Next Article in Journal
Implicit Quiescent Solitons in Optical Metamaterials with Nonlinear Chromatic Dispersion and an Array of Self-Phase Modulation Structures with Generalized Temporal Evolution by Lie Symmetry
Previous Article in Journal
Leveraging 5G RedCap and Spiking Neural Networks for Energy Efficiency in Edge Devices
Previous Article in Special Issue
Performance Analysis of Generalized Quadrature Spatial Modulation with Quasi-Orthogonal Space-Time Block Codes Under Nakagami m-Fading Channels
 
 
Font Type:
Arial Georgia Verdana
Font Size:
Aa Aa Aa
Line Spacing:
Column Width:
Background:
Article

Analysis of Security–Reliability Tradeoff of Two-Way Hybrid Satellite–Terrestrial Relay Schemes Using Fountain Codes, Successive Interference Cancelation, Digital Network Coding, Partial Relay Selection, and Cooperative Jamming

1
Faculty of Electrical and Electronics Engineering, Ho Chi Minh City University of Technology and Education (HCMUTE), Ho Chi Minh City 700000, Vietnam
2
Faculty of Electronics Technology, Industrial University of Ho Chi Minh City, Ho Chi Minh City 700000, Vietnam
3
Faculty of Telecommunications 2, Posts and Telecommunications Institute of Technology (PTIT), Ha Noi 100000, Vietnam
*
Author to whom correspondence should be addressed.
Submission received: 19 November 2025 / Revised: 16 December 2025 / Accepted: 24 December 2025 / Published: 4 January 2026
(This article belongs to the Special Issue Performance Criteria for Advanced Wireless Communications)

Abstract

In this paper, we propose a two-way hybrid satellite–terrestrial relay scheme employing Fountain codes (FCs). In the proposed model, a satellite and a ground user exchange data through a group of terrestrial relay stations, in the presence of an eavesdropper. In the first phase, the satellite and the ground user simultaneously transmit their encoded packets to the relay stations. The relay stations then apply a successive interference cancelation (SIC) technique to decode the received packets. To reduce the quality of the eavesdropping links, a cooperative jammer is employed to transmit jamming signals toward the eavesdropper during the first phase. Next, one of the relay stations which can successfully decode the encoded packets from both the satellite and the ground user is selected for data forwarding, by using a partial relay selection method. Then, this selected relay performs an XOR operation on the two encoded packets, and then broadcasts the XOR-ed packet to both the satellite and the user in the second phase. We derive exact closed-form expressions of outage probability (OP), system outage probability (SOP), intercept probability (IP), and system intercept probability (SIP), and realize simulations to validate these expressions. This paper also studies the trade-off between OP (SOP) and IP (SIP), as well as the impact of various system parameters on the performance of the proposed scheme.

1. Introduction

Hybrid satellite–terrestrial relay HSTR schemes have emerged as a promising solution to overcome the inherent limitations of conventional satellite and terrestrial systems [1,2,3], where terrestrial relay stations are used to support the communication link between the satellite and ground users. The HSTR models can enhance the system throughput and reliability, and they are considered as a key enabler for beyond-5G and 6G networks. In recent years, research on the HSTR systems have advanced in several closely related directions, including system reliability improvement, physical-layer security, spectrum sharing, and advanced multiple-access schemes. For example, the authors in ref. [4] presented a space–air–ground free-space optical network that employs a high-altitude relay to improve the robustness of satellite communication links. Beyond reliability enhancement, security has become a critical concern in the HSTR systems due to the broadcast nature of satellite transmissions. In refs. [5,6], the authors investigated the secrecy performance of the HSTR schemes in the presence of eavesdroppers. Specifically, ref. [5] focused on the secure HSTR scenarios with multiple eavesdroppers, whereas reference [6] introduced relay station selection methods to enhance secrecy outage probability. The authors in ref. [7] analyzed the relationship between intercept probability IP at the eavesdropper and outage probability OP at the legitimate receiver for the secure HSTR models. In addition, reference [7] introduced both full relay selection FRS and partial relay selection PRS to improve the security–reliability trade-off, under the impact of co-channel interference. These works collectively indicate that relay selection plays a pivotal role in balancing reliability and security in the HSTR networks.
Another important research direction considers spectrum efficiency through cognitive radio techniques. Published work [8] proposed the HSTR schemes operating in a cognitive radio environment, where the satellite and the relay station are secondary transmitters, and they are allowed to use the licensed spectrum if their transmissions do not degrade performance of the primary users. Meanwhile, full-duplex relaying has been explored as an effective means to further enhance spectral efficiency in the HSTR systems. In ref. [9], full-duplex relaying techniques were applied into the HSTR scheme, allowing the terrestrial stations to transmit and receive data at the same time. Moreover, the PRS technique was applied to select the best terrestrial station to improve the throughput and the OP performance, under the impact of co-channel interference. More recently, intelligent reconfigurable environments have been incorporated into the HSTR models. Reference [10] presented the HSTR scenario assisted by reconfigurable intelligent surfaces RIS . In contrast to the traditional relaying schemes, where the relay nodes actively process the received signals, RIS -aided relaying models rely on passive reflective elements that reflect the incoming signals toward the desired ground users in an optimized way. Compared with conventional active relays, RIS-assisted relaying offers a low-power and hardware-efficient alternative, making it attractive for satellite–terrestrial integration.
In parallel, non-orthogonal multiple access NOMA has been introduced into the HSTR systems to improve connectivity and spectral efficiency. In refs. [11,12,13], NOMA is applied into the HSTR systems, enabling the satellite to transmit different data to multiple ground users at the same time. In addition, the ground users have to use successive interference cancelation SIC to extract their desired data from the received signals. In ref. [11], the authors derived expressions of OP for the NOMA - HSTR scheme, where the direct links between the satellite and the ground users are assumed to exist. The authors of ref. [12] studied the IP and OP performance for the secondary users in the secure cognitive NOMA - HSTR scenarios. Reference [13] evaluated the OP performance of multi-relay NOMA - HSTR models. These studies demonstrate that NOMA is an effective multiple-access technique for HSTR , but they mainly focus on fixed-rate transmissions.
Unlike the aforementioned published works, this paper considers the HSTR scheme using Fountain codes FCs . FCs [14,15,16] have proven to be effective in wireless networks due to the simple implementation and adaptability to varying environmental conditions. FCs are particularly well-suited for multi-user broadcast networks since the transmitter can generate encoded packets from its original data, and continuously send them to the intended receivers. In addition, FCs allow the receivers to recover the original data once a sufficient number of encoded packets EnPs have been collected, even in the presence of packet losses. In refs. [17,18], the authors considered the HSTR schemes employing FCs . The authors of ref. [17] evaluated the IP and OP performance for the secure HSTR scheme, with the presence of a passive eavesdropper. Moreover, reference [17] employs a cooperative jammer that not only disrupts the eavesdropper with jamming signals but also works with the ground user to eliminate the noises from the received signals. Published work [18] studied the OP - IP trade-off for the NOMA - HSTR multicast schemes using FCs and PRS. Unlike refs. [17,18], this paper studies two-way HSTR models, while refs. [17,18] only consider the one-way HSTR ones. However, these works do not address two-way information exchange, which is essential for bidirectional satellite–ground communications.
Two-way relaying TWR (refs. [19,20]) has attracted significant attention due to its capability to improve spectral efficiency and throughput by allowing two sources to communicate simultaneously in both directions through one or multiple intermediate relays. In a conventional TWR model [21], during the first two phases, the first source transmits its data to the intermediate relay, which then forwards the data to the second source. Similarly, the next two phases are used to relay data from the second source to the first source via the relay node. As a result, the conventional TWR model uses 04 phases, and it achieves a throughput of only 2 data over the four phases. To enhance throughput for the TWR models, the relays in ref. [22] perform an XOR operation on the data received from two sources at two first phases, and then transmit the XOR - ed packet to both the sources in the third phase. As a result, the TWR models in ref. [22] only use three phases, and they are called a Digital Network Coding DNC -based TWR . Published work [23] introduced two-phase TWR scenarios using Analog Network Coding ANC , where the relays amplify the signals received from two sources in the first phase, and then transmit the amplified signals to both the sources in the second phase. In refs. [24,25], the SIC and DNC techniques are jointly employed at the relays in the TWR models so that only two phases are used. Indeed, in refs. [24,25,26], two sources at the same time send their packets to the relays which will perform the SIC technique to extract the received packets. Next, the relays perform the XOR operation over two packets before broadcasting the XOR - ed packet to two sources in the second phase. Hence, both the TWR schemes using ANC and the TWR schemes using SIC and DNC only use two phases for the data exchange.
Until now, there have been several reports related to TW - HSTR models [27,28,29,30]. The authors of ref. [27] examined the TW - HSTR system integrating simultaneous wireless information and power transfer. Reference [28] analyzed the OP performance and the throughput for the TW - HSTR system using ANC and considering the effects of hardware impairments. Also, the impact of hardware imperfection on performance of the TW - HSTR networks was investigated in ref. [29], emphasizing the practical constraints introduced by non-ideal transceivers. Reference [30] proposed adaptive relay selection for TWR-HSTRNs, confirming that dynamic selection significantly improves throughput and spectral reuse efficiency. These studies confirm that the TW - HSTR networks can significantly improve spectral efficiency and throughput, yet their integration with Fountain coding and cooperative jamming remains largely unexplored.
Despite these extensive studies, the joint consideration of TW - HSTR , Fountain-coded transmissions, and cooperative jamming for physical-layer security has not yet been adequately addressed. Different from the related works [27,28,29,30], this paper proposes the TW - HSTR scheme using FCs ,   SIC ,   DNC ,   PRS and the cooperative jamming technique. In the proposed scheme, a satellite and a ground user exchange data via the help of terrestrial relay stations, with the presence of an eavesdropper. Using FCs , the satellite and the ground user generate EnPs , and exchange them with each other. In the first phase, the satellite and the ground user at the same time transmit their EnPs to all relay stations. The relay stations then apply SIC to extract the received packets. In addition, to degrade the quality of the eavesdropping links, a cooperative jammer is employed to transmit interference toward the eavesdropper during the first phase. In the second phase, one of the relay stations which can successfully decode the packets from both the satellite and the ground user is selected for data forwarding, using the PRS approach. The chosen relay performs the XOR operation on two received EnPs , and subsequently broadcasts the XOR - ed packet to both the satellite and the user in the second phase. Before the data transmission ends, the satellite, the ground user, and the eavesdropper attempt to collect enough EnPs so that they can recover the desired data.
Now, the main contributions of this paper are summarized as follows:
-
First, we propose the novel TW - HSTR scheme that integrates FCs , SIC ,   DNC , relay station selection, and cooperative jamming. The proposed scheme enhances system throughput through the use of SIC and DNC , enables simple implementation and reduced delay by employing FCs , improves communication reliability via PRS , and ensures secure communication through cooperative jamming.
-
Second, under practical fading conditions, we derive exact closed-form expressions of OP , system outage probability SOP , IP , and system intercept probability SIP , and validate these formulas through simulations. In addition, all derived formulas are expressed in closed form, which makes them highly useful for system design and performance optimization.
-
Finally, based on the analytical framework, we provide comprehensive performance insights that reveal the fundamental security–reliability tradeoff in the proposed scheme and demonstrate how critical system parameters influence both reliability and security performance.
The remaining structure of this paper is presented as follows. Section 2 presents the system model of the proposed model. Section 3 analyzes the exact and asymptotic OP SOP and IP SIP performance for the proposed scheme by deriving closed-form expressions. Section 4 performs computer simulations to validate the derived expressions. Finally, Section 5 provides conclusions.

