Ball Milling Modification of Titanite Powders for Enhancing the Thermal Stability of Polypropylene Separators for Lithium-Ion Batteries
Abstract
1. Introduction
2. Materials and Methods
2.1. Materials
2.2. CaTiSiO5 Synthesis and Ball Milling
2.3. Characterization
2.3.1. Physicochemical Characterization
2.3.2. Electrochemical Characterization
2.4. Lithium-Ion Battery Evaluation
3. Results
3.1. Physicochemical Parameters
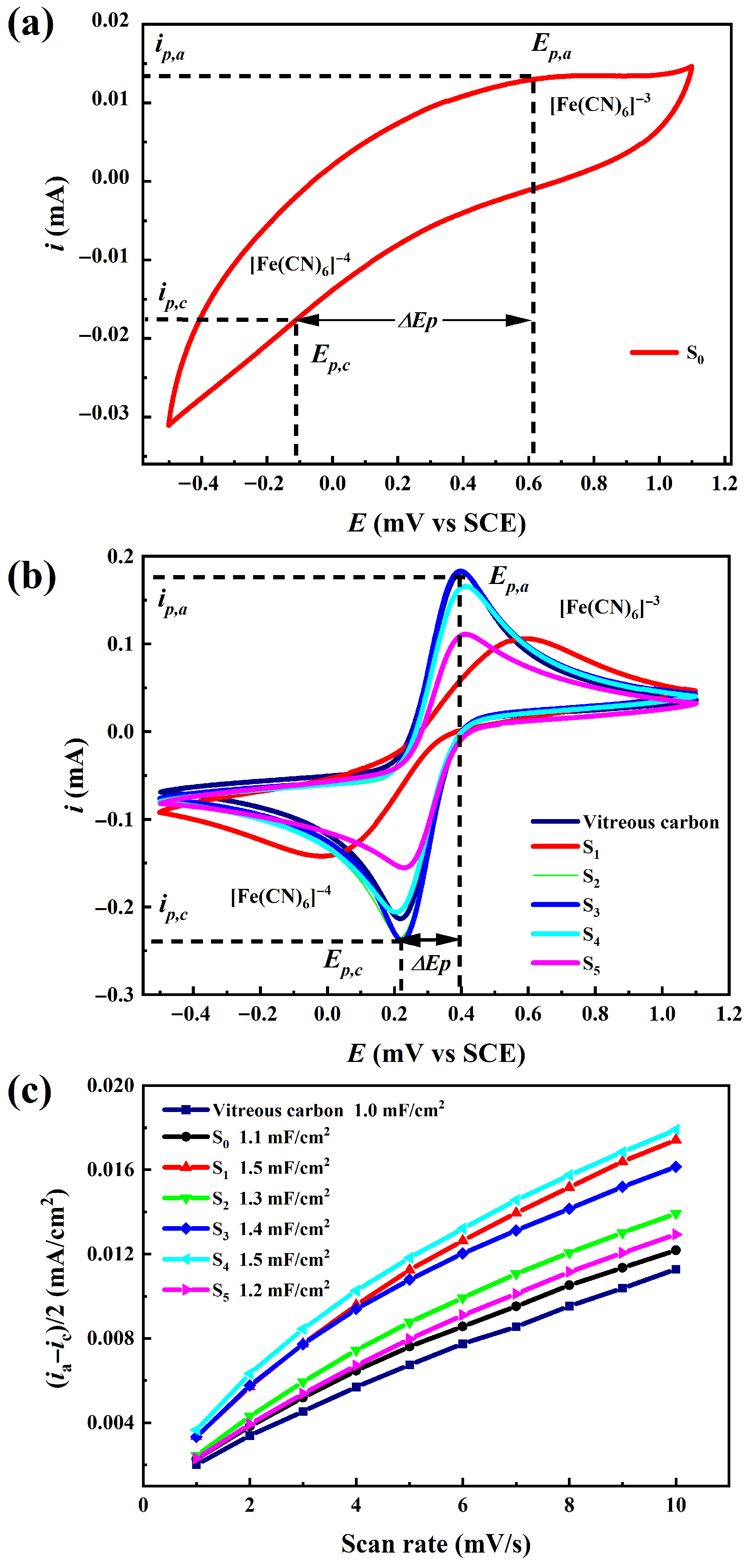
3.2. Electrochemical Parameters
3.3. Performance in LIBs
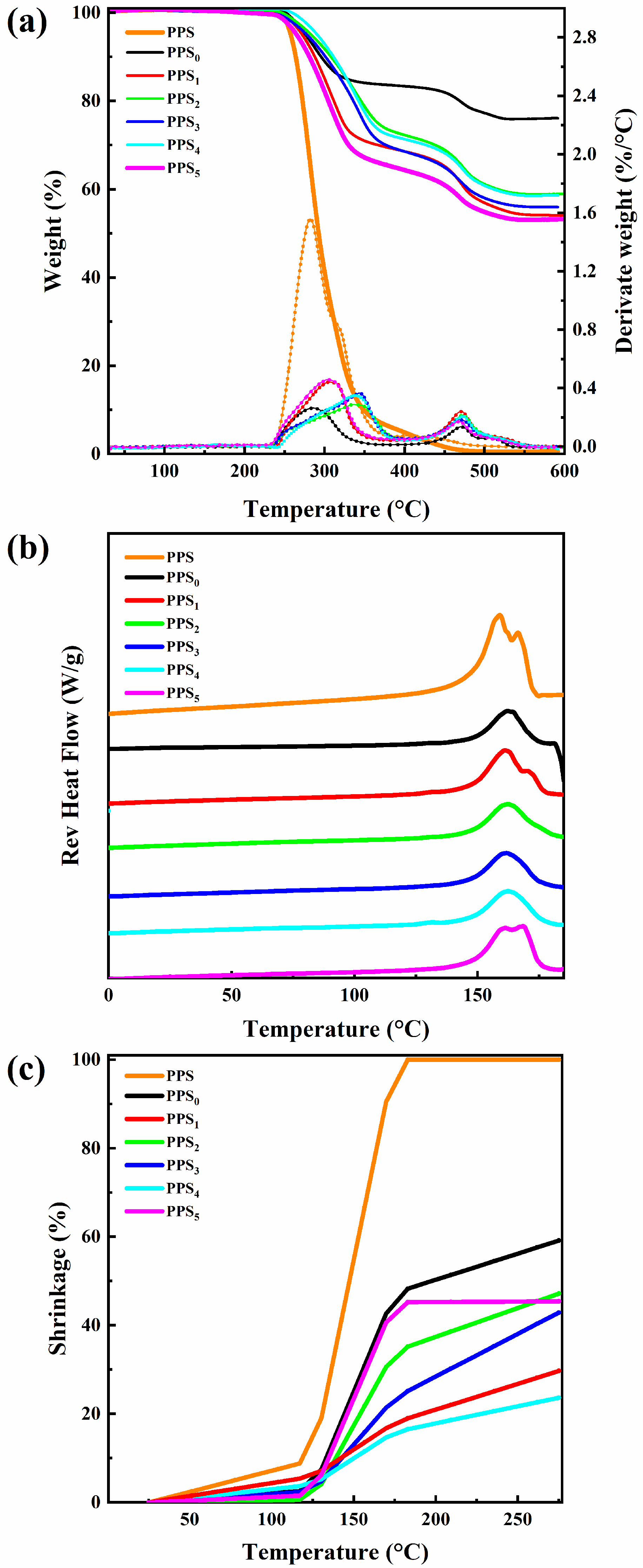
3.3.1. Thermal Stability
3.3.2. Contact Angle
3.3.3. Ionic Conductivity and Charge/Discharge Profile
4. Conclusions
Supplementary Materials
Author Contributions
Funding
Institutional Review Board Statement
Informed Consent Statement
Data Availability Statement
Acknowledgments
Conflicts of Interest
Abbreviations
| BET | Brunauer–Emmett–Teller |
| BPR | Ball-to-Powder Ratio |
| CV | Cyclic Voltammetry |
| DEC | Diethyl Carbonate |
| DSC | Differential Scanning Calorimetry |
| EC | Ethylene Carbonate |
| EIS | Electrochemical Impedance Spectroscopy |
| FTIR | Fourier-Transform Infrared Spectroscopy |
| GO | Graphene Oxide |
| LIB | Lithium-Ion Battery |
| NMP | N-Methyl-2-pyrrolidone |
| PAN | Polyacrylonitrile |
| PE | Polyethylene |
| PI | Polyimide |
| PP | Polypropylene |
| PPS | Polypropylene Separator |
| PTFE | Polytetrafluoroethylene |
| PVDF | Polyvinylidene Fluoride |
| SCE | Saturated Calomel Electrode |
| SEM | Scanning Electron Microscopy |
| SSA | Specific Surface Area |
| TGA | Thermogravimetric Analysis |
| WE | Working Electrode |
| XRD | X-Ray Diffraction |
References
- Nunes-Pereira, J.; Kundu, M.; Gören, A.; Silva, M.M.; Costa, C.M.; Liu, L.; Lanceros-Méndez, S. Optimization of filler type within poly(vinylidene fluoride-co-trifluoroethylene) composite separator membranes for improved lithium-ion battery performance. Compos. Part B Eng. 2016, 96, 94–102. [Google Scholar] [CrossRef]
- Zakaria, M.R.; Omar, M.F.; Zainol Abidin, M.S.; Md Akil, H.; Abdullah, M.M.A.B. Recent progress in the three-dimensional structure of graphene-carbon nanotubes hybrid and their supercapacitor and high-performance battery applications. Compos. Part A Appl. Sci. Manuf. 2022, 154, 106756. [Google Scholar] [CrossRef]
- Zhang, S.S. A review on the separators of liquid electrolyte Li-ion batteries. J. Power Sources 2007, 164, 351–364. [Google Scholar] [CrossRef]
- Lingappan, N.; Lee, W.; Passerini, S.; Pecht, M. A comprehensive review of separator membranes in lithium-ion batteries. Renew. Sustain. Energy Rev. 2023, 187, 113726. [Google Scholar] [CrossRef]
