Catalytic Upgrading of Ethanol to 1-Butanol Biofuel Additive Using Pd/MgO-Al2O3 and Bimetallic Pd-Cu/MgO-Al2O3 Mixed Oxide Catalysts
Abstract
1. Introduction
2. Materials and Methods
2.1. Catalyst Preparation
2.2. Catalysts Characterization
2.2.1. X-Ray Powder Diffraction (XRPD)
2.2.2. Transmission Electron Microscopy (TEM)
2.2.3. The Specific Surface Area (SSA) of the Catalyst
2.2.4. Temperature-Programmed H2-Reduction (H2-TPR)
2.2.5. CO Pulse Chemisorption
2.2.6. Fourier-Transform Infrared (FT-IR) Spectroscopy
2.2.7. Quasi-Operando Diffuse Reflectance Infrared Fourier-Transform (DRIFT) Spectroscopy
2.3. Catalytic Tests
3. Results and Discussion
3.1. Catalyst Structure
3.1.1. The MgO-Al2O3 Mixed Oxide Used as Support Material
3.1.2. The Metal-Promoted MgO-Al2O3 Mixed Oxide Catalysts
3.1.3. Characteristics of the Metal Components of the Metal-Promoted MgO-Al2O3 Mixed Oxide Catalysts
3.2. Catalytic Properties
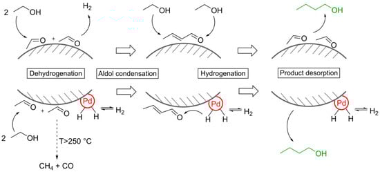
3.3. Formation and Transformation of Surface Species
4. Conclusions
Supplementary Materials
Author Contributions
Funding
Institutional Review Board Statement
Informed Consent Statement
Data Availability Statement
Conflicts of Interest
Abbreviations
| BET method | Brunauer-Emmet-Teller method |
| DRIFT spectroscopy | Diffuse Reflectance Infrared Fourier-Transform spectroscopy |
| FT-IR | Fourier-Transform Infrared Spectroscopy |
| HDO | Hydrodeoxygenation |
| H2-TPR | Temperature-Programmed H2-Reduction |
| MPV mechanism | Meerwein-Ponndorf-Verley mechanism |
| SSA | Specific surface area |
| TEM | Transmission Electron Microscopy |
| TPD | Temperature-Programmed Desorption |
| WHSV | Weight Hourly Space Velocity |
| XRPD | X-ray Powder Diffraction |
References
- Dürre, P. Biobutanol: An Attractive Biofuel. Biotechnol. J. 2007, 2, 1525–1534. [Google Scholar] [CrossRef] [PubMed]
- Trindade, W.R.d.S.; Santos, R.G. dos Review on the Characteristics of Butanol, Its Production and Use as Fuel in Internal Combustion Engines. Renew. Sustain. Energy Rev. 2017, 69, 642–651. [Google Scholar] [CrossRef]
- Nair, P.; Meenakshi, H.N. Review on the Synthesis, Performance and Trends of Butanol: A Cleaner Fuel Additive for Gasoline. Int. J. Ambient Energy 2022, 43, 4207–4223. [Google Scholar] [CrossRef]
- Gabriëls, D.; Hernández, W.Y.; Sels, B.; Van Der Voort, P.; Verberckmoes, A. Review of Catalytic Systems and Thermodynamics for the Guerbet Condensation Reaction and Challenges for Biomass Valorization. Catal. Sci. Technol. 2015, 5, 3876–3902. [Google Scholar] [CrossRef]
- Wu, X.; Fang, G.; Tong, Y.; Jiang, D.; Liang, Z.; Leng, W.; Liu, L.; Tu, P.; Wang, H.; Ni, J.; et al. Catalytic Upgrading of Ethanol to n-Butanol: Progress in Catalyst Development. ChemSusChem 2018, 11, 71–85. [Google Scholar] [CrossRef] [PubMed]
