≥5 days), and higher negative pressure settings (−125 mmHg) appeared more effective than therapeutic application, shorter duration, and lower-pressure settings, respectively. Conclusions: This systematic review and meta-analysis suggests that NPWT is associated with a reduced SSI risk following pancreaticoduodenectomy. The greatest benefit may be achieved with prophylactic application in high-risk patients, longer therapy duration, and higher negative pressure settings. These findings support the consideration of NPWT as part of SSI prevention strategies in pancreatic surgery, particularly for patients with identified risk factors.

1. Introduction

Surgical site infections (SSIs) following pancreaticoduodenectomy remain a significant clinical challenge, with reported incidence ranging from 11% to 32%, substantially higher than rates observed in other clean-contaminated procedures [1]. These infections contribute to increased morbidity, prolonged hospitalization, elevated healthcare costs, and diminished quality of life [2,3].
The heightened SSI risk in pancreaticoduodenectomy stems from multiple factors, including extended operative times, complex digestive tract reconstruction, potential contamination from biliary and pancreatic secretions, and frequent preoperative biliary drainage [4]. Additionally, patients often present with risk factors, including malnutrition, jaundice, and immunosuppression from neoadjuvant therapy [5,6].
Negative pressure wound therapy (NPWT) has emerged as a potential intervention for SSI prevention. This technology applies controlled negative pressure to the wound surface, which may reduce edema, enhance tissue perfusion, promote granulation tissue formation, and decrease bacterial colonization. While NPWT has demonstrated efficacy in other surgical specialties, its role in pancreaticoduodenectomy requires further investigation [2,7,8].
Despite growing evidence supporting NPWT in pancreatic surgery, critical implementation bottlenecks remain. Device heterogeneity across multiple NPWT systems operating at varying pressure settings (−100 to −125 mmHg) prevents standardized protocol development and direct efficacy comparisons. Validated patient selection criteria are lacking, though risk factors including preoperative biliary drainage, neoadjuvant therapy, elevated BMI, and hypoalbuminemia have been identified [5,6]. International consensus guidelines from professional societies such as the International Study Group of Pancreatic Surgery could standardize device selection, application timing, duration, and patient selection through systematic evidence review and expert consensus methodology. These research priorities reflect the field’s evolution from efficacy questions to implementation science challenges determining whether NPWT becomes standard perioperative care or remains a specialized intervention for selected high-risk patients.
Previous systematic reviews have examined NPWT in mixed surgical populations [7,8]. Lenet et al. conducted a meta-analysis in 2022 focusing on prophylactic NPWT in pancreatic resection, identifying three randomized clinical trials with 236 patients [9]. Their analysis suggested a potential benefit (relative risk [RR], 0.70; 95% CI, 0.50–0.99), though with limited statistical power. Similarly, Zhang et al. briefly summarized four studies examining NPWT in pancreaticoduodenectomy, suggesting potential benefits but acknowledging significant limitations in the available evidence [7].
Our systematic review and meta-analysis expand on previous work by including nine studies with 1247 patients. We analyzed both randomized and observational studies, providing a comprehensive assessment of real-world effectiveness. We conducted detailed subgroup analyses based on NPWT application timing, duration, and pressure settings while examining the relationship between patient risk factors and NPWT efficacy. Given the substantial morbidity associated with SSI following pancreaticoduodenectomy and the potential benefits of NPWT, this comprehensive analysis of the available evidence aims to guide clinical decision-making regarding NPWT implementation for SSI prevention in pancreatic surgery.

2. Methods

2.1. Search Strategy and Study Selection

Following PRISMA guidelines, a comprehensive literature search was conducted on 2 April 2025, across multiple electronic databases, including PubMed, Scopus, BASE, Cochrane CENTRAL, and ClinicalTrials.gov. Search terms combined concepts related to negative pressure wound therapy (e.g., “negative pressure wound therapy,” “NPWT,” “vacuum assisted closure”), pancreaticoduodenectomy (e.g., “pancreaticoduodenectomy,” “Whipple,” “pancreatic surgery”), and surgical site infections (e.g., “surgical site infection,” “SSI,” “wound complication”). The complete search strategy for each database is presented in Table S1. The protocol was not registered.
Two independent reviewers (initials blinded for review) screened the titles and abstracts of the identified records. The full texts of potentially eligible studies were then assessed against predetermined inclusion and exclusion criteria (Table S2). Disagreements were resolved through discussion with a third reviewer. The study selection process followed the Preferred Reporting Items for Systematic Reviews and Meta-Analyses (PRISMA) guidelines.
Studies were included if they (1) enrolled patients undergoing pancreaticoduodenectomy or other pancreatic resections with subgroup analysis for pancreaticoduodenectomy; (2) compared negative-pressure wound therapy with conventional dressings; (3) reported surgical site infection rates or related complications; and (4) employed randomized controlled trial, cohort, or case–control study designs. Studies were excluded if they (1) did not focus on pancreaticoduodenectomy patients; (2) did not examine NPWT as the primary intervention; (3) used inappropriate study designs (case reports, editorials, and animal studies); (4) provided insufficient methodological details; (5) contained duplicate data; or (6) were secondary research publications.

2.2. Data Extraction and Quality Assessment

Data extraction was performed independently by two reviewers using a standardized form. The following information was collected: study characteristics (author, year, country, design), patient demographics (sample size, age, sex, comorbidities), intervention details (NPWT device, pressure settings, duration), comparison group characteristics, outcomes (surgical site infections, pancreatic fistula, seroma, incisional hernia, and readmission rates), and risk factors for complications.
Surgical site infections were classified according to the Centers for Disease Control and Prevention criteria as superficial, deep, or organ/space infections when such a distinction was provided in the original studies. Pancreatic fistula was defined according to the International Study Group of Pancreatic Surgery (ISGPS) criteria when reported.
The methodological quality of the included randomized controlled trials was assessed using the Cochrane Risk of Bias Tool 2.0, which evaluates bias across five domains: randomization process, deviations from intended interventions, missing outcome data, measurement of outcomes, and selection of reported results. Each domain was rated as “low risk,” “some concerns,” or “high risk” of bias, with an overall risk of bias judgment derived from domain-level assessments.
For observational studies, the Newcastle-Ottawa Scale (NOS) was employed, which evaluates studies based on the selection of study groups, comparability of groups, and ascertainment of exposure or outcome. The NOS assigns up to 9 stars, with studies receiving 7–9 stars considered high quality, 4–6 stars moderate quality, and 0–3 stars low quality.
The overall quality of evidence for each outcome was evaluated using the Grading of Recommendations, Assessment, Development and Evaluation (GRADE) approach, which considers the risk of bias, inconsistency, indirectness, imprecision, and publication bias. Evidence quality was categorized as high, moderate, low, or very low.