- Babiker, D.M.D.; Wan, C.; Mansoor, B.; Usha, Z.R.; Yu, R.; Habumugisha, J.C.; Chen, W.; Chen, X.; Li, L. Superior lithium battery separator with extraordinary electrochemical performance and thermal stability based on hybrid UHMWPE/SiO2 nanocomposites via the scalable biaxial stretching process. Compos. Part B Eng. 2021, 211, 108658. [Google Scholar] [CrossRef]
- Shi, J.; Xia, Y.; Yuan, Z.; Hu, H.; Li, X.; Liu, Z. Porous membrane with high curvature, three-dimensional heat-resistance skeleton: A new and practical separator candidate for high safety lithium ion battery. Sci. Rep. 2015, 5, 8255. [Google Scholar] [CrossRef]
- Mao, B.; Chen, H.; Cui, Z.; Wu, T.; Wang, Q. Failure mechanism of the lithium ion battery during nail penetration. Int. J. Heat Mass Transf. 2018, 122, 1103–1115. [Google Scholar] [CrossRef]
- Li, X.; Liu, K.; Yan, Y.; Yu, J.; Dong, N.; Liu, B.; Tian, G.; Qi, S.; Wu, D. Thermostable and nonflammable polyimide/zirconia compound separator for lithium-ion batteries with superior electrochemical and safe properties. J. Colloid Interface Sci. 2022, 625, 936–945. [Google Scholar] [CrossRef]
- Roh, Y.; Jin, D.; Kim, E.; Byun, S.; Lee, Y.-S.; Ryou, M.-H.; Lee, Y.M. Highly improved thermal stability of the ceramic coating layer on the polyethylene separator via chemical crosslinking between ceramic particles and polymeric binders. Chem. Eng. J. 2022, 433, 134501. [Google Scholar] [CrossRef]
- Hao, W.; Kong, D.; Xie, J.; Chen, Y.; Ding, J.; Wang, F.; Xu, T. Self-polymerized dopamine nanoparticles modified separators for improving electrochemical performance and enhancing mechanical strength of lithium-ion batteries. Polymers 2020, 12, 648. [Google Scholar] [CrossRef]
- Chen, X.; Chen, S.; Lin, Y.; Wu, K.; Lu, S. Multi-functional ceramic-coated separator for lithium-ion batteries safety tolerance improvement. Ceram. Int. 2020, 46, 24689–24697. [Google Scholar] [CrossRef]
- Zhao, X.; Zhang, Z.; Yang, S.; Liang, G. Inorganic ceramic fiber separator for electrochemical and safety performance improvement of lithium-ion batteries. Ceram. Int. 2017, 43, 14775–14783. [Google Scholar] [CrossRef]
- Jiang, X.; Zhu, X.; Ai, X.; Yang, H.; Cao, Y. Novel Ceramic-Grafted Separator with Highly Thermal Stability for Safe Lithium-Ion Batteries. ACS Appl. Mater. Interfaces 2017, 9, 25970–25975. [Google Scholar] [CrossRef]
- Liu, H.; Xu, J.; Guo, B.; He, X. Effect of Al2O3/SiO2 composite ceramic layers on performance of polypropylene separator for lithium-ion batteries. Ceram. Int. 2014, 40, 14105–14110. [Google Scholar] [CrossRef]
- Yu, B.; Chen, X.; Jin, X.; Zhang, X.; Chen, L. Heat-Resistant Lithium-Ion-Battery Separator Using Synchronous Thermal Stabilization/Imidization. ACS Appl. Polym. Mater. 2024, 6, 2464–2473. [Google Scholar] [CrossRef]