- Moteki, T.; Flaherty, D.W. Mechanistic Insight to C–C Bond Formation and Predictive Models for Cascade Reactions among Alcohols on Ca- and Sr-Hydroxyapatites. ACS Catal. 2016, 6, 4170–4183. [Google Scholar] [CrossRef]
- Ho, C.R.; Shylesh, S.; Bell, A.T. Mechanism and Kinetics of Ethanol Coupling to Butanol over Hydroxyapatite. ACS Catal. 2016, 6, 939–948. [Google Scholar] [CrossRef]
- Yang, C.; Meng, Z.Y. Bimolecular Condensation of Ethanol to 1-Butanol Catalyzed by Alkali Cation Zeolites. J. Catal. 1993, 142, 37–44. [Google Scholar] [CrossRef]
- Ndou, A. Dimerisation of Ethanol to Butanol over Solid-Base Catalysts. Appl. Catal. A Gen. 2003, 251, 337–345. [Google Scholar] [CrossRef]
- Scalbert, J.; Thibault-Starzyk, F.; Jacquot, R.; Morvan, D.; Meunier, F. Ethanol Condensation to Butanol at High Temperatures over a Basic Heterogeneous Catalyst: How Relevant Is Acetaldehyde Self-Aldolization? J. Catal. 2014, 311, 28–32. [Google Scholar] [CrossRef]
- Meunier, F.C.; Scalbert, J.; Thibault-Starzyk, F. Unraveling the Mechanism of Chemical Reactions through Thermodynamic Analyses: A Short Review. Appl. Catal. A Gen. 2015, 504, 220–227. [Google Scholar] [CrossRef]
- de Souza, E.F.; Pacheco, H.P.; Miyake, N.; Davis, R.J.; Toniolo, F.S. Computational and Experimental Mechanistic Insights into the Ethanol-to-Butanol Upgrading Reaction over MgO. ACS Catal. 2020, 10, 15162–15177. [Google Scholar] [CrossRef]
- Galadima, A.; Muraza, O. Zeolite Catalysts in Upgrading of Bioethanol to Fuels Range Hydrocarbons: A Review. J. Ind. Eng. Chem. 2015, 31, 1–14. [Google Scholar] [CrossRef]
- Di Cosimo, J.I.; Díez, V.K.; Xu, M.; Iglesia, E.; Apesteguía, C.R. Structure and Surface and Catalytic Properties of Mg-Al Basic Oxides. J. Catal. 1998, 178, 499–510. [Google Scholar] [CrossRef]
- Di Cosimo, J.I.; Apesteguía, C.R.; Ginés, M.J.L.; Iglesia, E. Structural Requirements and Reaction Pathways in Condensation Reactions of Alcohols on MgyAlOx Catalysts. J. Catal. 2000, 190, 261–275. [Google Scholar] [CrossRef]
- Ramasamy, K.K.; Gray, M.; Job, H.; Santosa, D.; Li, X.S.; Devaraj, A.; Karkamkar, A.; Wang, Y. Role of Calcination Temperature on the Hydrotalcite Derived MgO–Al2O3 in Converting Ethanol to Butanol. Top. Catal. 2016, 59, 46–54. [Google Scholar] [CrossRef]
- Tian, W.; Herrera, J.E. Catalytic Relevance of Mg-Al-O Basic Centers in the Upgrade of Ethanol to n-Butanol. ChemCatChem 2024, 16, e202400225. [Google Scholar] [CrossRef]
- Debecker, D.P.; Gaigneaux, E.M.; Busca, G. Exploring, Tuning, and Exploiting the Basicity of Hydrotalcites for Applications in Heterogeneous Catalysis. Chem.-A Eur. J. 2009, 15, 3920–3935. [Google Scholar] [CrossRef]