2. System Model

In Figure 1, we present a system model of the proposed TW - HSTR scheme, where the satellite S and the ground user D attempt to exchange their data via the help of M terrestrial relay stations denoted by R 1 , R 2 , ... , R M . We assume that there is no direct link between S and D due to being obscured. Let x S and x D denote the data of S and D , respectively. Using FCs , the S D node creates the EnPs   p S p D from the original data x S x D . Then, S and D exchange their EnPs via the help of the terrestrial relay stations. In order to successfully reconstruct the desired data x S x D , D S must gather at least G min   EnPs   p D p S . In addition, due to delay constraints, the maximum number of EnP exchange rounds is limited by H max [18], where H max G min . It is worth noting that, in this paper, a generic FC framework is considered without restricting to a specific implementation (e.g., LT or Raptor codes), since the analysis is performed at the packet level and depends only on the number of successfully received EnPs .
Due to the presence of the eavesdropper E , the transmitters S , D , and R m m = 1 , 2 , ... , M employ the randomize-and-forward strategy [31] by randomly using code-books. Moreover, the cooperative jammer J is employed to generate the jamming noises over E , as well as to cooperate with the relays R m m = 1 , 2 , ... , M for removing these noises from their received signals. We assume that the J and R m nodes can securely exchange information about the jamming signals, enabling R m to cancel them before decoding the desired data, while the E node is unable to do this [17]. Similarly, E attempts to collect at least G min packets p S p D to reconstruct the original data x S x D . Finally, all the nodes including S , D , R m , and E are assumed to be single-antenna wireless devices.
We denote h AB as channel coefficient of the A B link, where A is a transmitter and B is a receiver, i.e., A , B S , R m , D , E , J . Then, the corresponding channel gain is denoted by g AB , i.e., g AB = | h AB | 2 . Assume that all channels are block and flat, i.e., g AB remains unchanged during one phase, and varies independently after each phase.
As given in ref. [18], the satellite links (i.e., S R m , R m S and S E ) are Shadowed-Rician channels, and g AB has the following probability density function PDF :
f γ AB x = 1 2 b AB 2 a AB b AB 2 a AB b AB + Ω AB a SR exp x 2 b AB F 1 1 a AB ; 1 ; Ω AB x 2 b AB 2 a AB b AB + Ω AB ,
where A S , R m ,   B R m , E ,   2 b AB and Ω AB are the expected power of the multi-path and Line of Sight LOS components, respectively, a AB is a fading parameter, and F 1 1 . ; . ; . is a confluent hypergeometric function of the first kind [18].
For ease of presentation and analysis, we can assume that the channel gains g SR m and g R m S are identical and independent, i.e., a SR m a SR ,   b SR m b SR and Ω SR m Ω SR , for all m = 1 , 2 , ... , M . Using [18], cumulative distribution function CDF of g AB in (1) can be expressed under the following form:
F g AB x = 1 α AB a AB ψ AB n = 0 a AB 1 q = 0 n n ! q ! ξ AB n ψ AB β AB n q + 1 x q exp ψ β x                   = 1 n = 0 a AB 1 q = 0 n Ψ AB x q exp ψ AB β AB x ,
where
ψ AB = 1 2 b AB , α AB = 2 a AB b AB 2 a AB b AB + Ω AB a AB , β AB = Ω AB 2 b AB 2 a AB b AB + Ω AB , ξ AB n = 1 n 1 a AB β AB n AB n SR ! , Ψ AB = n ! q ! α AB a AB ψ AB ξ AB n ψ AB β AB n q + 1 .
For the terrestrial links, we assume that all the channels are Rayleigh fading. Hence, the channel gain g AB is an exponential random variable whose CDF and PDF can be expressed, respectively, as
F g AB x = 1 exp λ AB x , f g AB x = λ AB exp λ AB x ,
where A R m , D , J , B R m , D , E , and λ AB is a fading parameter of the A B link. We also assume that the channel gains g AR m and g R m B are identical and independent, i.e., λ AR m λ AR and λ R m B λ RB , for all m and for all the A and B nodes.
We now describe the exchange of EnPs in Figure 1, which is carried out over two time slots. At the first time slot, S and D at the same time transmits p S and p D to all the relay stations, while J generates the jamming noises. Therefore, the received signals at R m and E can be expressed, respectively, as
y R m = P S h SR m p S * + P D h DR m p D * + P J h JR m x J + n R m ,
y E = P S h SE p S * + P D h DE p D * + P J h JE x J + n E ,
where P S , P D and P J are transmit power of the S , D , and J , respectively, p S * and p D * are modulated signals of the packets p S and p D , respectively, x J is transmitted signal of J , n R m and n E are Gaussian noises at R m and E , respectively.
Since the node R m can cooperate with the jammer J to remove the jamming noise (the component P J h JR m x J ), Equation (5) can be rewritten as
y ^ R m = P S h SR m p S * + P D h DR m p D * + n R m .
Remark 1.
Since the satellite  S is the well-equipped device, it is reasonable to assume that the transmit power of S is higher than that of the ground user D , i.e., P S > P D . In addition, the channels between S and the relay station R m exhibit the LOS component. Moreover, the terrestrial link between D and R m experience Rayleigh fading which does not contain LOS . Therefore, it is reasonable to assume that the S R m link is better than the D R m link. Similarly, we can assume that the S E link is better than the D E link. Therefore, the R m and E nodes will decode the packet p S first. If the decoding of p S is successful, R m and E will remove p S out from their received signals and will then decode p D [18]. It is noted that, if R m and E cannot decode p S correctly, then they cannot also decode p D correctly because they cannot perform the SIC operation. Finally, it is assumed that the Gaussian noises at all the receivers B have zero mean and variance of σ 0 2 .
From (7), we can express the signal-to-noise ratio SNR obtained at R m for decoding p S and p D , respectively, as
γ S , R m p S = P S | h SR m | 2 P D | h DR m | 2 + σ 0 2 = P S g SR m P D g DR m + σ 0 2 = Δ S g SR m Δ D g DR m + 1 , γ S , R m p D = P D | h DR m | 2 σ 0 2 = P D g DR m σ 0 2 = Δ D g DR m ,
where Δ S = P S / σ 0 2 and Δ D = P D / σ 0 2 .
Since the eavesdropper E cannot remove the jamming noises x J out from the received signals, from (6), the SNR obtained at E for decoding p S and p D can be formulated, respectively, as
γ S , E p S = P S | h SE | 2 P D | h DE | 2 + P J | h JE | 2 + σ 0 2 = P S g SE P D g DE + P J g JE + σ 0 2 = Δ S g SE Δ D g DE + Δ J g JE + 1 , γ S , E p D = Δ D | h DE | 2 Δ J | h JE | 2 + 1 = Δ D g DE Δ J g JE + 1 .
Considering the terrestrial relay stations which can decode both p S and p D successfully. Without loss of generality, we can denote the set of successful relay stations as W = R 1 , R 2 , ... , R N , where 0 N M , and N is the number of successful relay stations.
If N = 0 , then W = , and, in this case, no operation takes place during the second phase. Let us consider the case where N > 0 ; one of the relay stations belonging to the set W is selected by using the PRS method as
R b : g R b D = max n = 1 , 2 , ... , N g R n D .
In (10), the selected relay station is denoted by R b , which is the relay providing the highest channel gain to the ground user D .
Remark 2.
In (10), the relay selection is based on the channel state information CSI of the R n D links, which can be easily performed through the exchange of local CSI among the nodes. It is worth noting that this relay selection is difficult to implement between the relay stations R n and the satellite S , because they are located far apart and hence the selection process would introduce a significant delay.
Next, R b performs the XOR operation as follows: p S p D = p R , and it will transmit the XOR - ed packet p R to S and D in the second phase, which is also overheard by E . Then, the SNR obtained at the node B B S , D , E can be expressed as
γ R b , B p R = P R g R b B σ 0 2 = Δ R g R b B ,
where P R is transmitted power of all the relay stations, and Δ R = P R / σ 0 2 .
Remark 3.
Firstly, we note that no cooperative jamming technique is performed in the second phase. Secondly, if the node S D can decode p R correctly, S D will obtain the desired packet p D p S by performing the XOR operation as p D = p S p R p S = p D p R . For the eavesdropper E , it can only obtain p S successfully in the first time slot. Finally, E can successfully obtain p D in two possible ways: (i) E correctly decodes both p S and p D in the first phase; (ii) E correctly decodes p S (but p D ) in the first phase, and p R from R in the second phase, and then performs the XOR operation between p S and p R to obtain p D .
Because the EnP exchange is realized into two phases, the channel capacity of the A B link is calculated as
C A , B p X = 1 2 log 2 1 + γ A , B p X ,
where A , B S , R m , D , E , J , and p X p S , p D , p R .