- Liao, H.; Zhang, H.; Qin, G.; Li, Z.; Li, L.; Hong, H. A macro-porous graphene oxide-based membrane as a separator with enhanced thermal stability for high-safety lithium-ion batteries. RSC Adv. 2017, 7, 22112–22120. [Google Scholar] [CrossRef]
- Kim, K.W.; Lee, J.H.; Shin, S.; Kim, I.; Yun, T.G.; Hwang, B.; Choi, S.-J.; Jung, J.-W.; Yoon, K.R. Thermally Stable Al2O3/PTFE Composite Separator for High-Safety Lithium-Ion Batteries. ACS Omega 2025, 10, 39669–39679. [Google Scholar] [CrossRef]
- Chen, D.; Wang, X.; Liang, J.; Zhang, Z.; Chen, W. A Novel Electrospinning Polyacrylonitrile Separator with Dip-Coating of Zeolite and Phenoxy Resin for Li-ion Batteries. Membranes 2021, 11, 267. [Google Scholar] [CrossRef] [PubMed]
- Chen, Z.; Wang, T.; Yang, X.; Peng, Y.; Zhong, H.; Hu, C. TiO2 Nanorod-Coated Polyethylene Separator with Well-Balanced Performance for Lithium-Ion Batteries. Materials 2023, 16, 2049. [Google Scholar] [CrossRef]
- Ahmed, S.; Ali, A.; Asif, M.; Shim, J.; Park, G. Exploring innovative trends and advancements in rechargeable zinc-air batteries. Inorg. Chem. Commun. 2024, 170, 113288. [Google Scholar] [CrossRef]
- Maletaškić, J.; Todorović, B.; Gilić, M.; Cincović, M.M.; Yoshida, K.; Gubarevich, A.; Matović, B. Synthesis and characterization of monophase CaO-TiO2-SiO2 (sphene) based glass-ceramics. Sci. Sinter. 2020, 52, 41–52. [Google Scholar] [CrossRef]
- Peng, X.; Liu, Z.; Gu, Y.; Zhang, F.; Li, Y. Dielectric properties of (Al3+, Nb5+) co-doped CaTiSiO5 ceramics at elevated temperature. J. Phys. Chem. Solids 2019, 132, 83–88. [Google Scholar] [CrossRef]
- Arellano, U.; Chen, L.; Wang, J.A.; Salmones, J.; Limas, R.; Noreña, L.E.; Solís, S.; Lara, V.H. Hydrothermal Synthesis and Photocatalytic Properties of CaTiSiO5 for Hydrogen Production. Chem. Eng. Trans. 2024, 109, 625–630. [Google Scholar] [CrossRef]
- Muthuraman, M.; Patil, K.C. Synthesis, properties, sintering and microstructure of sphene, CaTiSiO5: A comparative study of coprecipitation, sol-gel and combustion processes. Mater. Res. Bull. 1998, 33, 655–661. [Google Scholar] [CrossRef]
- Khonimkulov, J.; Homidov, F.; Kadyrova, Z. Synthesis methods and temperature effects on titanite microstructure. Univ. Tech. Sci. 2024, 3, 18–21. [Google Scholar]
- Elsayed, H.; Sayed, M.; Naga, S.M.; Rebesan, P.; Gardin, C.; Zavan, B.; Colombo, P.; Bernardo, E. Additive manufacturing and direct synthesis of sphene ceramic scaffolds from a silicone resin and reactive fillers. J. Eur. Ceram. Soc. 2022, 42, 286–295. [Google Scholar] [CrossRef]
- Phumuen, P.; Kumnorkaew, P.; Srepusharawoot, P.; Klangtakai, P.; Pimanpang, S.; Amornkitbamrung, V. Ball milling modification of perovskite LaNiO3 powders for enhancing electrochemical pseudocapacitor. Surf. Interfaces 2021, 25, 101282. [Google Scholar] [CrossRef]