2.3. Data Synthesis and Statistical Analysis

A random-effects meta-analysis was performed using the Mantel-Haenszel method to calculate pooled relative risks (RR) with 95% confidence intervals (CI) for dichotomous outcomes. The primary outcome was the incidence of surgical site infections. The secondary outcomes included pancreatic fistula, seroma formation, incisional hernia, and readmission rates. Heterogeneity was assessed using the I2 statistic, with values of 25%, 50%, and 75% considered low, moderate, and high heterogeneity, respectively. The τ2 statistic was calculated to estimate the between-study variance. Potential sources of heterogeneity were explored through subgroup analyses based on the study design (RCT vs. observational), NPWT application timing (prophylactic vs. therapeutic), NPWT duration (≥5 days vs. <5 days), and NPWT pressure settings (−125 mmHg vs. −100 mmHg). Publication bias was assessed through visual inspection of funnel plots and Egger’s test, with p < 0.05 indicating significant publication bias. Sensitivity analyses were conducted by sequentially excluding individual studies to evaluate their influence on the pooled effect estimate. All statistical analyses were performed using Review Manager (RevMan) version 5.4 (The Cochrane Collaboration, Copenhagen, Denmark) and R version 4.1.2 (R Foundation for Statistical Computing, Vienna, Austria) with the “meta” package. Statistical significance was set at p < 0.05, and all tests were two-sided.

3. Results

3.1. Study Selection and Characteristics

In this systematic review, we identified 81 records through database searches, with 19 from PubMed, 27 from Scopus, 28 from BASE, 5 from Cochrane CENTRAL, and 2 from ClinicalTrials.gov. After removing 58 duplicates, 23 unique records remained for full-text assessment. Following eligibility screening, 14 articles were excluded due to wrong population (n = 5), wrong intervention (n = 3), wrong study design (n = 3), insufficient information (n = 1), secondary research (n = 1), or methodological concerns (n = 1). The final analysis included nine studies: three randomized controlled trials and six observational studies. The study selection process is illustrated in Figure 1, with complete search strategies presented in Supplementary Table S1 and detailed inclusion/exclusion criteria in Supplementary Table S2.
The included studies comprised three randomized controlled trials (RCTs) and six observational studies published between 2013 and 2023 (Table 1). The total sample size across all studies was 1247 patients, with individual study populations ranging from 40 to 436 participants. Seven studies exclusively examined pancreaticoduodenectomy, while two included mixed pancreatic resections. Andrianello et al. included 91% pancreaticoduodenectomy (42/46 NPWT, 45/49 control) and 9% total pancreatectomy (4/46 NPWT, 4/49 control). Kuncewitch et al. reported 72% pancreaticoduodenectomy in the NPWT group and 65% in controls, with the remaining patients undergoing distal, subtotal, or total pancreatectomy.
NPWT devices varied substantially across studies. Three studies used PICO systems (Andrianello, Lawrence, O’Neill), two used Prevena or PREVENA systems at 125 mmHg (Greene, Javed), one used polyurethane foam at 125 mmHg (Shen), one used iVAC (Burkhart), and two did not specify the device (Gupta, Kuncewitch). Treatment duration ranged from 4 to 10 days. Industry funding was disclosed in two studies: Andrianello (Smith & Nephew provided dressing kits) and Javed (KCI/Acelity grant #125164). Co-intervention protocols varied considerably, with some studies implementing comprehensive SSI prevention bundles while others did not specify additional interventions. This heterogeneity in devices, protocols, and reporting represents a significant limitation affecting result generalizability. Detailed study protocols and co-interventions are presented in Supplementary Table S3.
Andrianello et al. conducted a prospective study in Italy with 95 patients undergoing major pancreatic resections, using the PICO portable NPWT device [10]. Burkhart et al. retrospectively analyzed 436 patients with pancreaticoduodenectomy in the USA using iVAC therapy [5]. Greene et al. performed an RCT in Canada with 175 high-risk pancreaticoduodenectomy patients using the Prevena Incision Management System [2]. Gupta et al. studied 61 Whipple procedure patients in the USA with NPWT applied for 7–10 days [4]. Javed et al. conducted an RCT with 123 high-risk pancreaticoduodenectomy patients using PREVENA Peel & Place Dressing [11]. Kuncewitch et al. included 73 patients who underwent major pancreatectomy in their analysis [12]. Lawrence et al. compared 300 pancreaticoduodenectomy patients before and after implementation of a bundle that included the PICO System NPWT [13]. O’Neill et al. studied 40 patients, including 18 pancreatic resections using PICO NPWT [14]. Shen et al. included a subset of pancreatic resections in their study of 265 patients using polyurethane foam NPWT at 125 mmHg negative pressure [1].

3.2. Patient Demographics and Baseline Characteristics

Patient demographics were inconsistently reported across studies (Table 2). Mean age ranged from 60.8 to 66 years where specified, with O’Neill reporting 60.8 ± 10.3 years, Gupta reporting 61.1 years in NPWT versus 64.1 years in controls, Kuncewitch reporting an average of 65 years (range 35–85) for both groups, and Greene reporting 66 years in NPWT versus 65 years in controls. Male predominance was observed in studies reporting gender distribution, with 55% overall in Kuncewitch, 57.5% in O’Neill, and 61% in both groups in Greene.
Three studies specifically targeted high-risk populations. Andrianello et al. defined high-risk criteria as BMI ≥ 30 kg/m2, diabetes, neoadjuvant therapy, ASA score ≥ 3, Charlson index ≥ 1, surgery > 360 min, and blood loss > 1 L. Greene et al. and Javed et al. enrolled patients with high rates of preoperative biliary drainage (79–82% in NPWT groups). Greene reported significantly higher smoking rates in the control group (54% vs. 34%, p = 0.005) and higher biliary drainage rates in the NPWT group (79% vs. 53%, p = 0.006). Javed found balanced biliary drainage rates between groups (82.3% NPWT vs. 83.6% control, p = 0.84). Lawrence et al. found that preoperative biliary drainage was more common in patients who developed SSI (76% vs. 41%, p < 0.001). Several studies noted balanced baseline characteristics between groups, while Burkhart, Javed, Lawrence, and Shen did not provide sufficient demographic detail. Complete demographic details are presented in Supplementary Table S4.

3.3. Procedural Details

Seven studies exclusively examined pancreaticoduodenectomy procedures (Table 3). Operative details were inconsistently reported. Gupta found similar operative times between NPWT and control groups (504 vs. 461 min, p = 0.14) and blood loss (510 vs. 529 mL, p = 0.84). Lawrence reported longer operative times (214–238 min) and greater blood loss (250–300 mL) in patients who developed SSI compared to those without SSI (both p < 0.05). Andrianello classified procedures with operative time > 360 min or blood loss > 1 L as high-risk. Kuncewitch reported no significant differences in operative time or blood loss between groups. O’Neill reported a mean operative time of 2.83 h overall.
Incision type was specified in four studies. Andrianello, Kuncewitch, and Shen reported midline laparotomy incisions. Greene described laparotomy wounds. O’Neill reported 82.5% midline incisions and 17.5% subcostal incisions. Malignant pathology predominated where reported. Greene found PDAC in 56% of NPWT versus 48% of controls, and cholangiocarcinoma in 24% versus 13%. Javed reported PDAC in 78% overall (49 NPWT, 47 standard). Kuncewitch found pancreatic adenocarcinoma in 51% overall. Lawrence reported PDAC in 60%, ampullary/duodenal adenocarcinoma in 10%, IPMN in 10%, and pancreatic NET in 5%. No studies provided details on reconstruction methods. Complete procedural details are presented in Supplementary Table S3.