- Vikár, A.; Lónyi, F.; Makoye, A.; Nagy, T.; Novodárszki, G.; Barthos, R.; Szabó, B.; Valyon, J.; Mihályi, M.R.; Deka, D.; et al. Ethanol Coupling Reactions over MgO–Al2O3 Mixed Oxide-Based Catalysts for Producing Biofuel Additives. Molecules 2023, 28, 3788. [Google Scholar] [CrossRef]
- Makoye, A.; Vikár, A.; Nacsa, A.B.; Barthos, R.; Valyon, J.; Lónyi, F.; Nagy, T. Experimental and Kinetic Modelling Study of the Heterogeneous Catalytic Conversion of Bioethanol into N-Butanol Using MgO–Al2O3 Mixed Oxide Catalyst. Catalysts 2025, 15, 709. [Google Scholar] [CrossRef]
- Benito, P.; Vaccari, A.; Antonetti, C.; Licursi, D.; Schiarioli, N.; Rodriguez-Castellón, E.; Raspolli Galletti, A.M. Tunable Copper-Hydrotalcite Derived Mixed Oxides for Sustainable Ethanol Condensation to n-Butanol in Liquid Phase. J. Clean. Prod. 2019, 209, 1614–1623. [Google Scholar] [CrossRef]
- Quesada, J.; Faba, L.; Díaz, E.; Ordóñez, S. Tuning the Selectivities of Mg-Al Mixed Oxides for Ethanol Upgrading Reactions through the Presence of Transition Metals. Appl. Catal. A Gen. 2018, 559, 167–174. [Google Scholar] [CrossRef]
- Quesada, J.; Faba, L.; Díaz, E.; Ordóñez, S. Enhancement of the 1-Butanol Productivity in the Ethanol Condensation Catalyzed by Noble Metal Nanoparticles Supported on Mg-Al Mixed Oxide. Appl. Catal. A Gen. 2018, 563, 64–72. [Google Scholar] [CrossRef]
- Mück, J.; Kocík, J.; Hájek, M.; Tišler, Z.; Frolich, K.; Kašpárek, A. Transition Metals Promoting Mg-Al Mixed Oxides for Conversion of Ethanol to Butanol and Other Valuable Products: Reaction Pathways. Appl. Catal. A Gen. 2021, 626, 118380. [Google Scholar] [CrossRef]
- Goulas, K.A.; Sreekumar, S.; Song, Y.; Kharidehal, P.; Gunbas, G.; Dietrich, P.J.; Johnson, G.R.; Wang, Y.C.; Grippo, A.M.; Grabow, L.C.; et al. Synergistic Effects in Bimetallic Palladium-Copper Catalysts Improve Selectivity in Oxygenate Coupling Reactions. J. Am. Chem. Soc. 2016, 138, 6805–6812. [Google Scholar] [CrossRef]
- Bathena, T.; Phung, T.; Svadlenak, S.R.; Liu, Y.; Grabow, L.C.; Goulas, K.A. Oxygenate Reactions over PdCu and PdAg Catalysts: Distinguishing Electronic and Geometric Effects on Reactivity and Selectivity. ACS Catal. 2022, 12, 5766–5775. [Google Scholar] [CrossRef]
- Liu, L.; Corma, A. Bimetallic Sites for Catalysis: From Binuclear Metal Sites to Bimetallic Nanoclusters and Nanoparticles. Chem. Rev. 2023, 123, 4855–4933. [Google Scholar] [CrossRef]
- Jiang, X.; Koizumi, N.; Guo, X.; Song, C. Bimetallic Pd–Cu Catalysts for Selective CO2 Hydrogenation to Methanol. Appl. Catal. B Environ. 2015, 170–171, 173–185. [Google Scholar] [CrossRef]
- Xue, F.; Li, Q.; Lv, M.; Weng, S.; Li, T.; Ren, Y.; Liu, Y.; Li, D.; He, Y.; Li, Q.; et al. Decoding Active Sites for Highly Efficient Semihydrogenation of Acetylene in Palladium-Copper Nanoalloys. Nano Lett. 2024, 24, 6269–6277. [Google Scholar] [CrossRef] [PubMed]