- Rios, J.; Restrepo, A.; Zuleta, A.; Bolívar, F.; Castaño, J.; Correa, E.; Echeverria, F. Effect of ball size on the microstructure and morphology of mg powders processed by high-energy ball milling. Metals 2021, 11, 1621. [Google Scholar] [CrossRef]
- Tarani, E.; Stathokostopoulos, D.; Karfaridis, D.; Malletzidou, L.; Sfampa, I.K.; Stergioudi, F.; Maliaris, G.; Michailidis, N.; Chrissafis, K.; Vourlias, G. Effect of ball milling time on the formation and thermal properties of Ag2Se and Cu2Se compounds. J. Therm. Anal. Calorim. 2023, 148, 13065–13081. [Google Scholar] [CrossRef]
- López, J.P.; Gironés, J.; Alberto, J.; El Mansouri, N.E.; Llop, M.; Mutjé, P.; Vilaseca, F. Stone-ground wood pulp-reinforced polypropylene composites: Water uptake and thermal properties. BioResources 2012, 7, 5478–5487. [Google Scholar] [CrossRef]
- Mokhtari, F.; Spinks, G.M.; Sayyar, S.; Foroughi, J. Dynamic Mechanical and Creep Behaviour of Meltspun PVDF Nanocomposite Fibers. Nanomaterials 2021, 11, 2153. [Google Scholar] [CrossRef]
- Cai, H.; Tong, X.; Chen, K.; Shen, Y.; Wu, J.; Xiang, Y.; Wang, Z.; Li, J. Electrospun Polyethylene Terephthalate Nonwoven Reinforced Polypropylene Separator: Scalable Synthesis and Its Lithium Ion Battery Performance. Polymers 2018, 10, 574. [Google Scholar] [CrossRef]
- Luo, L.; Gao, Z.; Zheng, Z.; Zhang, J. “Polymer-in-Ceramic” Membrane for Thermally Safe Separator Applications. ACS Omega 2022, 7, 35727–35734. [Google Scholar] [CrossRef]
- Tan, F.; An, H.; Li, N.; Du, J.; Peng, Z. A study on Li0.33La0.55TiO3 solid electrolyte with high ionic conductivity and its application in flexible all-solid-state batteries. Nanoscale 2021, 13, 11518–11524. [Google Scholar] [CrossRef]
- Vaselnia, S.Y.; Khajeh Aminian, M.; Motahari, H. Fe-doped titanite pigment: Synthesis, DFT/TDDFT calculations by Lanczos and Bethe-Salpeter equation methods and comparison of computational and experimental color properties. J. Phys. Chem. Solids 2020, 138, 109244. [Google Scholar] [CrossRef]
- Li, Y.; Zhang, T.; Ding, H.; Sun, S.; Ao, W.; Zhang, J.; Zhang, H. Synthesis of sphene by TiO2 combined with CaCO3 and SiO2 in solid phase and its application as ceramic opacifier. Chem. Phys. 2023, 575, 112076. [Google Scholar] [CrossRef]
- Modhave, D.; Saraf, I.; Karn, A.; Paudel, A. Understanding Concomitant Physical and Chemical Transformations of Simvastatin During Dry Ball Milling. AAPS PharmSciTech 2020, 21, 152. [Google Scholar] [CrossRef] [PubMed]
- Yerpude, A.N.; Pawade, V.B.; Dhoble, S.J.; Koao, L. Chapter 3—Lanthanide-doped BaCa2Al8O115 phosphors. In Lanthanide-Doped Aluminate Phosphors; Woodhead Publishing: Cambridge, UK, 2023; pp. 57–80. [Google Scholar] [CrossRef]