3.4. Primary Outcome: Surgical Site Infections

Nine studies (n = 1468) evaluated this outcome with mixed results: four studies showed significant benefit, while five showed no difference (Table 4). Studies demonstrating significant SSI reduction with NPWT included: Gupta et al. [4] reported SSI rates of 12% in the NPWT group versus 41% in controls (p = 0.01). Javed et al. [11] demonstrated SSI rates of 9.7% versus 31.1% (p = 0.003). Lawrence et al. [13] found SSI rates of 11% versus 22% (p = 0.012) after implementing a bundle that included NPWT. Burkhart et al. [5] reported overall decreased SSI with iVAC (OR 0.45, p < 0.009), with benefit most pronounced in high-risk patients: Risk 0 patients showed 4.0% vs. 16.5% (p = 0.024); Risk 1 patients showed 16.3% vs. 20.8% (p = 0.516); Risk 2 patients showed 19.1% vs. 49.0% (p = 0.018).
Studies showing no significant difference in SSI rates included: Greene et al. [2] (13% vs. 16%, p = 0.64), Andrianello et al. [10] (10.9% vs. 12.2%, p = 1.000), Kuncewitch et al. [12] (22% vs. 22%, p > 0.99), O’Neill et al. [14] (22.2% vs. 33.3% for pancreatic subset, p > 0.05), and Shen et al. [1] (15.9% vs. 15.8% overall, p > 0.99).
For superficial SSI specifically, five studies evaluated this outcome with mixed results. Javed et al. [11] showed significant benefit with 6.5% superficial SSI in NPWT versus 27.9% in controls (p = 0.002). Gupta et al. [4] reported no superficial SSI in the NPWT group versus 5.6% in controls. Greene et al. [2] classified SSI according to CDC definition but did not report separate rates. Kuncewitch et al. [12] found 14% vs. 16% (p > 0.99). O’Neill et al. [14] reported 0% vs. 0% for the pancreatic subset. Javed had the lowest risk of bias among these studies.
Deep SSI rates were similar between groups across studies. Gupta [4] reported 1 deep and 2 mixed infections in NPWT versus 9 deep, 4 mixed, and 2 superficial in controls. Javed et al. [11] found 3.2% vs. 3.3% (p = 0.99). Kuncewitch et al. [12] reported 8% vs. 5% (p = 0.67). Greene et al. [2] classified according to CDC definition. O’Neill [14] noted all pancreatic SSIs were organ space infections. Shen [1] and Lawrence [13] did not separate deep SSI from total SSI.

3.5. Pancreatic Fistula

Five studies (n = 417) evaluated pancreatic fistula as an outcome and found no significant overall difference between NPWT and conventional dressing groups. However, individual study results varied considerably. Andrianello et al. [10] reported a significant reduction in severe pancreatic fistula rates with NPWT (23.9% vs. 59.2%, p = 0.001). Gupta et al. [4] observed lower overall fistula rates in the NPWT group (8% vs. 17%, p = 0.33) and lower Grade B fistulas (8% vs. 11.1%, p = 0.69), though these differences did not reach statistical significance. Javed et al. [11] demonstrated a trend toward reduced fistula rates with NPWT (RR 0.44, 95% CI 0.11–1.56, p = 0.21). Kuncewitch et al. [12] reported paradoxically higher fistula rates in the NPWT group (31% vs. 22%, p = 0.43), though this was not statistically significant. Greene et al. [2] found similar fistula rates between groups (16% vs. 14%, p = NS).

3.6. Secondary Outcomes

Three studies (n = 195) evaluated seroma formation. Andrianello et al. [10] showed significant benefit with NPWT, reporting 0% seroma formation in the NPWT group versus 12.2% in controls (p = 0.027). Kuncewitch et al. [12] found no significant difference (11% vs. 16%, p = 0.74). Shen et al. [1] reported no difference between groups. The limited data available makes definitive conclusions difficult. Only Kuncewitch et al. [12] (n = 73) evaluated incisional hernia as an outcome, finding a trend favoring NPWT with 14% incidence in the NPWT group versus 32% in controls (p = 0.067). Five studies (n = 826) evaluated readmission rates. Most studies showed nonsignificant reductions in readmission rates with NPWT compared with conventional dressings. Javed et al. [11] reported RR 0.41 (95% CI 0.15–1.09, p = 0.07) for 30-day readmission. Kuncewitch et al. [12] found 7% vs. 15% for wound complications (p = 0.26). Shen et al. [1] observed overall readmission of 15.3% vs. 21.9% (p = 0.24), with wound-related readmission of 2.5% vs. 5% (p = 0.33). Greene et al. [2] found no significant difference (OR 1.508, 95% CI 0.567–4.011). Andrianello et al. [10] did not report readmission rates.
Delayed gastric emptying was reported in several studies, with no significant differences between the NPWT and conventional dressing groups. Greene et al. [2] observed rates of 16% vs. 23% (p = NS). Javed et al. [11] reported a relative risk of 0.98 (95% CI 0.34–2.88, p > 0.99). Kuncewitch et al. [12] found rates of 8% vs. 11% (p > 0.99). Post-pancreatectomy hemorrhage and bile leak were infrequently reported across studies, with no significant differences noted. Javed et al. [11] reported lower respiratory complications in the NPWT group (RR 0.37, 95% CI 0.10–1.33, p = 0.13), though this did not reach statistical significance. Javed [11] also reported reoperation rates with RR 0.25 (95% CI 0.03–2.32, p = 0.21). Length of stay was reported in four studies with no significant differences. Gupta [4] found 12.1 vs. 12.9 days (p = 0.646). Javed [11] reported no significant difference (p = 0.23). Andrianello [10] and Kuncewitch [12] reported similar length of stay between groups.
Mortality rates were low and similar between groups where reported. Greene [2] reported 90-day mortality of 3% vs. 4% (p = NS). Shen [1] reported 2.3% overall 30-day mortality. Andrianello [10], Kuncewitch [12], and Shen [1] all reported similar mortality between groups. Gupta [4], Javed [11], Burkhart [5], Lawrence [13], and O’Neill [14] did not report mortality data. Hematoma rates were reported as similar between groups in Andrianello [10] and Shen [1], with no differences between groups. Other studies did not specify hematoma rates.