- Da Silva, F.P.; Fiorio, J.L.; Gonçalves, R.V.; Teixeira-Neto, E.; Rossi, L.M. Synergic Effect of Copper and Palladium for Selective Hydrogenation of Alkynes. Ind. Eng. Chem. Res. 2018, 57, 16209–16216. [Google Scholar] [CrossRef]
- Parida, K.; Mohapatra, L.; Baliarsingh, N. Effect of Co2+ Substitution in the Framework of Carbonate Intercalated Cu/Cr LDH on Structural, Electronic, Optical, and Photocatalytic Properties. J. Phys. Chem. C 2012, 116, 22417–22424. [Google Scholar] [CrossRef]
- Han, J.; Zeng, H.-Y.; Xu, S.; Chen, C.-R.; Liu, X.-J. Catalytic Properties of CuMgAlO Catalyst and Degradation Mechanism in CWPO of Methyl Orange. Appl. Catal. A Gen. 2016, 527, 72–80. [Google Scholar] [CrossRef]
- Batista, J.; Pintar, A.; Mandrino, D.; Jenko, M.; Martin, V. XPS and TPR Examinations of γ-Alumina-Supported Pd-Cu Catalysts. Appl. Catal. A Gen. 2001, 206, 113–124. [Google Scholar] [CrossRef]
- Ota, A.; Kunkes, E.L.; Kasatkin, I.; Groppo, E.; Ferri, D.; Poceiro, B.; Navarro Yerga, R.M.; Behrens, M. Comparative Study of Hydrotalcite-Derived Supported Pd2Ga and PdZn Intermetallic Nanoparticles as Methanol Synthesis and Methanol Steam Reforming Catalysts. J. Catal. 2012, 293, 27–38. [Google Scholar] [CrossRef]
- Bhogeswararao, S.; Srinivas, D. Catalytic Conversion of Furfural to Industrial Chemicals over Supported Pt and Pd Catalysts. J. Catal. 2015, 327, 65–77. [Google Scholar] [CrossRef]
- Corma, A.; García, H.; Primo, A. Palladium and Copper Supported on Mixed Oxides Derived from Hydrotalcite as Reusable Solid Catalysts for the Sonogashira Coupling. J. Catal. 2006, 241, 123–131. [Google Scholar] [CrossRef]
- Hurst, N.W.; Gentry, S.J.; Jones, A.; McNicol, B.D. Temperature Programmed Reduction. Catal. Rev. 1982, 24, 233–309. [Google Scholar] [CrossRef]
- Meshesha, B.T.; Barrabés, N.; Llorca, J.; Dafinov, A.; Medina, F.; Föttinger, K. PdCu Alloy Nanoparticles on Alumina as Selective Catalysts for Trichloroethylene Hydrodechlorination to Ethylene. Appl. Catal. A Gen. 2013, 453, 130–141. [Google Scholar] [CrossRef]
- De Castro, L.; Sahsah, D.; Heyden, A.; Regalbuto, J.; Williams, C. Dilute Limit Alloy Pd–Cu Bimetallic Catalysts Prepared by Simultaneous Strong Electrostatic Adsorption: A Combined Infrared Spectroscopic and Density Functional Theory Investigation. J. Phys. Chem. C 2022, 126, 11111–11128. [Google Scholar] [CrossRef]
- Foger, K. Dispersed Metal Catalysts. In Catalysis: Science and Technology; Springer: Berlin/Heidelberg, Germany, 1984; Volume 6, pp. 227–305. [Google Scholar]
- Bergeret, G.; Gallezot, P. Particle Size and Dispersion Measurements. In Handbook of Heterogeneous Catalysis; Ertl, G., Knözinger, H., Schüth, F., Weitkamp, J., Eds.; Wiley: Weinheim, Germany, 2008; pp. 738–765. [Google Scholar]