3. Performance Analysis

3.1. Mathematical Preparation

Considering the transmission of the packet p X X S , D , R between the transmitter A and the receiver B , we assume that the decoding of p X is successful if the obtained channel capacity C A , B p X is higher than a threshold C th , i.e., C A , B p X C th . If C A , B p X < C th , it is assumed that the receiver B cannot decode p X correctly.

3.1.1. Decoding Probability over the Data Links

We first formulate the probability that the relay station R m can decode both p S and p D successfully in the first phase as
θ SD , R p S , p D = Pr C S , R m p S C th , C D , R m p D C th .
Substituting (8) and (12) into (13), we have
θ SD , R p S , p D = Pr Δ S g SR m Δ D g DR m + 1 ρ th , Δ D g DR m ρ th               = Pr g SR m ω 1 g DR m + ω 0 , g DR m ω 2               = ω 2 + 1 F g SR m ω 1 x + ω 0 f g DR m x d x ,
where ρ th = 2 2 C th 1 , ω 0 = ρ th Δ S , ω 1 = ρ th Δ D Δ S , ω 2 = ρ th Δ D . It is noted that ω 0 and ω 1 are intermediate parameters introduced for notational simplicity.
Using (2), we can write 1 F g SR m ω 1 x + ω 0 in (14) under the following form:
1 F g SR m ω 1 x + ω 0 = n = 0 a SR 1 q = 0 n Ψ SR ω 1 x + ω 0 q exp ψ SR β SR ω 1 x + ω 0 = n = 0 a SR 1 q = 0 n Ψ SR ω 1 q exp ψ SR β SR ω 0 x + ω 3 q exp ω 4 x = n = 0 a SR 1 q = 0 n t = 0 q C q t Ψ SR ω 1 q ω 3 q t exp ψ SR β SR ω 0 x t exp ω 4 x ,
where C q t is a binomial coefficient, i.e., C q t = q ! t ! t q ! ,   ω 3 = ω 0 ω 1 , and ω 4 = ψ SR β SR ω 1 .
Combining (4), (13), (14), and (15), after some manipulation, we obtain
θ SD , R p S , p D = n = 0 a SR 1 q = 0 n t = 0 q C q t Ψ SR ω 1 q ω 3 q t exp ψ SR β SR ω 0                    × ω 2 + λ DR x t exp ω 4 + λ DR x d x .
Our objective is to evaluate the integral in (16). To this end, we first consider the following general integral (see [32], Equation (2.321.2)):
x t exp Φ x d x = v = 0 t t ! v ! x v Φ t + 1 v exp Φ x ,
where Φ > 0 . From (17), we can obtain the results as in (18), (19), and (20) as:
0 + x t exp Φ x d x = t ! Φ t + 1 ,
ϑ + x t exp Φ x d x = v = 0 t t ! v ! ϑ v Φ t + 1 v exp Φ ϑ ,
and
0 ϑ x t exp Φ x d x = t ! Φ t + 1 v = 0 t t ! v ! ϑ v Φ t + 1 v exp Φ ϑ .
Then, applying (19) to calculate the integral in (16), we then have
θ SD , R p S , p D = n = 0 a SR 1 q = 0 n t = 0 q C q t Ψ SR ω 1 q ω 3 q t exp ψ SR β SR ω 0                             × v = 0 t t ! v ! λ DR ω 2 v ω 4 + λ DR t + 1 v exp ω 4 + λ DR ω 2 .
It is worth noting that the probability that R m cannot decode both p S and p D successfully is given as 1 θ SD , R p S , p D .
Considering the successful decoding at the satellite at the second phase, using (2), (11), and (12), we can calculate this probability exactly as
θ R b , S p R = Pr C R b , S p R C th = Pr g R b S ρ th Δ R = 1 F g R b S ρ th Δ R             = n = 0 a SR 1 q = 0 n Ψ SR ρ th Δ R q exp ψ SR β SR ρ th Δ R .
It is noted that the probability that S cannot decode p R successfully in the second phase is expressed as 1 θ R b , S p R .
Next, we formulate the probability that D can decode p R successfully at the second phase as
θ R b , D p R = Pr C R b , D p R C th = Pr g R b D ρ th Δ R             = 1 Pr g R b D < ρ th Δ R .
Combining (4), (10), and (23), we obtain an exact closed-form expression θ R b , D p R as
θ R b , D p R = 1 Pr max n = 1 , 2 , ... , N g R n D < ρ th Δ R = 1 n = 1 N F g R n D ρ th Δ R             = 1 1 exp λ RD ρ th Δ R N .
It is also noted that the probability that D cannot decode p R correctly in the second phase is exactly computed as 1 θ R b , D p R .

3.1.2. Decoding Probability over the Eavesdropping Links

This sub-section derives the decoding probability of p S and p D at the eavesdropper E . At first, using (9) and (12), we can formulate the probability that E can successfully decode both p S and p D in the first phase as
θ SD , E p S , p D = Pr C S , E p S C th , C D , E p D C th               = Pr Δ S g SE Δ D g DE + Δ J g JE + 1 ρ th , Δ D g DE Δ J g JE + 1 ρ th              = Pr g SE ω 1 g DE + ω 5 g JE + ω 0 , g DE ω 6 g JE + ω 2               = 0 + f g JE x ω 6 x + ω 2 + 1 F g SE ω 1 y + ω 5 x + ω 0 f g DE y d y I 1 x d x ,
where ω 5 = ρ th Δ J Δ S , ω 6 = Δ J ρ th Δ D . To calculate the integral I 1 x in (25), we have to write 1 F g SE ω 1 y + ω 3 x + ω 0 in (25) under the following form:
1 F g SE ω 1 y + ω 5 x + ω 0 = n = 0 a SE 1 q = 0 n Ψ SE ω 1 y + ω 5 x + ω 0 q exp ψ SE β SE ω 1 y + ω 5 x + ω 0 = n = 0 a SE 1 q = 0 n Ψ SE exp ψ SE β SE ω 0 ω 1 q y + ω 7 x + ω 8 q exp ω 9 y ω 10 x = n = 0 a SE 1 q = 0 n t = 0 q C q t Ψ SE ω 1 q ω 7 q t exp ψ SE β SE ω 0 x + ω 11 q t exp ω 10 x y t exp ω 9 y = n = 0 a SE 1 q = 0 n t = 0 q r = 0 q t C q t C q t r Ψ SE ω 1 q ω 7 q t ω 11 q t r exp ψ SE β SE ω 0         × x r exp ω 10 x y t exp ω 9 y ,
where ω 7 = ω 5 ω 1 , ω 8 = ω 0 ω 1 , ω 9 = ψ SE β SE ω 1 , ω 10 = ψ SE β SE ω 5 , ω 11 = ω 8 ω 7 .
Combining (4), (19), (25), and (26), I 1 x can be obtained as
I 1 x = n = 0 a SE 1 q = 0 n t = 0 q r = 0 q t C q t C q t r Ψ SE ω 1 q ω 7 q t ω 11 q t r exp ψ SE β SE ω 0 x r exp ω 10 x                    × ω 6 x + ω 2 + λ DE y t exp ω 9 + λ DE y d y = n = 0 a SE 1 q = 0 n t = 0 q r = 0 q t C q t C q t r Ψ SE ω 1 q ω 7 q t ω 11 q t r exp ψ SE β SE ω 0 x r exp ω 10 x       × v = 0 t t ! v ! λ DE ω 6 x + ω 2 v ω 9 + λ DE t + 1 v exp ω 9 + λ DE ω 6 x + ω 2 = n = 0 a SE 1 q = 0 n t = 0 q r = 0 q t v = 0 t u = 0 v t ! v ! C q t C q t r C v u Ψ SE λ DE ω 9 + λ DE t + 1 v ω 1 q ω 7 q t ω 11 q t r ω 6 v ω 12 v u       × exp ψ AB β AB ω 0 exp ω 9 + λ DE ω 2 x u + r exp ω 13 x ,
where ω 12 = ω 2 / ω 6 , ω 13 = ω 9 + λ DE ω 6 .
Substituting (27) into (25), and using (18) to calculate the corresponding integral, we finally obtain the following result:
θ SD , E p S , p D = n = 0 a SE 1 q = 0 n t = 0 q r = 0 q t v = 0 t u = 0 v t ! v ! C q t C q t r C v u Ψ SE λ DE ω 9 + λ DE t + 1 v ω 1 q ω 7 q t ω 11 q t r ω 6 v ω 12 v u × exp ψ SE β SE ω 0 exp ω 9 + λ DE ω 2 0 + λ DE x u + r exp ω 13 + λ DE x d x = n = 0 a SE 1 q = 0 n t = 0 q r = 0 q t v = 0 t u = 0 v t ! v ! C q t C q t r C v u Ψ SE λ DE ω 9 + λ DE t + 1 v ω 1 q ω 7 q t ω 11 q t r ω 6 v ω 12 v u       × exp ψ SE β SE ω 0 exp ω 9 + λ DE ω 2 u + r ! λ JE ω 13 + λ JE u + r + 1 .
Next, we consider the probability that E correctly decodes p S and incorrectly decodes p D in the first phase. Indeed, this probability can be formulated as
θ SD , E p S , not p D = Pr C S , E p S C th , C D , E p D < C th = Pr g SE ω 1 g DE + ω 5 g JE + ω 0 , g DE < ω 6 g JE + ω 2                    = 0 + f g JE x 0 ω 6 x + ω 2 1 F g SE ω 1 y + ω 5 x + ω 0 f g DE y d y I 2 x d x .
With the same method as deriving I 1 x in (25), we can obtain I 2 x in (29) as
I 2 x = n = 0 a SE 1 q = 0 n t = 0 q r = 0 q t t ! C q t C q t r Ψ SE λ DE ω 9 + λ DE t + 1 v ω 1 q ω 7 q t ω 11 q t r                      × exp ψ AB β AB ω 0 x r exp ω 10 x n = 0 a SE 1 q = 0 n t = 0 q r = 0 q t v = 0 t u = 0 v t ! v ! C q t C q t r C v u Ψ SE λ DE ω 9 + λ DE t + 1 v ω 1 q ω 7 q t ω 11 q t r ω 6 v ω 12 v u         × exp ψ AB β AB ω 0 exp ω 9 + λ DE ω 2 x u + r exp ω 13 x
Then, substituting (30) into (29), and using (18) to calculate the corresponding integral, we finally obtain
θ SD , E p S , not p D = n = 0 a SE 1 q = 0 n t = 0 q r = 0 q t r ! t ! C q t C q t r Ψ SE λ DE λ JE ω 9 + λ DE t + 1 v ω 10 + λ JE r + 1 ω 1 q ω 7 q t ω 11 q t r exp ψ SE β SE ω 0 n = 0 a SE 1 q = 0 n t = 0 q r = 0 q t v = 0 t u = 0 v t ! v ! C q t C q t r C v u Ψ SE λ DE ω 9 + λ DE t + 1 v ω 1 q ω 7 q t ω 11 q t r ω 6 v ω 12 v u        × exp ψ SE β SE ω 0 exp ω 9 + λ DE ω 2 u + r ! λ JE ω 13 + λ JE u + r + 1 .
Now, we calculate the probability that E can correctly decode p S , regardless of the decoding of p D . Indeed, this probability can be formulated as
χ SD , E p S = Pr C S , E p S C th = Pr g SE ω 1 g DE + ω 5 g JE + ω 0             = 0 + f g JE x 0 + 1 F g SE ω 1 y + ω 5 x + ω 0 f g DE y d y I 3 x d x .
With the same method as deriving I 1 x in (25), we can obtain I 3 x in (32) as
I 3 x = n = 0 a SE 1 q = 0 n t = 0 q r = 0 q t t ! C q t C q t r Ψ SE λ DE ω 9 + λ DE t + 1 ω 1 q ω 7 q t ω 11 q t r exp ψ SE β SE ω 0                     × x r exp ω 10 x .
Then, substituting (33) into (32), and using (18) to calculate the corresponding integral, we finally obtain
χ SD , E p S = n = 0 a SE 1 q = 0 n t = 0 q r = 0 q t t ! r ! C q t C q t r Ψ SE λ DE λ JE ω 9 + λ DE t + 1 ω 10 + λ JE r + 1 ω 1 q ω 7 q t ω 11 q t r                    × exp ψ SE β SE ω 0 .
Now, we consider the successful decoding of the packet p R at E in the second phase, which can be expressed by an exact expression as
θ R b , E p R = Pr C R b , E p R C th = Pr g R b E ρ th Δ R = exp λ RE ρ th Δ R .