3.7. Subgroup Analyses and Risk Factors

Six studies employed prophylactic NPWT immediately after wound closure (Andrianello, Greene, Gupta, Javed, Lawrence, O’Neill), while three studies used NPWT as therapeutic intervention upon wound complication detection (Burkhart, Kuncewitch, Shen) (Table 5). Prophylactic NPWT showed greater efficacy in reducing complications than therapeutic application. Greene et al. [2] and Javed et al. [11] utilized prophylactic approaches with significant reductions in complication rates.
Studies with NPWT application for ≥5 days demonstrated greater complication reduction than those with <5 days. Andrianello et al. [10], Lawrence et al. [13], Gupta et al. [4], Greene et al. [2], and O’Neill et al. [14] applied NPWT for 7–10 days with superior outcomes compared to Kuncewitch et al. [12], Javed et al. [11], and Shen et al. [1], who discontinued NPWT on day 4. Two studies used negative pressure settings of −125 mmHg (Greene [2], Shen [1]), showing more pronounced complication reductions than studies using other pressure settings. Three studies used PICO systems (Andrianello [10], Lawrence [13], O’Neill [14]) which operate at different pressures than the −125 mmHg systems. Several studies identified risk factors associated with increased complications (Table 5). Andrianello et al. [10] defined high-risk criteria as BMI ≥ 30, diabetes, neoadjuvant therapy, ASA score ≥ 3, Charlson index ≥ 1, surgery > 360 min, and blood loss > 1 L. Burkhart et al. [5] found that preoperative biliary drainage, neoadjuvant therapy, and prior abdominal surgery were associated with increased complication risk. Obese patients were more likely to receive iVAC in Burkhart’s study [5].
Lawrence et al. [13] reported that preoperative biliary drainage was associated with increased SSI (OR 3.13; 95% CI 1.05–9.34, p = 0.041). Neoadjuvant therapy was higher in SSI group (31% vs. 17%, p = 0.029). Other significant risk factors included jaundice (p < 0.001), longer operation (p = 0.028), and greater estimated blood loss (p = 0.017). Shen et al. [1] identified lower preoperative albumin (p = 0.0031) and operation type (pancreatic/GI vs. CRS/HIPEC) as associated with SSI. Javed et al. [11] included preoperative biliary drainage and neoadjuvant therapy as high-risk criteria, with more patients in the NPWT group receiving neoadjuvant therapy (70.0% vs. 54.1%, p = 0.05). Gupta et al. [4] found no significant correlation between preoperative biliary drainage and complications. However, multivariate analysis identified negative correlation between NPWT and SSI (OR 0.15, p = 0.036) and positive correlation between length of stay and SSI (OR 1.21, p = 0.024). Greene et al. [2], Kuncewitch et al. [12], and O’Neill et al. [14] did not specify significant risk factors in their analyses, or no significant associations were found with demographic or operative factors.

3.8. Quality Assessment and Risk of Bias

The three RCTs demonstrated low risk of bias across most domains, with some concerns regarding blinding of outcome assessment (Table 6). Javed et al. [11] was rated low-to-moderate risk with simple randomization method, sealed envelope allocation concealment, PI blinded to group assignment who reviewed EMR to confirm SSI diagnosis, complete outcome data, all outcomes reported, and industry funding noted. Andrianello et al. [10] was rated moderate risk with computer-generated randomization, concealed allocation, no participant blinding, subjective evaluations performed by a single blinded physician, reported dropouts due to relaparotomy (8 NPWT, 1 control before POD7), all outcomes reported, and industry provided dressings. Kuncewitch et al. [12] was rated moderate risk with prospective RCT (subset analysis), allocation concealment not specified, blinding not specified, complete follow-up for median 11 months, all pre-specified outcomes reported, and small sample size subset analysis noted.
The six observational studies had Newcastle-Ottawa Scale scores ranging from 7 to 9 (out of 9), indicating good methodological quality. Burkhart [5] was rated high risk as non-randomized with minimal outcomes reported and small abstract with limited details. Greene [2] was rated high risk as non-randomized historical control with post-hoc power only 40%. Gupta [4] was rated high risk as retrospective study with single surgeon, single institution. Lawrence [13] was rated high risk as non-randomized pre-post design with bundle intervention preventing isolation of NPWT effect. O’Neill [14] was rated moderate risk as randomized and stratified by organ with complete outcomes but pilot study with small sample size (n = 40). Shen [1] was rated moderate risk with randomization using varying block sizes (4, 6, and 8), protocol deviations (4.9% early dressing removal, 48.3% missed daily assessments), and 39.2% had follow-up outside window.

3.9. Quality Assessment and Evidence Grading

The GRADE assessment revealed moderate-quality evidence for total SSI and pancreatic fistula outcomes; low-quality evidence for superficial SSI, seroma formation, and readmission outcomes; and very low-quality evidence for incisional hernia (Table 7). The main factors downgrading evidence quality were inconsistency in findings across studies, imprecision due to wide confidence intervals or small sample sizes, different NPWT devices used, and heterogeneity in study design. According to the GRADE assessment (Table 7), evidence regarding total SSI yielded moderate-quality evidence, with inconsistency in findings, different NPWT devices, and heterogeneity in study design as downgrading factors. Most high-quality studies (Javed [11], Gupta [4]) showed benefit. For superficial SSI specifically, evidence quality was low due to inconsistency and imprecision. Javed [11] had the lowest risk of bias among these studies. Evidence regarding pancreatic fistula rates was of moderate quality, with imprecision being the main downgrading factor. Consistent finding across studies showed no significant overall difference. Three studies evaluated seroma formation, with low-quality evidence due to inconsistency and imprecision. Limited data available makes definitive conclusions difficult. Only one study evaluated incisional hernia as an outcome, with very low-quality evidence due to single study and imprecision, indicating that further investigation is needed. Five studies evaluated readmission rates with low-quality evidence due to inconsistency and imprecision. Most showed non-significant reductions.