- Gholinejad, M.; Khosravi, F.; Afrasi, M.; Sansano, J.M.; Nájera, C. Applications of Bimetallic PdCu Catalysts. Catal. Sci. Technol. 2021, 11, 2652–2702. [Google Scholar] [CrossRef]
- Sheppard, N.; Nguyen, T.T. The Vibrational Spectra of Carbon Monoxide Chemisorbed on the Surfaces of Metal Catalysts—A Suggested Scheme of Interpretation. In Advances in Infrared and Raman Spectroscopy; Clark, R.J.H., Hester, R.E., Eds.; Heyden: London, UK, 1978; Volume 5, p. 95. [Google Scholar]
- Nikolaev, S.A.; Tsodikov, M.V.; Chistyakov, A.V.; Chistyakova, P.A.; Ezzhelenko, D.I.; Shilina, M.I. PdCu Nanoalloy Supported on Alumina: A Stable and Selective Catalyst for the Conversion of Bioethanol to Linear α-Alcohols. Catal. Today 2021, 379, 50–61. [Google Scholar] [CrossRef]
- Goulas, K.A.; Song, Y.; Johnson, G.R.; Chen, J.P.; Gokhale, A.A.; Grabow, L.C.; Toste, F.D. Selectivity Tuning over Monometallic and Bimetallic Dehydrogenation Catalysts: Effects of Support and Particle Size. Catal. Sci. Technol. 2018, 8, 314–327. [Google Scholar] [CrossRef]
- Bravo-Suárez, J.J.; Subramaniam, B.; Chaudhari, R.V. Vapor-Phase Methanol and Ethanol Coupling Reactions on CuMgAl Mixed Metal Oxides. Appl. Catal. A Gen. 2013, 455, 234–246. [Google Scholar] [CrossRef]
- Sun, Z.; Couto Vasconcelos, A.; Bottari, G.; Stuart, M.C.A.; Bonura, G.; Cannilla, C.; Frusteri, F.; Barta, K. Efficient Catalytic Conversion of Ethanol to 1-Butanol via the Guerbet Reaction over Copper- and Nickel-Doped Porous. ACS Sustain. Chem. Eng. 2017, 5, 1738–1746. [Google Scholar] [CrossRef]
- Cuello-Penaloza, P.A.; Chavarrio-Cañas, J.; Du, Y.; Lanci, M.P.; Maedke, D.A.; Dumesic, J.A.; Huber, G.W. Reaction Chemistry of Ethanol Oligomerization to Distillate-Range Molecules Using Low Loading Cu/MgxAlOy Catalysts. Appl. Catal. B Environ. 2022, 318, 121821. [Google Scholar] [CrossRef]
- Gines, M.J.L.; Iglesia, E. Bifunctional Condensation Reactions of Alcohols on Basic Oxides Modified by Copper and Potassium. J. Catal. 1998, 176, 155–172. [Google Scholar] [CrossRef]
- Ordomsky, V.V.; Sushkevich, V.L.; Ivanova, I.I. Study of Acetaldehyde Condensation Chemistry over Magnesia and Zirconia Supported on Silica. J. Mol. Catal. A Chem. 2010, 333, 85–93. [Google Scholar] [CrossRef]
- Hussein, G.A.M.; Sheppard, N.; Zaki, M.I.; Fahim, R.B. Infrared Spectroscopic Studies of the Reactions of Alcohols over Group IVB Metal Oxide Catalysts. Part 2.—Methanol over TiO2, ZrO2 and HfO2. J. Chem. Soc. Faraday Trans. 1991, 87, 2655–2659. [Google Scholar] [CrossRef]
- Chieregato, A.; Velasquez Ochoa, J.; Bandinelli, C.; Fornasari, G.; Cavani, F.; Mella, M. On the Chemistry of Ethanol on Basic Oxides: Revising Mechanisms and Intermediates in the Lebedev and Guerbet Reactions. ChemSusChem 2015, 8, 377–388. [Google Scholar] [CrossRef]