3.1.3. Decoding Probability at High Transmit SNR

We now consider the decoding probability of the data and eavesdropping links at high SNR , i.e., P S , P R , P D , P J + . Indeed, we can set P R = μ R P S ,   P D = μ D P S , and P J = μ J P S , where μ R ,   μ D and μ J are constants. At high SNR values, we can approximate γ S , R m p S in (8), γ S , E p S and γ S , E p D in (9), respectively, as
γ S , R m p S = Δ S g SR m Δ D g DR m + 1 Δ S + Δ S g SR m Δ D g DR m = g SR m μ D g DR m , γ S , E p S = Δ S g SE Δ D g DE + Δ J g JE + 1 Δ S + Δ S g SE Δ D g DE + Δ J g JE = g SE μ D g DE + μ J g JE , γ S , E p D = Δ D g DE Δ J g JE + 1 Δ S + Δ D g DE Δ J g JE = μ D g DE μ J g JE .
Using (36), we can approximate θ SD , R p S , p D in (14) at high SNR region as
θ SD , R p S , p D Δ S + θ SD , R p S , p D , = Pr g SR m ρ 1 , th μ D g DR m                       = 0 + f g DR m x 1 F g SR m x d x .
Substituting (2) and (4) into (37), and using (18) to calculate the corresponding integral, we then obtain
θ SD , R p S , p D Δ S + θ SD , R p S , p D , = n = 0 a SR 1 q = 0 n q ! Ψ SR λ DR ρ th μ D q λ DR + ψ SR β SR ρ th μ D q + 1 .
For θ R b , S p R in (22) and θ R b , D p R in (24), it is straightforward that
θ R b , S p R Δ S + 1 , θ R b , D p R Δ S + 1 .
.
Again, using (36), we can approximate θ SD , E p S , p D in (25) at high SNR regime as
θ SD , E p S , p D Δ S + θ SD , E p S , p D , = Pr g SE μ D g DE + μ J g JE ρ th , μ D g DE μ J g JE ρ th                        = Pr g SE ξ 1 g DE + ξ 2 g JE , g DE ξ 3 g JE                        = 0 + f g JE x ξ 3 x + 1 F g SE ξ 1 y + ξ 2 x f g DE y d y d x ,
where ξ 1 = ρ th μ D , ξ 2 = ρ th μ J , ξ 3 = μ J ρ th μ D . With the same manner as deriving θ SD , E p S , p D , we also obtain the following result:
θ SD , E p S , p D Δ S + θ SD , E p S , p D , = n = 0 a SE 1 q = 0 n t = 0 q v = 0 t C q t t ! v + q t ! v ! Ψ SE λ DE λ JE ξ 1 q ξ 3 v ξ 4 q t λ DE + ξ 5 t + 1 ξ 6 + ξ 7 v + q t + 1 .
where ξ 4 = ξ 2 ξ 1 , ξ 5 = ψ SE β SE ξ 1 , ξ 6 = ψ SE β SE ξ 2 , ξ 7 = λ DE + ξ 5 ξ 3 .
Similarly, θ SD , E p S , not p D in (29) at high SNR values can be approximately computed as
θ SD , E p S , not p D Δ S + θ SD , E p S , not p D , = Pr g SE ξ 1 g DE + ξ 2 g JE , g DE < ξ 3 g JE                   Δ S + 0 + f g JE x 0 ξ 3 x 1 F g SE ξ 1 y + ξ 2 x f g DE y d y d x                   Δ S + n = 0 a SE 1 q = 0 n t = 0 q Ψ SE C q t t ! q t ! ξ 1 q ξ 4 q t λ DE λ JE λ DE + ξ 5 t + 1 ξ 6 + λ JE q t + 1                                   n = 0 a SE 1 q = 0 n t = 0 q v = 0 t C q t t ! v + q t ! v ! Ψ SE λ DE λ JE ξ 1 q ξ 3 v ξ 4 q t λ DE + ξ 5 t + 1 v ξ 6 + ξ 7 v + q t + 1 .
For χ SD , E p S in (32), we can approximately calculate it as
χ SD , E p S Δ S + χ SD , E p S , = Pr g SE ξ 1 g DE + ξ 2 g JE = n = 0 a SE 1 q = 0 n t = 0 q C q t t ! q t ! Ψ SE λ DE λ JE ξ 1 q ξ 4 q t λ DE + ξ 5 t + 1 λ JE + ξ 6 q t + 1 .
Finally, the successful decoding of the packet p R at E in the second phase can be approximated by
θ R b , E p R Δ S + 1 .

3.2. Decoding of One Encoded Packet

We now calculate the probability that one encoded packet can be correctly received by the satellite, the ground user and the eavesdropper.
Let us consider the satellite; the probability that S can obtain one packet p D successfully can be formulated as
Ω S p D = N = 1 M C M N θ SD , R p S , p D N 1 θ SD , R p S , p D M N θ R b , S p R .
Equation (45) implies that, for S to successfully obtain p D , at least one relay station must decode both p S and p D correctly in the first phase (i.e., 1 N M ). In addition, the transmission of p R between R b and S in the second phase must also be successful. Substituting (21) and (22) into (45), we obtain an exact closed-form expression of Ω S p D .
Similarly, we can compute the probability that D can obtain one packet p S successfully as
Ω D p S = N = 1 M C M N θ SD , R p S , p D N 1 θ SD , R p S , p D M N θ R b , D p R .
At high transmit SNR values, using (38) and (39), we can approximate Ω S p D and Ω D p S , respectively, as
Ω S p D Δ S + Ω S p D , = N = 1 M C M N θ SD , R p S , p D , N 1 θ SD , R p S , p D , M N . Ω D p S Δ S + Ω D p S , = N = 1 M C M N θ SD , R p S , p D , N 1 θ SD , R p S , p D , M N .
For the eavesdropper E; from Remark 3, the probability that E can obtain one packet p S and one packet p D successfully can be given, respectively, as
Ω E p S = χ SD , E p S ,
Ω E p D = θ SD , E p S , p D + θ SD , E p S , not p D N = 1 M C M N θ SD , R p S , p D N 1 θ SD , R p S , p D M N θ R b , E p R .
Then, substituting (34) into (38), we obtain an exact closed-form expression of Ω E p S . Substituting (21), (28), (31), and (35) into (49), we obtain an exact closed-form expression of Ω E p D . At high SNR values, using (38), (41)–(44), we can approximate Ω E p S and Ω E p D , respectively, as
Ω E p S Δ S + Ω E p S , = χ SD , E p S , , Ω E p D Δ S + Ω E p D , = θ SD , E p S , p D , + θ SD , E p S , not p D , N = 1 M C M N θ SD , R p S , p D , N 1 θ SD , R p S , p D , M N .
Remark 4.
We first observe from (47) and (50) that the approximate expressions of   Ω S p D , , Ω D p S , , Ω E p S , , and Ω E p D , do not depend on Δ S . In addition, at high SNR values, Ω S p D and Ω D p S have the same value, i.e., Ω S p D , = Ω D p S , .