- Sun, Y.; Wang, H.; Zhang, M.; Zhao, W. Effect of leaching solutions on chemical durability of a natural metamict titanite. J. Nucl. Sci. Technol. 2020, 57, 792–799. [Google Scholar] [CrossRef]
- Chen, S.K.; Liu, H.S.; Wu, C.S. Quantitative Analysis of Sphene (CaTiOSiO4) and Wollastonite (CaSiO3) Crystallizations in Annealed Ceramic Frits by FT-IR Absorption Spectroscopy. Appl. Spectrosc. 1993, 47, 965–972. [Google Scholar] [CrossRef]
- Pantić, J.; Urbanovich, V.; Poharc-Logar, V.; Jokić, B.; Stojmenović, M.; Kremenović, A.; Matović, B. Synthesis and characterization of high-pressure and high-temperature sphene (CaTiSiO5). Phys. Chem. Miner. 2014, 41, 775–782. [Google Scholar] [CrossRef]
- Bardestani, R.; Patience, G.S.; Kaliaguine, S. Experimental methods in chemical engineering: Specific surface area and pore size distribution measurements—BET, BJH, and DFT. Can. J. Chem. Eng. 2019, 97, 2781–2791. [Google Scholar] [CrossRef]
- Peto-Gutiérrez, C.; Vázquez-Victorio, G.; Hautefeuille, M. Characterization of Benchtop-Fabricated Arrays of Nanowrinkled Surface Electrodes as a Nitric Oxide Electrochemical Sensor. Biosensors 2023, 13, 794. [Google Scholar] [CrossRef] [PubMed]
- Ashwini, R.; Mohanta, Z.; Punith Kumar, M.K.; Santosh, M.S.; Srivastava, C. Enhanced heterogeneous electron transfer kinetics in Graphene Oxide produced from mechanically milled Graphite. Carbon Trends 2021, 5, 100095. [Google Scholar] [CrossRef]
- Zhou, H.; Yu, F.; Sun, J.; He, R.; Chen, S.; Chu, C.-W.; Ren, Z. Highly active catalyst derived from a 3D foam of Fe(PO3)2/Ni2P for extremely efficient water oxidation. Proc. Natl. Acad. Sci. USA 2017, 114, 5607–5611. [Google Scholar] [CrossRef]
- de Jesus Silva, A.J.; Contreras, M.M.; Nascimento, C.R.; da Costa, M.F. Kinetics of thermal degradation and lifetime study of poly(vinylidene fluoride) (PVDF) subjected to bioethanol fuel accelerated aging. Heliyon 2020, 6, e04573. [Google Scholar] [CrossRef]
- Krajenta, J.; Pawlak, A. Crystallization of the β-Form of Polypropylene from the Melt with Reduced Entanglement of Macromolecules. Polymers 2024, 16, 1710. [Google Scholar] [CrossRef] [PubMed]
- Shi, C.; Zhang, P.; Huang, S.; He, X.; Yang, P.; Wu, D.; Sun, D.; Zhao, J. Functional separator consisted of polyimide nonwoven fabrics and polyethylene coating layer for lithium-ion batteries. J. Power Sources 2015, 298, 158–165. [Google Scholar] [CrossRef]
- Bicy, K.; Suriyakumar, S.; Anu Paul, P.; Anu, A.S.; Kalarikkal, N.; Stephen, A.M.; Geethamma, V.G.; Rouxel, D.; Thomas, S. Highly lithium ion conductive, Al2O3 decorated electrospun P(VDF-TrFE) membranes for lithium ion battery separators. New J. Chem. 2018, 42, 19505–19520. [Google Scholar] [CrossRef]