- Yan, T.; Dai, W.; Wu, G.; Lang, S.; Hunger, M.; Guan, N.; Li, L. Mechanistic Insights into One-Step Catalytic Conversion of Ethanol to Butadiene over Bifunctional Zn–Y/Beta Zeolite. ACS Catal. 2018, 8, 2760–2773. [Google Scholar] [CrossRef]
- Wu, W.-C.; Chuang, C.-C.; Lin, J.-L. Bonding Geometry and Reactivity of Methoxy and Ethoxy Groups Adsorbed on Powdered TiO2. J. Phys. Chem. B 2000, 104, 8719–8724. [Google Scholar] [CrossRef]
- Liao, L.-F.; Wu, W.-C.; Chen, C.-Y.; Lin, J.-L. Photooxidation of Formic Acid vs Formate and Ethanol vs Ethoxy on TiO2 and Effect of Adsorbed Water on the Rates of Formate and Formic Acid Photooxidation. J. Phys. Chem. B 2001, 105, 7678–7685. [Google Scholar] [CrossRef]
- Coronado, J.M.; Kataoka, S.; Tejedor-Tejedor, I.; Anderson, M.A. Dynamic Phenomena during the Photocatalytic Oxidation of Ethanol and Acetone over Nanocrystalline TiO2: Simultaneous FTIR Analysis of Gas and Surface Species. J. Catal. 2003, 219, 219–230. [Google Scholar] [CrossRef]
- Bensitel, M.; Moraver, V.; Lamotte, J.; Saur, O.; Lavalley, J.C. Infrared Study of Alcohols Adsorption on Zirconium Oxide: Reactivity of Alkoxy Species towards CO2. Spectrochim. Acta-Part A Mol. Spectrosc. 1987, 43, 1487–1491. [Google Scholar] [CrossRef]
- Kaichev, V.V.; Chesalov, Y.A.; Saraev, A.A.; Klyushin, A.Y.; Knop-Gericke, A.; Andrushkevich, T.V.; Bukhtiyarov, V.I. Redox Mechanism for Selective Oxidation of Ethanol over Monolayer V2O5/TiO2 Catalysts. J. Catal. 2016, 338, 82–93. [Google Scholar] [CrossRef]
- Yuan, B.; Zhang, J.; An, Z.; Zhu, Y.; Shu, X.; Song, H.; Xiang, X.; Wang, W.; Jing, Y.; Zheng, L.; et al. Atomic Ru Catalysis for Ethanol Coupling to C4+ Alcohols. Appl. Catal. B Environ. 2022, 309, 121271. [Google Scholar] [CrossRef]
- Podobiński, J.; Śliwa, M.; Datka, J. Ethoxy Groups on ZrO2, CuO, and CuO/ZrO2 Studied by IR Spectroscopy. Molecules 2022, 27, 4790. [Google Scholar] [CrossRef]
- Molina-Ramírez, S.; Cortés-Reyes, M.; Herrera, C.; Larrubia, M.A.; Alemany, L.J. Catalytic Upgrading of Ethanol to N-Butanol over a Novel Ca-Fe Modified Mixed Oxide Mg-Al Catalyst from Hydrotalcite-Base Precursor. Catal. Today 2022, 394–396, 365–375. [Google Scholar] [CrossRef]
- Müller, P.; Burt, S.P.; Love, A.M.; McDermott, W.P.; Wolf, P.; Hermans, I. Mechanistic Study on the Lewis Acid Catalyzed Synthesis of 1,3-Butadiene over Ta-BEA Using Modulated Operando DRIFTS-MS. ACS Catal. 2016, 6, 6823–6832. [Google Scholar] [CrossRef]
- Wang, S.; Cendejas, M.C.; Hermans, I. Insights into Ethanol Coupling over Hydroxyapatite Using Modulation Excitation Operando Infrared Spectroscopy. ChemCatChem 2020, 12, 4167–4175. [Google Scholar] [CrossRef]