3.3. Outage Probability (OP) and Intercept Probability (IP)

Let L S p D L D p S denote the number of the packets p D p S that S D can correctly obtain after the data exchange ends. Then, if L S p D < G min L D p S < G min , the node S D is outage. Therefore, we can express OP at S and D , respectively, as
OP S = L S p D = 0 G min 1 C H max L S p D Ω S p D L S p D 1 Ω S p D H max L S p D , OP D = L D p S = 0 G min 1 C H max L D p S Ω D p S L D p S 1 Ω D p S H max L D p S ,
where 1 Ω S p D and 1 Ω D p S are the probabilities that S and D cannot successfully obtain one packet p D and one packet p S , respectively.
Let L E p S L E p D denote the number of the packet p S p D that E can correctly gather after the data exchange ends. If L E p S G min L E p D G min , the data x S x D is intercepted. Hence, the probability that E can intercept x S and x D can be given, respectively, as
IP xS = L E p S = G min H max C H max L E p S Ω E p S L E p S 1 Ω E p S H max L E p S , IP xD = L E p D = G min H max C H max L E p D Ω E p D L E p D 1 Ω E p D H max L E p D ,
where 1 Ω E p S and 1 Ω E p D are the probabilities that E cannot successfully obtain one packet p S and one packet p D , respectively.
Moreover, substituting (47) and (50) into (51) and (52), respectively, we obtain the asymptotic expressions of OP and IP as
OP S Δ S + L S p D = 0 G min 1 C H max L S p D Ω S p D , L S p D 1 Ω S p D , H max L S p D , OP D Δ S + L D p S = 0 G min 1 C H max L D p S Ω S p D , L D p S 1 Ω S p D , H max L D p S , IP xS Δ S + L E p S = G min H max C H max L E p S Ω E p S , L E p S 1 Ω E p S , H max L E p S , IP xD Δ S + L E p D = G min H max C H max L E p D Ω E p D , L E p D 1 Ω E p D , H max L E p D .
Remark 5.
As mentioned in Remark 4,  Ω S p D , , Ω D p S , , Ω E p S , , and Ω E p D , do not depend on Δ S , and hence OP S , OP D , IP xS , IP xD do not depend on Δ S at high SNR values. Also, since Ω S p D , = Ω D p S , ,   OP S and OP D have the same value at high Δ S region.

3.4. System Outage Probability (SOP) and System Intercept Probability (SIP)

SOP is defined as the probability that either the satellite or the ground user experiences an outage. Hence, SOP of the proposed scheme can be formulated as
SOP = 1 1 OP S 1 OP D .
In (42), 1 OP S 1 OP D is the probability that both S and D are not in outage.
Next, SIP is defined as the probability that E can intercept either the data x S or the data x D , and SIP of the proposed scheme can be given as
SIP = 1 1 IP x S 1 IP x D .
In (55), 1 IP x S 1 IP x D is the probability that both x S and x D is not intercepted.