- Wei, Z.; Gu, J.; Zhang, F.; Pan, Z.; Zhao, Y. Core-Shell Structured Nanofibers for Lithium Ion Battery Separator with Wide Shutdown Temperature Window and Stable Electrochemical Performance. ACS Appl. Polym. Mater. 2020, 2, 1989–1996. [Google Scholar] [CrossRef]
- Li, D.; Qin, D.; Nie, F.; Wen, L.; Xue, L. Enhancement of electrochemical performance of lithium-ion battery by single-ion conducting polymer addition in ceramic-coated separator. J. Mater. Sci. 2018, 53, 11038–11049. [Google Scholar] [CrossRef]
- Wang, Y.; Wang, Q.; Wei, X.; Song, Z.; Lan, Y.; Luo, W.; Yin, C.; Yue, Z.; Zhou, L.; Li, X. A novel three-dimensional boehmite nanowhiskers network-coated polyethylene separator for lithium-ion batteries. Ceram. Int. 2021, 47, 10153–10162. [Google Scholar] [CrossRef]
- Ko, I.; Ha, S.; Shin, W.H.; Choi, J.; Mun, S.C.; Choi, Y.; Won, J.H. Clay-Mineral-Coated Separators for Lithium-Ion Batteries: Exploring the Relationships between Clay Mineral Morphology and Separator Performance. Adv. Sci. 2025, 12, 2510779. [Google Scholar] [CrossRef]
- Zhang, J.; Kong, Q.; Liu, Z.; Pang, S.; Yue, L.; Yao, J.; Wang, X.; Cui, G. A highly safe and inflame retarding aramid lithium ion battery separator by a papermaking process. Solid State Ion. 2013, 245–246, 49–55. [Google Scholar] [CrossRef]
- Yin, S.; Liu, J.; Cong, B. Review of Thermal Runaway Monitoring, Warning and Protection Technologies for Lithium-Ion Batteries. Processes 2023, 11, 2345. [Google Scholar] [CrossRef]
- Zhang, Y.; Meng, Z.; Wang, Y. Sr Doped Amorphous LLTO as Solid Electrolyte Material. J. Electrochem. Soc. 2020, 167, 080516. [Google Scholar] [CrossRef]
- Chakrabarty, N.; Chakraborty, A.K.; Kumar, H. Nickel-Hydroxide-Nanohexagon-Based High-Performance Electrodes for Supercapacitors: A Systematic Investigation on the Influence of Six Different Carbon Nanostructures. J. Phys. Chem. C 2019, 123, 29104–29115. [Google Scholar] [CrossRef]
- Surampudi, S.; Shen, D.H.; Huang, C.K.; Narayanan, S.R.; Attia, A.; Halpert, G.; Peled, E. Effect of cycling on the lithium/electrolyte interface in organic electrolytes. J. Power Sources 1993, 43, 21–26. [Google Scholar] [CrossRef]
- Kim, U.; Roh, Y.; Choi, S.; Lee, Y.-S.; Ryou, S.-Y.; Lee, Y.M. Ultra-thin ceramic coated separator for high energy density lithium-ion battery: In-depth analysis on Al2O3 nano particles penetration into the structure pore. J. Ind. Eng. Chem. 2023, 126, 137–144. [Google Scholar] [CrossRef]
- Yuan, B.; Liu, J.; Dong, L.; Chen, D.; Zhong, S.; Liang, Y.; Liu, Y.; Ji, Y.; Wu, X.; Kong, Q.; et al. A Single-Layer Composite Separator with 3D-Reinforced Microstructure for Practical High-Temperature Lithium Ion Batteries. Small 2022, 18, 2104664. [Google Scholar] [CrossRef]