3.10. Meta-Analysis

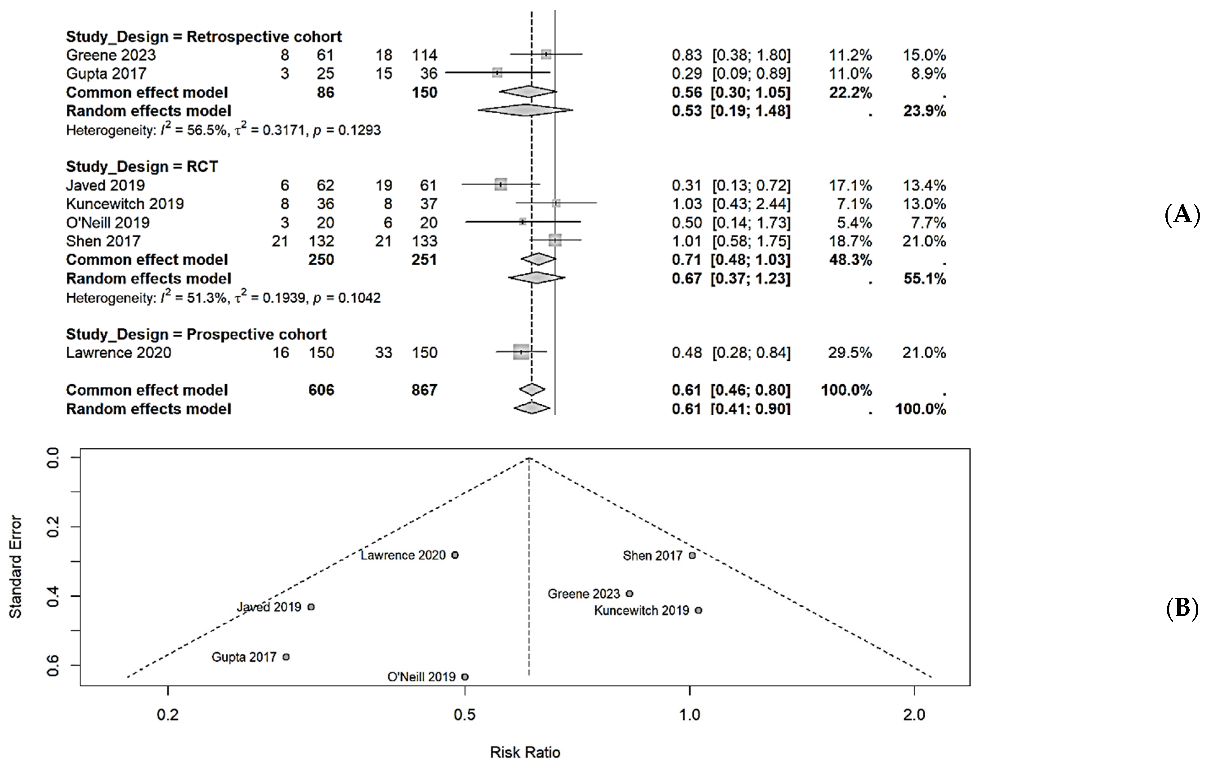
In this meta-analysis evaluating negative pressure wound therapy (NPWT) following pancreatic surgery, we found that NPWT was associated with a significant reduction in surgical site infections (SSI) compared with conventional dressings. The random effects model demonstrated a relative risk (RR) of 0.61 (95% CI, 0.41–0.90), while the common effect model showed RR of 0.61 (95% CI, 0.46–0.80) (Figure 2A). This represents a 39% reduction in SSI risk following pancreaticoduodenectomy.
Analysis of randomized clinical trials (n = 4) revealed a nonsignificant trend favoring NPWT (RR, 0.67; 95% CI, 0.37–1.23) with moderate heterogeneity (I2 = 51.3%; τ2 = 0.1939; p = 0.10). Only Javed 2019 [11] demonstrated a significant SSI reduction (RR, 0.31; 95% CI, 0.13–0.72). Kuncewitch 2019 [12] (RR, 1.03; 95% CI, 0.43–2.44), O’Neill 2019 [14] (RR, 0.50; 95% CI, 0.14–1.73), and Shen 2017 [1] (RR, 1.01; 95% CI, 0.58–1.75) showed no significant differences.
The single prospective cohort study (Lawrence 2020 [13]) demonstrated significant SSI reduction with NPWT (RR, 0.48; 95% CI, 0.28–0.84). Despite variability in individual study outcomes, the overall meta-analysis demonstrated a consistent direction of effect, with NPWT associated with 39% SSI risk reduction following pancreaticoduodenectomy. The funnel plot demonstrated symmetric distribution with minimal evidence of publication bias (Figure 2B).

4. Discussion

This systematic review and meta-analysis provide evidence that NPWT is associated with a significant reduction in surgical site infections following pancreaticoduodenectomy compared with conventional dressings. The overall meta-analysis demonstrated a 39% reduction in SSI risk (RR, 0.61; 95% CI, 0.41–0.90), although individual study results varied by design and methodology.
Our findings align with those of previous meta-analyses examining NPWT in other surgical specialties. A recent network meta-analysis by Zhu et al. demonstrated that NPWT significantly reduced SSI in clean-contaminated and contaminated wounds across various surgical procedures. Similarly, Sahebally et al. found that prophylactic NPWT reduced SSI by 50% following abdominal surgery [15,16]. The present analysis extends these findings specifically to pancreatic surgery, which has inherently high wound complication rates due to prolonged operative times, extensive dissection, and frequent preoperative biliary drainage.
The observed heterogeneity in the treatment effect across studies warrants careful interpretation. Only four of the nine included studies demonstrated statistically significant SSI reduction with NPWT, while five showed no significant difference. This variability can be explained by several factors. First, patient risk profiles differed substantially across studies. Javed et al. and Greene et al. specifically targeted high-risk patients (those with preoperative biliary drainage or neoadjuvant therapy), while other studies included all-comers. Second, NPWT application protocols varied considerably in duration (3–10 days) and pressure settings (−100 to −125 mmHg). Third, different NPWT devices were employed across the studies, including PICO, Prevena, and traditional polyurethane foam systems, which may have had different efficacy profiles.
Our subgroup analyses suggest that prophylactic NPWT application immediately after wound closure may be more effective than therapeutic application upon the detection of complications. Additionally, longer NPWT duration (≥5 days) and higher negative pressure settings (−125 mmHg) appeared to yield greater SSI reduction, although these findings should be interpreted cautiously given the limited number of studies in each subgroup.
The lack of a significant effect on pancreatic fistula rates in the pooled analysis is noteworthy. While Andrianello et al. reported a significant reduction in severe pancreatic fistula with NPWT, this finding was not consistently observed across other studies. This suggests that while NPWT may effectively manage the wound environment [17,18], it may not influence deeper intra-abdominal complications that arise from pancreatic anastomotic failure. The paradoxically higher fistula rates in the NPWT group observed by Kuncewitch et al. highlight the complex relationship between wound management and anastomotic healing.
Several patient-specific risk factors for SSI have been consistently identified across studies, including preoperative biliary drainage, neoadjuvant therapy, elevated BMI, and lower preoperative albumin. These findings are consistent with previous literature and suggest that targeted NPWT application in high-risk patients may yield the greatest benefit. Gupta et al. demonstrated that NPWT remained significantly protective against SSI (OR 0.15, p = 0.036) even after adjusting for these risk factors in multivariate analysis, suggesting an independent protective effect.
The quality of evidence, as assessed by the GRADE methodology, was moderate for total SSI and pancreatic fistula outcomes, with inconsistency and heterogeneity as the main limiting factors. Evidence for other outcomes, including superficial SSI, seroma formation, and readmission rates, was of lower quality due to imprecision and inconsistent reporting across studies. This underscores the need for larger, well-designed trials with standardized reporting of outcomes.
This meta-analysis had several limitations that warrant consideration. First, the included studies employed different NPWT devices and protocols, which limited their direct comparability. Second, the definition and assessment of SSI varied across studies, potentially introducing measurement bias. Third, the relatively small number of RCTs (n = 3) limits the strength of the conclusions that can be drawn. Fourth, most studies were conducted at high-volume centers with expertise in pancreatic surgery, potentially limiting the generalizability to lower-volume settings.
Despite these limitations, our findings have several important clinical implications. The significant reduction in SSI with NPWT suggests that this intervention may be beneficial in pancreaticoduodenectomy, particularly for high-risk patients. The cost-effectiveness of routine NPWT application remains uncertain; however, only Greene et al. performed a formal cost analysis, finding that NPWT was cost-effective despite its higher upfront cost due to reduced complication management expenses.
Future research should focus on standardizing NPWT protocols, identifying optimal patient selection criteria, and conducting larger multicenter RCTs with longer follow-up periods. Additionally, cost-effectiveness analyses incorporating both direct and indirect costs are needed to inform policy decisions regarding routine NPWT implementation after pancreaticoduodenectomy.