4. Simulation Results

In this section, we realize Monte Carlo simulations Sim to validate the formulas of OP , SOP , IP , and SIP given in Section 3. We denote the exact theoretical results by Exact , and the asymptotic theoretical results by Asym . To ensure that the Sim results converge to the Exact results (with the deviation between them ranging from 0.001 to 0.01), we perform from 10 4 trials to 10 5 trials for each Monte Carlo simulation. For analyzing the performance trends and evaluating the influence of the key parameters on the system performance, several parameters are fixed as follows: b SR = 0.251 ,   a SR = 5 ,   Ω SR = 0.279 ,   C th = 0.5 ,   λ RD = λ RE = λ DE = λ JE = 1 ,   G min = 5 , and σ 0 2 = 1 . The transmit power of the transmitters is set up as follows: P D = 0.25 P S μ D = 0.25 , P R = 0.5 P S μ R = 0.5 , and P J = 0.1 P S μ J = 0.1 .
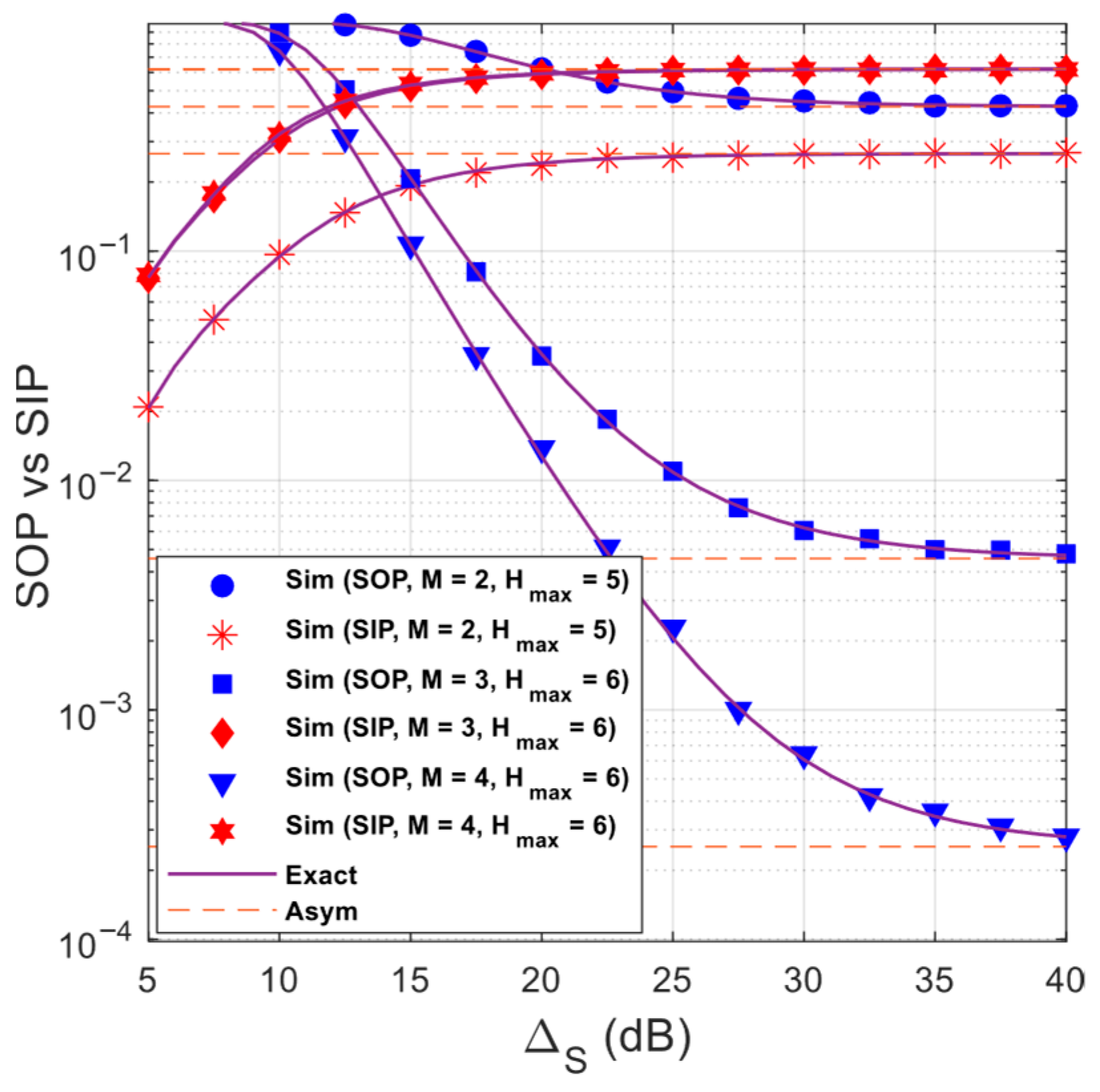
Figure 2 illustrates OP (Figure 2a) and IP (Figure 2b) as a function of Δ S Δ S = P S / σ 0 2 in dB with different number of relay stations M and with H max = 6 . As observed in Figure 2a, OP at S and D decreases as Δ S increases (or the transmit power of all the transmitters increases). However, at high Δ S values, the values of OP S and OP D converge to the same outage floors, as proved in Section 3. It is also seen that OP at S is lower than that at D , and the OP performance at both S and D improves substantially with increasing M . It is due to the fact that increasing M improves the probability that at least one relay station can successfully decode both p S and p D in the first phase, and it also enhances the channel quality of the R b D links. However, when M = 1 , the OP performance of S and D is quite identical because there is no relay selection at the second phase, and the system is hence symmetric for S and D . It is worth noting that the scheme with M = 1 corresponds to the random relay selection scheme. Hence, Figure 2a shows that the proposed scheme achieves significantly better OP performance than the random relay selection scheme.
In Figure 2b, we can observe that IP xS and IP xD increase as Δ S increases. As proved in Section 3, we can see that IP xS and IP xD converge to statured values at high Δ S regime. It is also seen from Figure 2b that IP xS is higher IP xD , and IP xD increases with the increasing of M . It is worth noting that IP xS does not depend on the number of relays because E only decodes p S directly from the satellite (See Remark 3). On the other hand, E can decode p D indirectly via the relay stations, so IP xD depends on the number of relays. In particular, the more relays there are, the greater the opportunity that E will successfully decode p D .
From Figure 2a,b, we can see that the Sim results confirm the correction of the theoretical results. In addition, we can observe that there exists the trade-off between reliability and security. Indeed, as Δ S increases, the OP S and OP D values decrease, but while the IP xS and IP xD values increase. Furthermore, the proposed scheme obtains better outage performance as increasing M ; however, the IP xD performance is worse with high value of M . Finally, we can see that OP S > OP D and IP xS > IP xD , which means that the reliability of transmitting the data x S is better than that of x D , but the security of x S is lower.
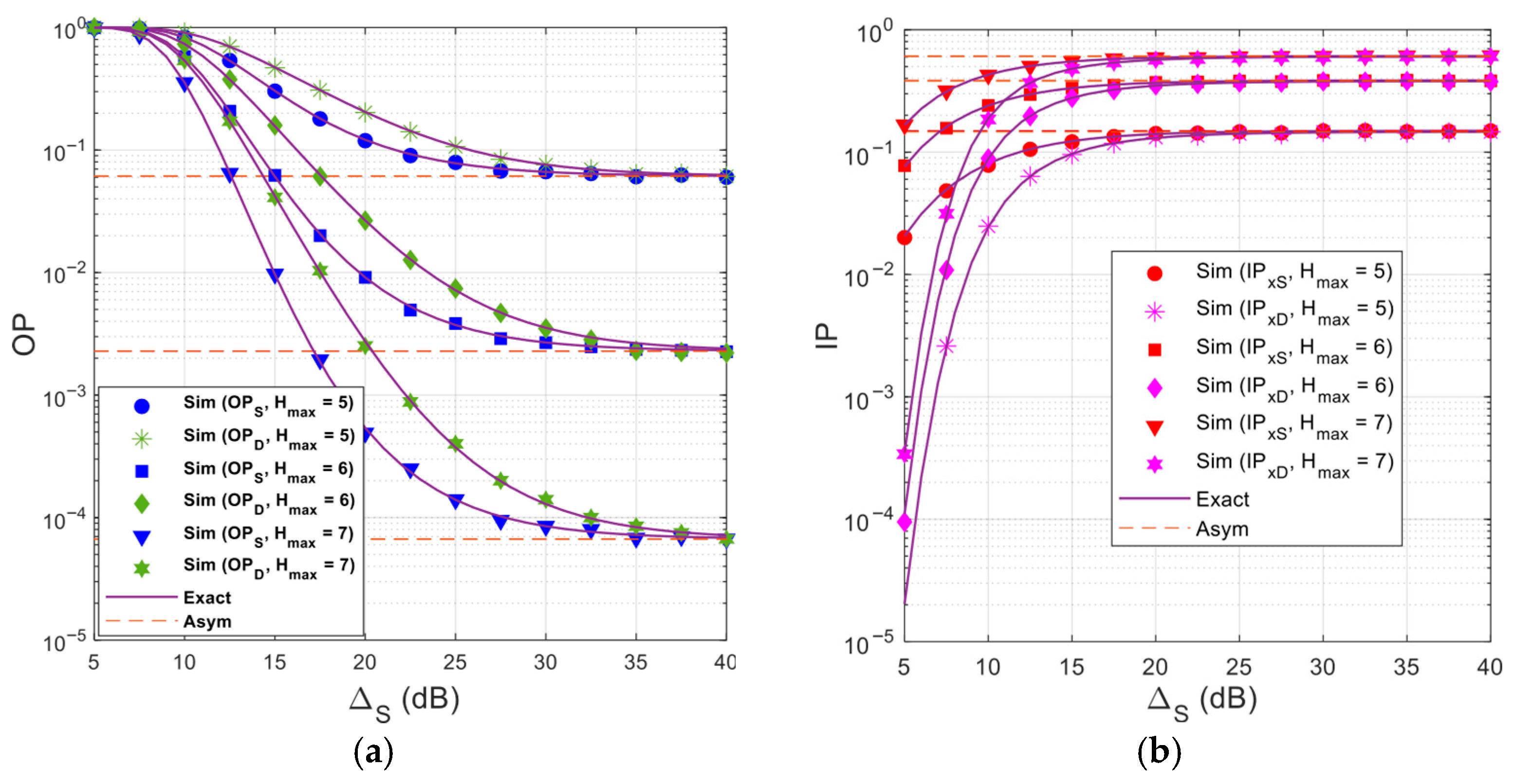
Figure 3 presents OP (Figure 3a) and IP (Figure 3b) as a function of Δ S in dB with different values of H max and with M = 3 . As presented in Figure 3a, OP at S and D significantly decreases as H max increases. This is because increasing H max raises the probability that S and D can receive enough G min encoded packets p D and p S , respectively, thereby reducing outage probability at both S and D .
In contrast to OP , Figure 3b shows that the IP values increase with increasing H max , because a larger H max also enhances the probability that the E node receives sufficiently the encoded packets.
From Figure 3a,b, we can see that the Sim results again validate the theoretical results. We also observe that there exists the trade-off between OP and IP , as H max changes from 5 to 7.
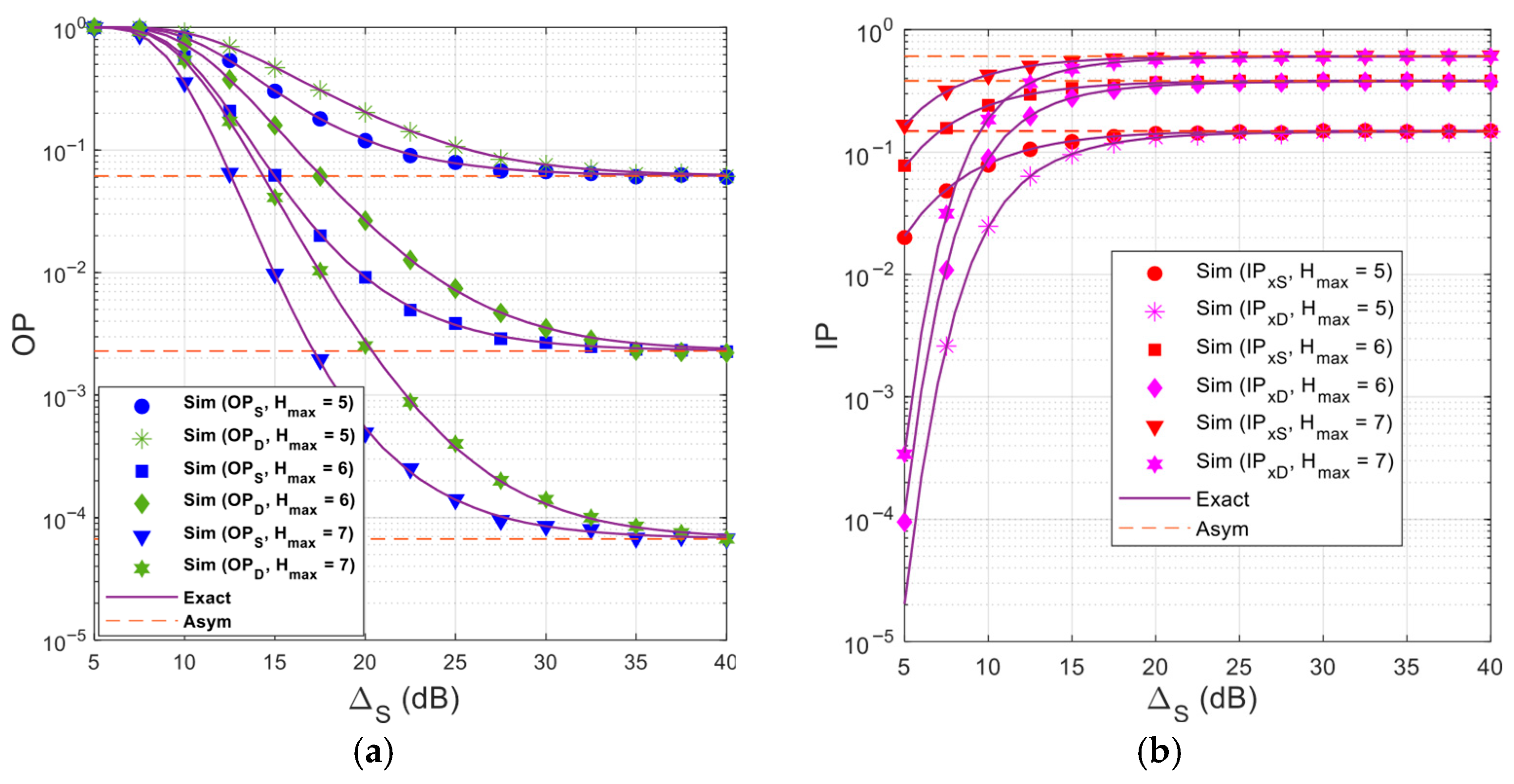
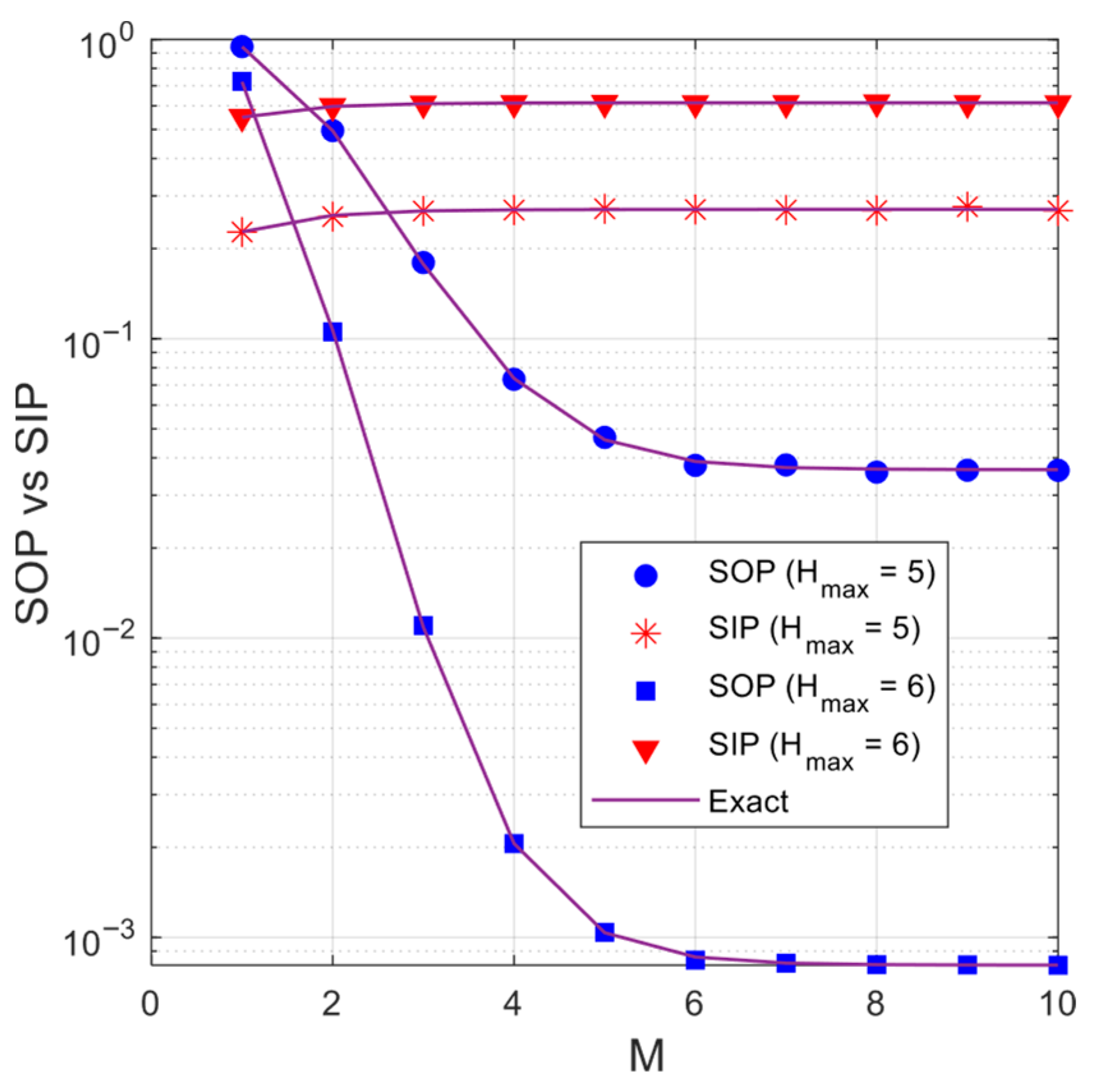
In Figure 4, we present both SOP and SIP as a function of Δ S in dB with various values of M and H max . Since the IP and OP values converge to their saturated levels at high Δ S values, the SIP and SOP values also converge to their saturated levels. Similarly to the OP performance, the SOP performance also improves as M and H max increase. Conversely, the SIP performance is worse as M and H max increase. However, it is seen that the SIP values in the cases of M = 3 , H max = 6 and M = 4 , H max = 6 are quite similar. This means that, as M increases from 3 to 4, the SOP performance improves significantly, while the SIP performance changes only slightly.
Figure 5 investigates the impact of the number of relay stations on the SOP and SIP performance with Δ = 25 (dB). As observed, the SOP values decrease rapidly as M increases. However, when M becomes sufficiently large, the SOP values no longer decrease. This behavior is due to the PRS method, i.e., at high M values, the quality of the R b D link is good, and hence, the quality of the R b S link dominates the SOP performance. For the SIP performance, we can see that the SIP values rapidly increase as M changes from 1 to 3. As M 3 , the SIP performance varies only slightly, as also seen in Figure 4 above. Similarly to Figure 2a,b, Figure 5 shows that the proposed scheme achieves significantly better SOP performance than the random relay selection scheme ( M = 1 ). In return, the proposed scheme incurs a slightly higher SIP .
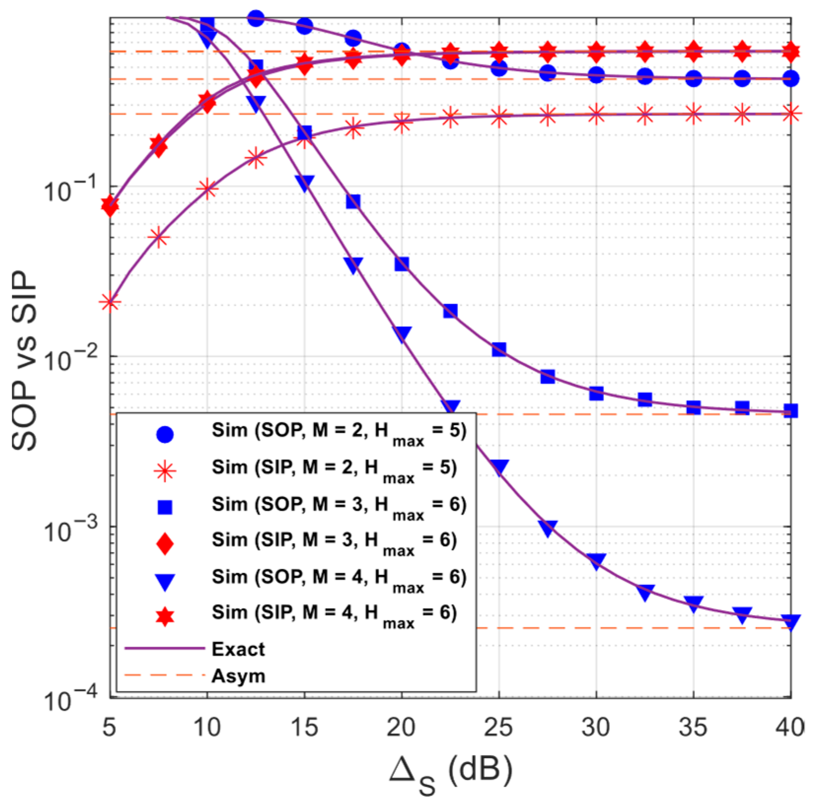
To more clearly analyze the impact of H max and M on the security–reliability tradeoff, Figure 6 and Figure 7 present SIP as a function of SOP . To realize this, we first determine the target SOP values, e.g., SOP = ε SOP , where ε SOP changes from 10 0.25 to 10 3 , as presented in Figure 6 and Figure 7. Then, we use the SOP formula derived in Section 3 to find the corresponding transmit power P S . Next, we use the obtained values of P S to calculate the corresponding values of SIP . Finally, we plot SIP as a function of SOP.
Figure 6 presents the trade-off between SOP and SIP with various values of H max and with M = 5 . In particular, achieving better SOP performance in the proposed scheme comes at the cost of worse SIP performance. For example, with H max = 7 , if the target SOP value is 0.1, then the SIP value is 0.6869. However, if the required SOP performance is 0.01 then the corresponding SIP performance is 0.7857. Figure 6 also shows that increasing H max decreases the trade-off between SOP and SIP . For example, with SOP = 0 . 1 , the value of SIP with H max = 6 , 7 , 8 are 0.5185; 0.6869 and 0.7955, respectively.
Figure 7 presents the trade-off between SOP and SIP with various values of M and with H max = 7 . As we can observe, the trade-off between SOP and SIP is better as increasing M . However, as mentioned in Figure 5, as M is high enough, both the SOP and SIP performance do not change any more. Indeed, as seen from Figure 7, the SIP performance only changes slightly as M = 6 and M = 7 .