- Yee, A.; Morrison, S.J.; Idriss, H. A Study of the Reactions of Ethanol on CeO2 and Pd/CeO2 by Steady State Reactions, Temperature Programmed Desorption, and In Situ FT-IR. J. Catal. 1999, 186, 279–295. [Google Scholar] [CrossRef]
- Carvalho, D.L.; Borges, L.E.P.; Appel, L.G.; Ramírez de la Piscina, P.; Homs, N. In Situ Infrared Spectroscopic Study of the Reaction Pathway of the Direct Synthesis of N-Butanol from Ethanol over MgAl Mixed-Oxide Catalysts. Catal. Today 2013, 213, 115–121. [Google Scholar] [CrossRef]
- Zhang, J.; Shi, K.; An, Z.; Zhu, Y.; Shu, X.; Song, H.; Xiang, X.; He, J. Acid–Base Promoted Dehydrogenation Coupling of Ethanol on Supported Ag Particles. Ind. Eng. Chem. Res. 2020, 59, 3342–3350. [Google Scholar] [CrossRef]
- van den Brand, J.; Blajiev, O.; Beentjes, P.C.J.; Terryn, H.; de Wit, J.H.W. Interaction of Anhydride and Carboxylic Acid Compounds with Aluminum Oxide Surfaces Studied Using Infrared Reflection Absorption Spectroscopy. Langmuir 2004, 20, 6308–6317. [Google Scholar] [CrossRef]
- Busca, G. Infrared Studies of the Reactive Adsorption of Organic Molecules over Metal Oxides and of the Mechanisms of Their Heterogeneously-Catalyzed Oxidation. Catal. Today 1996, 27, 457–496. [Google Scholar] [CrossRef]
- Young, Z.D.; Hanspal, S.; Davis, R.J. Aldol Condensation of Acetaldehyde over Titania, Hydroxyapatite, and Magnesia. ACS Catal. 2016, 6, 3193–3202. [Google Scholar] [CrossRef]
- Ramasamy, K.K.; Gray, M.; Job, H.; Smith, C.; Wang, Y. Tunable Catalytic Properties of Bi-Functional Mixed Oxides in Ethanol Conversion to High Value Compounds. Catal. Today 2016, 269, 82–87. [Google Scholar] [CrossRef]
- Quesada, J.; Faba, L.; Díaz, E.; Ordóñez, S. Role of the Surface Intermediates in the Stability of Basic Mixed Oxides as Catalyst for Ethanol Condensation. Appl. Catal. A Gen. 2017, 542, 271–281. [Google Scholar] [CrossRef]
- Hucal, A.M.; Tian, W.; Ascherl, P.C.; Herrera, J.E. Tuning of Acid/Base Functionalities in the MgAlO System for Ethanol Upgrade to n-Butanol. Catalysts 2024, 14, 868. [Google Scholar] [CrossRef]
- Portillo Crespo, M.A.; Vidal-Barrero, F.; Azancot, L.; Reina, T.R.; Campoy, M. Insights on Guerbet Reaction: Production of Biobutanol From Bioethanol Over a Mg–Al Spinel Catalyst. Front. Chem. 2022, 10, 945596. [Google Scholar] [CrossRef]
- Guo, M.F.; Gray, M.J.; Job, H.; Alvarez-Vasco, C.; Subramaniam, S.; Zhang, X.; Kovarik, L.; Murugesan, V.; Phillips, S.; Ramasamy, K.K. Uncovering the Active Sites and Demonstrating Stable Catalyst for the Cost-Effective Conversion of Ethanol to 1-Butanol. Green Chem. 2021, 23, 8030–8039. [Google Scholar] [CrossRef]