5. Conclusions

This systematic review and meta-analysis demonstrate that negative pressure wound therapy is associated with a significant reduction in surgical site infections following pancreaticoduodenectomy compared with conventional dressings (RR, 0.61; 95% CI, 0.41–0.90). The greatest benefit appears to be achieved with prophylactic application, longer therapy duration (≥5 days), and higher negative pressure settings (−125 mmHg), particularly in high-risk patients with preoperative biliary drainage, neoadjuvant therapy, elevated BMI, or hypoalbuminemia. Although the overall quality of evidence was moderate, with heterogeneity observed across studies, these findings suggest that NPWT should be considered as a part of comprehensive SSI prevention strategies in pancreatic surgery. Future research should focus on standardizing NPWT protocols, refining patient selection criteria through risk stratification, and conducting larger multicenter randomized clinical trials with formal cost-effectiveness analyses to further guide clinical implementation.

Supplementary Materials

The following supporting information can be downloaded at: https://www.mdpi.com/article/10.3390/surgeries6040088/s1, Table S1: Database search strategies and retrieval results; Table S2: Study inclusion and exclusion criteria; Table S3: NPWT protocols and co-interventions; Table S4: Patient demographics and risk factors; Table S5: Risk of bias assessment.

Author Contributions

M.R. conceived the study design, conducted the systematic search, performed data extraction, statistical analysis, and drafted the manuscript. N.A.N.A. contributed to study design, data extraction, quality assessment, and critical revision of the manuscript. B.I. performed literature screening, data extraction, and contributed to Section 2. A.A.A. conducted quality assessment using GRADE methodology and contributed to the results interpretation. Y.B. performed statistical analysis, meta-analysis, and contributed to Section 4. A.A. contributed to data collection, literature screening, and manuscript formatting. F.R. assisted with data extraction, reference management, and manuscript preparation. All authors have read and agreed to the published version of the manuscript.

Funding

This research was funded by the Deanship of Postgraduate Studies and Scientific Research at Majmaah University grant number R-2025-2047.

Data Availability Statement

No new data were created or analyzed in this study.

Conflicts of Interest

The authors declare no conflicts of interest. No financial relationships or competing interests exist that could have influenced the conduct or reporting of this systematic review and meta-analysis.