| Sample | S0 | S1 | S2 | S3 | S4 | S5 | Ref WE |
|---|---|---|---|---|---|---|---|
| Milling Sequence | - | 2 cycles | 2, 2 cycles | 2, 2, 2 cycles | 1, 2 cycles | 3, 2 cycles | - |
| DP (µm) | 7.97 ± 0.16 | 3.15 ± 0.10 | 0.38 ± 0.01 | 0.56 ± 0.02 | 0.46 ± 0.01 | 0.64 ± 0.02 | - |
| Crystallinity (%) | 84.7 ± 2.5 | 59.8 ± 1.8 | 47.6 ± 1.4 | 47.0 ± 1.4 | 57.3 ± 1.7 | 54.8 ± 1.6 | - |
| DV (nm) | 38.27 ± 1.1 | 36.13 ± 1.0 | 22.59 ± 0.7 | 19.71 ± 0.6 | 30.55 ± 0.9 | 30.85 ± 0.9 | - |
| SSA (m2g−1) | 2.31 ± 0.7 | 3.3 ± 0.1 | 2.5 ± 0.1 | 4.5 ± 0.1 | 11.4 ± 0.3 | 14.6 ± 0.4 | - |
| dP (nm) | 5.8 ± 0.2 | 7.7 ± 0.2 | 9.1 ± 0.3 | 9.0 ± 0.3 | 10.5 ± 0.3 | 11.2 ± 0.3 | - |
| VP (cm3g−1) | 0.038 ± 0.001 | 0.010 ± 0.0003 | 0.006 ± 0.0002 | 0.011 ± 0.0003 | 0.021 ± 0.0006 | 0.024 ± 0.0007 | - |
| ∆Ep (mV) | 400.2 ± 12 | 605.7 ± 18 | 182.0 ± 5.5 | 174.6 ± 5.2 | 205.2 ± 6.2 | 184.1 ± 5.5 | 182.2 ± 5.5 |
| ip,a (µA) | 12.7 ± 0.4 | 118.6 ± 3.6 | 230.3 ± 6.9 | 136.3 ± 4.1 | 211.7 ± 6.4 | 147.8 ± 4.4 | 217.8 ± 6.5 |
| Cdl (mFcm−2) | 1.1 ± 0.03 | 1.5 ± 0.04 | 1.3 ± 0.04 | 1.4 ± 0.04 | 1.5 ± 0.04 | 1.2 ± 0.04 | 1.0 ± 0.03 |
| Sample | PPS0 | PPS1 | PPS2 | PPS3 | PPS4 | PPS5 | PPS (Uncoated) |
|---|---|---|---|---|---|---|---|
| ε (MPa) | 167 ± 2 | 276 ± 1 | 318 ± 14 | 244 ± 17 | 262 ± 42 | 245 ± 40 | 286 ± 3 |
| τ (%) * | 8 ± 3 | 14 ± 6 | 16 ± 4 | 15 ± 1 | 20 ± 6 | 14 ± 5 | 41 ± 8 |
| Tensile Strength (MPa) | 4 ± 0.2 | 8 ± 0.1 | 10 ± 0.2 | 7.28 ± 0.3 | 9 ± 0.3 | 8.26 ± 0.2 | 11 ± 0.2 |
| TGA Residue (%) | 75.91 ± 2.3 | 54.39 ± 1.6 | 59.15 ± 1.8 | 55.97 ± 1.7 | 58.61 ± 1.8 | 53.24 ± 1.6 | 0.61 ± 0.02 |
| Tm (°C) | 155.97 ± 0.5 | 154.78 ± 0.5 | 155.98 ± 0.5 | 155.7 ± 0.5 | 156.07 ± 0.5 | 155.92 ± 0.5 | 151.16 ± 0.5 |
| Tp1 (°C) | - | 161.15 ± 0.5 | - | - | - | 161.29 ± 0.5 | 158.99 ± 0.5 |
| Tp2 (°C) | 162.23 ± 0.5 | 172.28 ± 0.5 | 162.33 ± 0.5 | 161.8 ± 0.5 | 162.4 ± 0.5 | 168.54 ± 0.5 | 166.92 ± 0.5 |
| xc (%) | 57.24 ± 1.7 | 39.58 ± 1.2 | 39.8 ± 1.2 | 34.07 ± 1.0 | 36.25 ± 1.1 | 43.24 ± 1.3 | 27.83 ± 0.8 |
| Sample | PPS0 | PPS1 | PPS2 | PPS3 | PPS4 | PPS5 | PPS |
|---|---|---|---|---|---|---|---|
| Total thickness (µm) * | 41.0 ± 0.8 | 39.0 ± 0.8 | 40.0 ± 0.8 | 41.3 ± 0.8 | 39.9 ± 0.8 | 41.3 ± 0.8 | 25.0 ± 0.5 |
| Rct (Ω)—Fresh cell | 339.7 ± 10.2 | 538.7 ± 16.2 | 387.1 ± 11.6 | 392.0 ± 11.8 | 313.5 ± 9.4 | 331.2 ± 9.9 | 332.5 ± 10.0 |
| Rct (Ω)—Cycled cell | 75.1 ± 2.3 | 102.7 ± 3.1 | 103.6 ± 3.1 | 124.8 ± 3.7 | 113.7 ± 3.4 | 93.9 ± 2.8 | 229.5 ± 6.9 |
| σ (S cm−1) × 10−4 | 3.57 ± 0.11 | 4.94 ± 0.15 | 5.61 ± 0.17 | 5.10 ± 0.15 | 4.84 ± 0.15 | 5.15 ± 0.15 | 4.95 ± 0.15 |
| Coulombic efficiency (%) | 99.13 ± 0.5 | 98.48 ± 0.5 | 98.52 ± 0.5 | 96.55 ± 0.5 | 99.80 ± 0.5 | 95.40 ± 0.5 | 96.08 ± 0.5 |