5. Conclusions

This paper proposes a two-phase TW - HSTR scheme that incorporates FCs , SIC , DNC , PRS , and cooperative jamming. We derive exact closed-form expressions for OP / SOP and IP / SIP , and perform Monte Carlo simulations to validate the analytical results. The obtained results reveal several key characteristics of the proposed scheme. First, the OP / SOP performance saturates at high transmit SNR , implying that the diversity order is zero. Second, the OP performance at both the satellite and the ground user converges as the transmit SNR becomes sufficiently large, which indicates that their OP performance becomes balanced at high SNR regime. Third, the OP performance improves significantly when increasing the number of terrestrial relay stations ( M ) and the number of encoded-packet transmissions ( H max ). However, both the OP and IP performances eventually saturate when the number of relays becomes sufficiently large. In contrast to the outage behavior, the IP performance is worse as M and H max increase. Similarly to the outage performance, the interception performance also converges when the transmit SNR and the number of relays are sufficiently large. The results further show that the three main factors affecting the security–reliability tradeoff are the transmit power, the number of transmission rounds, and the number of relays. In particular, the SOP–SIP tradeoff becomes better (worse) when increasing the number of relays (increasing the number of transmission rounds). In future work, we will extend our scheme to scenarios involving multiple eavesdroppers, multiple cooperative jammers, and multiple ground users.

Author Contributions

Conceptualization, N.V.T. and T.T.D.; methodology, N.T.H.; software, P.N.S.; validation, T.T.D.; investigation, N.T.H. and N.V.T.; writing—original draft preparation, N.V.T. and T.T.D.; writing—review and editing, P.M.N.; supervision, P.M.N. and T.T.D. All authors have read and agreed to the published version of the manuscript.

Funding

This paper is supported by Posts and Telecommunications Institute of Technology under grant number 10-2025-HV-VT2.

Data Availability Statement

The original contributions presented in this study are included in the article. Further inquiries can be directed to the corresponding author.