References

  1. Shen, P.; Blackham, A.U.; Lewis, S.; Clark, C.J.; Howerton, R.; Mogal, H.D.; Dodson, R.M.; Russell, G.B.; Levine, E.A. Phase II Randomized Trial of Negative-Pressure Wound Therapy to Decrease Surgical Site Infection in Patients Undergoing Laparotomy for Gastrointestinal, Pancreatic, and Peritoneal Surface Malignancies. J. Am. Coll. Surg. 2017, 224, 726–737. [Google Scholar] [CrossRef] [PubMed]
  2. Greene, B.; Lagrotteria, A.; Tsang, M.E.; Jayaraman, S. Closed incision negative pressure wound therapy following pancreaticoduodenectomy for prevention of surgical site infections in high-risk patients. Can. J. Surg. 2023, 66, E507–E512. [Google Scholar] [CrossRef] [PubMed]
  3. Magistri, P.; Andreani, S.; Conte, D.L.; Ferrari, G.C.; Forgione, A.; Pugliese, R. Autotransplantation of pancreatic islets. A single-center first experience. Ann. Ital. Chir. 2016, 87, 268–270. [Google Scholar] [PubMed]
  4. Gupta, R.; Darby, G.C.; Imagawa, D.K. Efficacy of Negative Pressure Wound Treatment in Preventing Surgical Site Infections after Whipple Procedures. Am. Surg. 2017, 83, 1166–1169. [Google Scholar] [CrossRef] [PubMed]
  5. Burkhart, R.A.; Javed, A.A.; Ronnekleiv-Kelly, S.; Wright, M.J.; Poruk, K.E.; Eckhauser, F.; Makary, M.A.; Cameron, J.L.; Wolfgang, C.L.; He, J.; et al. The use of negative pressure wound therapy to prevent post-operative surgical site infections following pancreaticoduodenectomy. HPB 2017, 19, 825–831. [Google Scholar] [CrossRef] [PubMed]
  6. Poruk, K.E.; Lin, J.A.; Cooper, M.A.; He, J.; Makary, M.A.; Hirose, K.; Cameron, J.L.; Pawlik, T.M.; Wolfgang, C.L.; Eckhauser, F.; et al. A novel, validated risk score to predict surgical site infection after pancreaticoduodenectomy. HPB 2016, 18, 893–899. [Google Scholar] [CrossRef] [PubMed]
  7. Zhang, J.-C.; Kang, M.-J.; Zhu, L.; Su, S. Negative-pressure wound therapy to decrease surgical-site infection in patients undergoing pancreaticoduodenectomy: A systematic review and meta-analysis. Asian J. Surg. 2022, 45, 2742–2744. [Google Scholar] [CrossRef] [PubMed]
  8. Zuckerman, J.; Hallet, J. Inconclusive trial results regarding prophylactic negative pressure wound therapy for major pancreatic surgery: Mitigating publication bias and moving toward effective evidence synthesis. Surgery 2021, 169, 1076–1077. [Google Scholar] [CrossRef] [PubMed]
  9. Lenet, T.; Gilbert, R.W.; Abou-Khalil, J.; Balaa, F.K.; Martel, G.; Brind’AMour, A.; Bertens, K.A. The impact of prophylactic negative pressure wound therapy on surgical site infections in pancreatic resection: A systematic review and meta-analysis. HPB 2022, 24, 2035–2044. [Google Scholar] [CrossRef] [PubMed]
  10. Andrianello, S.; Landoni, L.; Bortolato, C.; Iudici, L.; Tuveri, M.; Pea, A.; De Pastena, M.; Malleo, G.; Bonamini, D.; Manzini, G.; et al. Negative pressure wound therapy for prevention of surgical site infection in patients at high risk after clean-contaminated major pancreatic resections: A single-center, phase 3, randomized clinical trial. Surgery 2021, 169, 1069–1075. [Google Scholar] [CrossRef] [PubMed]
  11. Javed, A.A.; Teinor, J.; Wright, M.; Ding, D.; Burkhart, R.A.; Hundt, J.; Cameron, J.L.; Makary, M.A.; He, J.; Eckhauser, F.E.; et al. Negative Pressure Wound Therapy for Surgical-site Infections: A Randomized Trial. Ann. Surg. 2019, 269, 1034–1040. [Google Scholar] [CrossRef] [PubMed]
  12. Kuncewitch, M.P.; Blackham, A.U.; Clark, C.J.; Dodson, R.M.; Russell, G.B.; Levine, E.A.; Shen, P. Effect of Negative Pressure Wound Therapy on Wound Complications Post-Pancreatectomy. Am. Surg. 2019, 85, 1–7. [Google Scholar] [CrossRef] [PubMed]
  13. Lawrence, S.A.; McIntyre, C.A.; Pulvirenti, A.; Seier, K.; Chou, Y.; Gonen, M.; Balachandran, V.P.; Kingham, T.P.; D’aNgelica, M.I.; Drebin, J.A.; et al. Perioperative Bundle to Reduce Surgical Site Infection after Pancreaticoduodenectomy: A Prospective Cohort Study. J. Am. Coll. Surg. 2019, 228, 595–601. [Google Scholar] [CrossRef] [PubMed]
  14. O’Neill, C.H.; Martin, R.C.G. Negative-pressure wound therapy does not reduce superficial SSI in pancreatectomy and hepatectomy procedures. J. Surg. Oncol. 2020, 122, 480–486. [Google Scholar] [CrossRef] [PubMed]
  15. Sahebally, S.M.; McKevitt, K.; Stephens, I.; Fitzpatrick, F.; Deasy, J.; Burke, J.P.; McNamara, D. Negative Pressure Wound Therapy for Closed Laparotomy Incisions in General and Colorectal Surgery: A Systematic Review and Meta-analysis. JAMA Surg. 2018, 153, e183467. [Google Scholar] [CrossRef] [PubMed]
  16. Sahebally, S.M.; Burke, J.P.; McNamara, D.A. Negative Pressure Wound Therapy for Surgical Site Infection Prevention Requires Further Study Before Widespread Adoption-Reply. JAMA Surg. 2019, 154, 673–674. [Google Scholar] [CrossRef] [PubMed]
  17. Lumbers, M. Bringing negative pressure wound therapy to the community: Expanding wound care access. Br. J. Community Nurs. 2024, 29 (Suppl. 12), S36–S38. [Google Scholar] [CrossRef] [PubMed]
  18. Hou, S.; Shi, Z.; Li, X.; Yang, R.; Song, Y.; Zeng, Z. Combined negative pressure wound therapy with new wound dressings to repair a ruptured giant omphalocele in a neonate: A case report and literature review. BMC Pediatr. 2025, 25, 44. [Google Scholar] [CrossRef] [PubMed]
Figure 1. PRISMA flow chart.
Figure 1. PRISMA flow chart.
Surgeries 06 00088 g001
Figure 2. Meta-analysis results: forest (A) and funnel (B) plots Studies included: Greene 2023 [2], Gupta 2017 [4], Javed 2019 [11], Kuncewitch 2019 [12], O’Neill 2019 [14], Shen 2017 [1], and Lawrence 2020 [13]. When stratified by study design, we observed varying effects across different study types. Among retrospective cohort studies (n = 2), NPWT showed a nonsignificant trend toward SSI reduction (RR, 0.53; 95% CI, 0.19–1.48) with moderate heterogeneity (I2 = 56.5%; τ2 = 0.3171; p = 0.13). One study demonstrated significant benefit: Gupta 2017 [4] (RR, 0.29; 95% CI, 0.09–0.89), while another showed no significant effect: Greene 2023 [2] (RR, 0.83; 95% CI, 0.38–1.80).
Figure 2. Meta-analysis results: forest (A) and funnel (B) plots Studies included: Greene 2023 [2], Gupta 2017 [4], Javed 2019 [11], Kuncewitch 2019 [12], O’Neill 2019 [14], Shen 2017 [1], and Lawrence 2020 [13]. When stratified by study design, we observed varying effects across different study types. Among retrospective cohort studies (n = 2), NPWT showed a nonsignificant trend toward SSI reduction (RR, 0.53; 95% CI, 0.19–1.48) with moderate heterogeneity (I2 = 56.5%; τ2 = 0.3171; p = 0.13). One study demonstrated significant benefit: Gupta 2017 [4] (RR, 0.29; 95% CI, 0.09–0.89), while another showed no significant effect: Greene 2023 [2] (RR, 0.83; 95% CI, 0.38–1.80).
Surgeries 06 00088 g002
Table 1. Study Characteristics.
Table 1. Study Characteristics.
StudyYearCountryNNPWT DeviceDuration
Andrianello2020Italy95PICO (Smith & Nephew)POD 7
Burkhart2017USA436iVACNot specified
Greene2023Canada175Prevena (Acelity), 125 mmHg7 days
Gupta2017USA61Not specified7–10 days
Javed2018USA123PREVENA (Acelity)Day 4
Kuncewitch2019USA73Not specifiedPOD 4
Lawrence2018USA300PICO (Smith & Nephew)POD 7 or discharge
O’Neill2019USA40PICO (Smith & Nephew)7 days
Shen2017USA265 *Polyurethane foam, 125 mmHgPOD 4
* Includes subset of pancreatic resections; POD = postoperative day.
Table 2. Patient Demographics.
Table 2. Patient Demographics.
StudyNPWT/Control (n)Age (years)Male (%)BMI (kg/m2)Key Risk Factors
Andrianello46/49BalancedBalancedHigh-risk ≥ 30BMI, diabetes
Burkhart120/316NSNSNSBiliary drainage more common in NPWT
Greene61/11466/6561/61NSSmoking (34%/54%), biliary drainage (79%/53%)
Gupta25/3661.1/64.1NS24/25.7Balanced risk factors
Javed62/61NSNSNSBiliary drainage (82.3%/83.6%)
Kuncewitch36/3765 (35–85)55BalancedBalanced between groups
Lawrence150/150NSNSBalancedBiliary drainage 47% overall
O’Neill20/2060.8 ± 10.357.531.7 ± 7.0Smoking 17.5%, diabetes 32.5%
Shen36/37NSNSNSSmoking associated with SSI
NS = Not specified; Values shown as NPWT/Control where reported.
Table 3. Procedure Details.
Table 3. Procedure Details.
StudyProcedure TypeOperative Time (min)Blood Loss (mL)Malignant Pathology (%)
AndrianelloPD (91%), TP (9%)High-risk > 360High-risk > 1 LNot specified
BurkhartPDNot specifiedNot specifiedNot specified
GreenePDNot specifiedNot specifiedPDAC 56%/48%, CCA 24%/13%
GuptaWhipple504/461 (p = 0.14)510/529 (p = 0.84)Not specified
JavedPDNot specifiedNot specifiedPDAC 78%
KuncewitchPD (69%), other (31%)BalancedBalancedAdenocarcinoma 51%
LawrencePD214–238250–300PDAC 60%, other 40%
O’NeillPancreatic resection2.83 hNot specifiedNot specified
ShenMixed (pancreatic subset)Not specifiedNot specifiedNot specified
PD = Pancreaticoduodenectomy; TP = Total pancreatectomy; PDAC = Pancreatic ductal adenocarcinoma; CCA = Cholangiocarcinoma.
Table 4. Outcome Data.
Table 4. Outcome Data.
StudyTotal SSI (NPWT vs. Control)Superficial SSIDeep SSISeromaMortality
Andrianello10.9% vs. 12.2% (p = 1.000)Not separatedNot separated0% vs. 12.2% *Similar
BurkhartOR 0.45 (p < 0.009) †NSNSNSNS
Greene13% vs. 16% (p = 0.64)Per CDCPer CDCNS3% vs. 4%
Gupta12% vs. 41% * (p = 0.01)0% vs. 5.6%Mixed typesNSNS
Javed9.7% vs. 31.1% * (p = 0.003)6.5% vs. 27.9% *3.2% vs. 3.3%NSNS
Kuncewitch22% vs. 22% (p > 0.99)14% vs. 16%8% vs. 5%11% vs. 16%NS
Lawrence11% vs. 22% * (p = 0.012)Not separatedNot separatedNSNS
O’Neill22.2% vs. 33.3% (p > 0.05)0% vs. 0%Organ spaceNSNS
Shen15.9% vs. 15.8% (p > 0.99)NSNSSimilar2.3%
* Statistically significant (p < 0.05); † Risk-stratified: Risk 0: 4.0% vs. 16.5% (p = 0.024), Risk 1: 16.3% vs. 20.8% (p = 0.516), Risk 2: 19.1% vs. 49.0% (p = 0.018); NS = Not specified; SSI = Surgical site infection.
Table 5. Risk Factors and Subgroup Analysis (Selected Findings).
Table 5. Risk Factors and Subgroup Analysis (Selected Findings).
StudyPreop Biliary DrainageNeoadjuvant TherapyOther Significant Risk Factors
AndrianelloNot specifiedHigh-risk criterionASA ≥ 3, Charlson ≥ 1, surgery > 360 min, blood loss > 1 L
BurkhartIncreased riskIncreased riskPrior abdominal surgery; obese patients more likely to receive iVAC
GreeneNot specifiedNot specifiedNot specified
GuptaNo correlationNot specifiedNPWT negatively correlated with SSI (OR 0.15, p = 0.036); LOS positively correlated (OR 1.21, p = 0.024)
JavedHigh-risk criterionHigh-risk criterion (70.0% NPWT vs. 54.1%, p = 0.05)None identified
KuncewitchNot specifiedNo effect on hernia ratesNo factors associated with hernia rates
LawrenceOR 3.13 (p = 0.041)Higher in SSI (31% vs. 17%, p = 0.029)Jaundice (p < 0.001), longer operation (p = 0.028), greater EBL (p = 0.017)
O’NeillNot specifiedNo association with SSINo significant risk factors in multivariable analysis
ShenNot specifiedNot specifiedLower preoperative albumin (p = 0.0031); operation type (pancreatic/GI vs. CRS/HIPEC)
Complete risk factor analysis is presented in Supplementary Table S4; EBL = Estimated blood loss.
Table 6. Risk of Bias Assessment (Summary).
Table 6. Risk of Bias Assessment (Summary).
StudyRandomizationAllocation ConcealmentBlindingOverall Risk
AndrianelloComputer-generatedConcealedPartialModerate
BurkhartNon-randomizedNANoneHigh
GreeneNon-randomizedNANoneHigh
GuptaRetrospectiveNANoneHigh
JavedSimple randomizationSealed envelopesPartialLow-Moderate
KuncewitchProspective RCTNot specifiedNot specifiedModerate
LawrencePre-post designNANoneHigh
O’NeillRandomized, stratifiedNot specifiedNoneModerate
ShenRandomized blocksNot specifiedNoneModerate
Complete risk of bias assessment with all domains is presented in Supplementary Table S5; NA = Not applicable.
Table 7. Meta-analysis Quality Assessment (GRADE).
Table 7. Meta-analysis Quality Assessment (GRADE).
OutcomeStudiesParticipantsQualityDowngrading FactorsComments
Total SSI91468ModerateInconsistency, different devices, design heterogeneityHigh-quality studies (Javed, Gupta) showed benefit
Superficial SSI5392LowInconsistency, imprecisionJaved had lowest risk of bias
Pancreatic fistula5417ModerateImprecisionConsistent finding across studies
Seroma3195LowInconsistency, imprecisionLimited data
Incisional hernia173Very lowSingle study, imprecisionNeeds investigation
Readmission5826LowInconsistency, imprecisionMost showed non-significant reductions
Disclaimer/Publisher’s Note: The statements, opinions and data contained in all publications are solely those of the individual author(s) and contributor(s) and not of MDPI and/or the editor(s). MDPI and/or the editor(s) disclaim responsibility for any injury to people or property resulting from any ideas, methods, instructions or products referred to in the content.