- Marcu, I.C.; Tanchoux, N.; Fajula, F.; Tichit, D. Catalytic Conversion of Ethanol into Butanol over M-Mg-Al Mixed Oxide Catalysts (M = Pd, Ag, Mn, Fe, Cu, Sm, Yb) Obtained from LDH Precursors. Catal. Letters 2013, 143, 23–30. [Google Scholar] [CrossRef]






| Catalyst ID a | Pd Cont. b, μmol/gcat. | Cu Cont. b, μmol/gcat. | SSA c, m2/g | Pore Vol., cm3/g | H2 Consumption d, μmol/gcat. | Ads. CO f, μmol/gcat. | CO/Pd g Molar Ratio |
|---|---|---|---|---|---|---|---|
| Pd1.0/ MgO-Al2O3 | 93.7 | 0 | 176 | 0.22 | 29.99 (0.64) e | 14.97 | 0.16 |
| Pd0.75Cu0.25/ MgO-Al2O3 | 70.1 | 23.1 | 134 | 0.24 | 36.79 (0.78) e | 27.22 | 0.39 |
| Pd0.5Cu0.5/ MgO-Al2O3 | 46.9 | 46.2 | 140 | 0.23 | 52.90 (1.13) e | 12.60 | 0.27 |
| Pd0.25Cu0.75/ MgO-Al2O3 | 23.3 | 70.3 | 134 | 0.23 | 70.55 (1.50) e | 2.61 | 0.11 |
| Cu1.0/ MgO-Al2O3 | 0 | 94.1 | 152 | 0.22 | 92.59 (1.97) e | 0.28 | - |
Disclaimer/Publisher’s Note: The statements, opinions and data contained in all publications are solely those of the individual author(s) and contributor(s) and not of MDPI and/or the editor(s). MDPI and/or the editor(s) disclaim responsibility for any injury to people or property resulting from any ideas, methods, instructions or products referred to in the content. |
© 2025 by the authors. Licensee MDPI, Basel, Switzerland. This article is an open access article distributed under the terms and conditions of the Creative Commons Attribution (CC BY) license (https://creativecommons.org/licenses/by/4.0/).
Share and Cite
Makoye, A.; Lónyi, F.; Solt, H.E.; Cannilla, C.; Bonura, G.; Novodárszki, G.; Barthos, R.; Valyon, J.; Nagy, T.; Vikár, A. Catalytic Upgrading of Ethanol to 1-Butanol Biofuel Additive Using Pd/MgO-Al2O3 and Bimetallic Pd-Cu/MgO-Al2O3 Mixed Oxide Catalysts. Sustain. Chem. 2025, 6, 44. https://doi.org/10.3390/suschem6040044
Makoye A, Lónyi F, Solt HE, Cannilla C, Bonura G, Novodárszki G, Barthos R, Valyon J, Nagy T, Vikár A. Catalytic Upgrading of Ethanol to 1-Butanol Biofuel Additive Using Pd/MgO-Al2O3 and Bimetallic Pd-Cu/MgO-Al2O3 Mixed Oxide Catalysts. Sustainable Chemistry. 2025; 6(4):44. https://doi.org/10.3390/suschem6040044
Chicago/Turabian StyleMakoye, Amosi, Ferenc Lónyi, Hanna E. Solt, Catia Cannilla, Giuseppe Bonura, Gyula Novodárszki, Róbert Barthos, József Valyon, Tibor Nagy, and Anna Vikár. 2025. "Catalytic Upgrading of Ethanol to 1-Butanol Biofuel Additive Using Pd/MgO-Al2O3 and Bimetallic Pd-Cu/MgO-Al2O3 Mixed Oxide Catalysts" Sustainable Chemistry 6, no. 4: 44. https://doi.org/10.3390/suschem6040044
APA StyleMakoye, A., Lónyi, F., Solt, H. E., Cannilla, C., Bonura, G., Novodárszki, G., Barthos, R., Valyon, J., Nagy, T., & Vikár, A. (2025). Catalytic Upgrading of Ethanol to 1-Butanol Biofuel Additive Using Pd/MgO-Al2O3 and Bimetallic Pd-Cu/MgO-Al2O3 Mixed Oxide Catalysts. Sustainable Chemistry, 6(4), 44. https://doi.org/10.3390/suschem6040044