| Coating Material | Separator Support | Thermal Stability (Max Without Failure) | Thermal Shrinkage at 150 °C (%) | Ionic Conductivity (mS cm−1) | Coulombic Efficiency (%) | Reference |
|---|---|---|---|---|---|---|
| CaTiSiO5 (this work) | PP (Celgard® 2500) | 275 °C (24% shrinkage) | <5% | 0.48 | 99.80 | - |
| Al2O3 | PP/PE/PP | 170 °C | <10% | 0.45 | 98.0 | [13] |
| SiO2/Al2O3 composite | PP | 165 °C | <15% | 0.38 | 97.2 | [14] |
| Al2O3/PTFE | PP | 200 °C | <3% | 0.68 | 99.1 | [17] |
| Clay mineral | PP | 180 °C | <8% | 0.42 | 98.5 | [53] |
| GO (graphene oxide) | PP | 300 °C | <2% | 0.72 | 99.3 | [16] |
Disclaimer/Publisher’s Note: The statements, opinions and data contained in all publications are solely those of the individual author(s) and contributor(s) and not of MDPI and/or the editor(s). MDPI and/or the editor(s) disclaim responsibility for any injury to people or property resulting from any ideas, methods, instructions or products referred to in the content. |
© 2026 by the authors. Licensee MDPI, Basel, Switzerland. This article is an open access article distributed under the terms and conditions of the Creative Commons Attribution (CC BY) license.
Share and Cite
Ruiz-Ramirez, M.M.; Trujillo-Navarrete, B.; Félix-Navarro, R.M.; Rodríguez-Barreras, J.R.; Pérez-Cabrera, L.; Zizumbo-López, A.; Hinostroza-Mojarro, J.J. Ball Milling Modification of Titanite Powders for Enhancing the Thermal Stability of Polypropylene Separators for Lithium-Ion Batteries. Sustain. Chem. 2026, 7, 14. https://doi.org/10.3390/suschem7010014
Ruiz-Ramirez MM, Trujillo-Navarrete B, Félix-Navarro RM, Rodríguez-Barreras JR, Pérez-Cabrera L, Zizumbo-López A, Hinostroza-Mojarro JJ. Ball Milling Modification of Titanite Powders for Enhancing the Thermal Stability of Polypropylene Separators for Lithium-Ion Batteries. Sustainable Chemistry. 2026; 7(1):14. https://doi.org/10.3390/suschem7010014
Chicago/Turabian StyleRuiz-Ramirez, Mirza Mariela, Balter Trujillo-Navarrete, Rosa María Félix-Navarro, Jassiel Rolando Rodríguez-Barreras, Luis Pérez-Cabrera, Arturo Zizumbo-López, and Juan José Hinostroza-Mojarro. 2026. "Ball Milling Modification of Titanite Powders for Enhancing the Thermal Stability of Polypropylene Separators for Lithium-Ion Batteries" Sustainable Chemistry 7, no. 1: 14. https://doi.org/10.3390/suschem7010014
APA StyleRuiz-Ramirez, M. M., Trujillo-Navarrete, B., Félix-Navarro, R. M., Rodríguez-Barreras, J. R., Pérez-Cabrera, L., Zizumbo-López, A., & Hinostroza-Mojarro, J. J. (2026). Ball Milling Modification of Titanite Powders for Enhancing the Thermal Stability of Polypropylene Separators for Lithium-Ion Batteries. Sustainable Chemistry, 7(1), 14. https://doi.org/10.3390/suschem7010014