Share and Cite

MDPI and ACS Style

Rayzah, M.; Alzerwi, N.A.N.; Idrees, B.; Alhumaid, A.A.; Baksh, Y.; Alsultan, A.; Rayzah, F. Negative Pressure Wound Therapy for Surgical Site Infection Prevention Following Pancreaticoduodenectomy: A Systematic Review and Meta-Analysis. Surgeries 2025, 6, 88. https://doi.org/10.3390/surgeries6040088

AMA Style

Rayzah M, Alzerwi NAN, Idrees B, Alhumaid AA, Baksh Y, Alsultan A, Rayzah F. Negative Pressure Wound Therapy for Surgical Site Infection Prevention Following Pancreaticoduodenectomy: A Systematic Review and Meta-Analysis. Surgeries. 2025; 6(4):88. https://doi.org/10.3390/surgeries6040088

Chicago/Turabian Style

Rayzah, Musaed, Nasser A. N. Alzerwi, Bandar Idrees, Ahmed A. Alhumaid, Yaser Baksh, Afnan Alsultan, and Fares Rayzah. 2025. "Negative Pressure Wound Therapy for Surgical Site Infection Prevention Following Pancreaticoduodenectomy: A Systematic Review and Meta-Analysis" Surgeries 6, no. 4: 88. https://doi.org/10.3390/surgeries6040088

APA Style

Rayzah, M., Alzerwi, N. A. N., Idrees, B., Alhumaid, A. A., Baksh, Y., Alsultan, A., & Rayzah, F. (2025). Negative Pressure Wound Therapy for Surgical Site Infection Prevention Following Pancreaticoduodenectomy: A Systematic Review and Meta-Analysis. Surgeries, 6(4), 88. https://doi.org/10.3390/surgeries6040088

Article Metrics

Back to TopTop