Conflicts of Interest

The authors declare no conflicts of interest.

References

  1. Chen, S.; Sun, S.; Kang, S. System integration of terrestrial mobile communication and satellite communication-the trends challenges and key technologies in B5G and 6G. China Commun. 2020, 17, 156–171. [Google Scholar] [CrossRef]
  2. Cianca, E.; Prasad, R.; De Sanctis, M.; De Luise, A.; Antonini, M.; Teotino, D.; Ruggieri, M. Integrated satellite-HAP systems. IEEE Commun. Mag. 2005, 43, supl.33–supl.39. [Google Scholar] [CrossRef]
  3. An, K.; Liang, T. Hybrid Satellite-Terrestrial Relay Networks with Adaptive Transmission. IEEE Trans. Veh. Technol. 2019, 68, 12448–12452. [Google Scholar] [CrossRef]
  4. Mashiko, K.; Kawamoto, Y.; Kato, N.; Yoshida, K.; Ariyoshi, M. Combined Control of Coverage Area and HAPS Deployment in Hybrid FSO/RF SAGIN. IEEE Trans. Veh. Technol. 2025, 74, 10819–10828. [Google Scholar] [CrossRef]
  5. Huang, Q.; Lin, M.; An, K.; Ouyang, J.; Zhu, W. Secrecy Performance of Hybrid Satellite-Terrestrial Relay Networks in the Presence of Multiple Eavesdroppers. IET Commun. 2018, 12, 26–34. [Google Scholar] [CrossRef]
  6. Cao, W.; Zou, Y.; Yang, Z.; Zhu, J. Relay Selection for Improving Physical-Layer Security in Hybrid Satellite-Terrestrial Relay Networks. IEEE Access 2018, 6, 65275–65285. [Google Scholar] [CrossRef]
  7. Cao, W.; Zou, Y.; Yang, Z.; Zhu, J.; Li, B. Security-Reliability Trade-off Analysis of Hybrid Satellite-Terrestrial Uplink Communications with Relay Selection. IEEE Syst. J. 2024, 18, 485–496. [Google Scholar] [CrossRef]
  8. Guo, K.; An, K.; Zhang, B.; Huang, Y.; Zheng, G. Outage Analysis of Cognitive Hybrid Satellite-Terrestrial Networks with Hardware Impairments and Multi-Primary Users. IEEE Wirel. Commun. Lett. 2018, 7, 816–819. [Google Scholar] [CrossRef]
  9. Nguyen, T.N.; Tu, L.-T.; Tran, D.-H.; Phan, V.-D.; Voznak, M.; Chatzinotas, S.; Ding, Z. Outage Performance of Satellite Terrestrial Full-Duplex Relaying Networks with Co-Channel Interference. IEEE Wirel. Commun. Lett. 2022, 11, 1478–1482. [Google Scholar] [CrossRef]
  10. Lin, Z.; Niu, H.; An, K.; Wang, Y.; Zheng, G.; Chatzinotas, S.; Hu, Y. Refracting RIS-Aided Hybrid Satellite-Terrestrial Relay Networks: Joint Beamforming Design and Optimization. IEEE Trans. Aerosp. Electron. Syst. 2022, 58, 3717–3724. [Google Scholar] [CrossRef]
  11. Han, L.; Zhu, W.-P.; Lin, M. Outage of NOMA-Based Hybrid Satellite-Terrestrial Multi-antenna DF Relay Networks. IEEE Wirel. Commun. Lett. 2021, 10, 1083–1087. [Google Scholar] [CrossRef]
  12. Nguyen, H.N.; Nguyen, N.-L.; Nguyen, N.-T.; Le, A.-T.; Ha, N.-D.X.; Do, D.-T.; Voznak, M. Reliable and Secure Transmission in Multiple Antennas Hybrid Satellite-Terrestrial Cognitive Networks Relying on NOMA. IEEE Access 2020, 8, 215044–215056. [Google Scholar] [CrossRef]
  13. Han, L.; Zhu, W.-P.; Lin, M. Outage Analysis of Multi-Relay NOMA-Based Hybrid Satellite-Terrestrial Relay Networks. IEEE Trans. Veh. Technol. 2022, 71, 6469–6487. [Google Scholar] [CrossRef]
  14. MacKay, D.J.C. Fountain codes. IEE Proc.-Commun. 2005, 152, 1062. [Google Scholar] [CrossRef]
  15. Qin, Z.; Fei, Z.; Huang, J.; Xiao, M. Secure Online Fountain Codes with Low Complexity. IEEE Commun. Lett. 2022, 26, 1499–1503. [Google Scholar] [CrossRef]
  16. Zhao, L.; Du, X.; Liu, X.; Tian, X. Secure Online Fountain Code with Component Feedback for Underwater Acoustic Sensor Networks. IEEE Sens. J. 2025, 25, 35505–35523. [Google Scholar] [CrossRef]
  17. Nguyen, Q.S.; Tran, T.D.; Nguyen, L.N.; Tu, L.T. On the Security and Reliability Trade-off of the Satellite Terrestrial Networks with Fountain Codes and Friendly Jamming. EAI Endorsed Trans. Ind. Netw. Intell. Syst. 2023, 10, e3. [Google Scholar] [CrossRef]
  18. Toan, N.V.; Duy, T.T.; Son, P.N.; Tuan, P.V.; Tu, L.T. Security-Reliability Analysis of NOMA-Assisted Hybrid Satellite-Terrestrial Relay Multi-Cast Transmission Networks Using Fountain Codes and Partial Relay Selection with Presence of Multiple Eavesdroppers. EAI Trans. Ind. Netw. Intell. Syst. 2025, 12, 1–11. [Google Scholar]
  19. Ju, H.; Oh, E.; Hong, D. Catching resource-devouring worms in next-generation wireless relay systems: Two-way relay and full-duplex relay. IEEE Commun. Mag. 2009, 47, 58–65. [Google Scholar]
  20. Liu, Z.; Tao, X.; Rehman, W. Resource allocation for two-way amplify and forward OFDM relay networks. China Commun. 2017, 14, 76–82. [Google Scholar] [CrossRef]
  21. Duy, T.T.; Kong, H.Y. Exact Outage Probability of Cognitive Two-Way Relaying Scheme with Opportunistic Relay Selection under Interference Constraint. IET Commun. 2012, 6, 2750–2759. [Google Scholar] [CrossRef]
  22. Chen, Z.; Lim, T.J.; Motani, M. Fading Two-Way Relay Channels: Physical-Layer Versus Digital Network Coding. IEEE Trans. Wirel. Commun. 2014, 13, 6275–6285. [Google Scholar] [CrossRef]
  23. Upadhyay, P.K.; Prakriya, S. Performance of Two-Way Opportunistic Relaying with Analog Network Coding Over Nak-agami-m Fading. IEEE Trans. Veh. Technol. 2011, 60, 1965–1971. [Google Scholar] [CrossRef]
  24. Dao, T.-T.T.; Son, P.N. Cancel-Decode-Encode Processing on Two-Way Cooperative NOMA Schemes in Realistic Conditions. Wirel. Commun. Mob. Comput. 2021, 2021, 8828443. [Google Scholar] [CrossRef]
  25. Althunibat, S.; Hassan, H.; Khattab, T.; Zorba, N. A New NOMA-Based Two-Way Relaying Scheme. IEEE Trans. Veh. Technol. 2023, 72, 12300–12310. [Google Scholar] [CrossRef]
  26. Hesam, A.; Bastami, A.H.; Abdel-Hafez, M. Performance Analysis of NOMA-Based Transmission in Two-Way Relay Network. IEEE Access 2024, 12, 37051–37068. [Google Scholar] [CrossRef]
  27. Li, Z.; Yang, M.; Wang, G. Performance Analysis of Two-Way Satellite-Terrestrial Relay Network with SWIPT. Sensors 2021, 21, 4303. [Google Scholar] [CrossRef]
  28. Guo, K.; Zhang, B.; Huang, Y.; Guo, D. Performance Analysis of Two-Way Satellite Terrestrial Relay Networks with Hardware Impairments. IEEE Wirel. Commun. Lett. 2017, 6, 430–433. [Google Scholar] [CrossRef]
  29. Shi, J.; Mu, T.; Tao, X. Outage Probability of Two-Way Hybrid Satellite-Terrestrial Relaying Networks with Hardware Impairments. J. Eng. 2023, 2023, e12328. [Google Scholar] [CrossRef]
  30. Zeng, W.; Zhang, J.; Ng, D.W.K.; Ai, B.; Zhong, Z. Two-Way Hybrid Terrestrial-Satellite Relaying Systems: Performance Analysis and Relay Selection. IEEE Trans. Veh. Technol. 2019, 68, 7011–7023. [Google Scholar] [CrossRef]
  31. Cai, C.; Cai, Y.; Yang, W.; Yang, W. Secure Connectivity Using Randomize-and-Forward Strategy in Cooperative Wireless Networks. IEEE Commun. Lett. 2013, 17, 1340–1343. [Google Scholar]
  32. Gradshteyn, I.S.; Ryzhik, I.M. Table of Integrals, Series, and Products; Academic Press: Brookline, MA, USA, 2014. [Google Scholar]
Figure 1. System model of the proposed TW-HSTR scheme using SIC .
Figure 1. System model of the proposed TW-HSTR scheme using SIC .
Telecom 07 00005 g001
Figure 2. OP and IP as a function of Δ S (dB) when H max = 6 . (a) Outage probability. (b) Intercept probability.
Figure 2. OP and IP as a function of Δ S (dB) when H max = 6 . (a) Outage probability. (b) Intercept probability.
Telecom 07 00005 g002
Figure 3. OP and IP as a function of Δ S (dB) when M = 3 . (a) Outage probability. (b) Intercept probability.
Figure 3. OP and IP as a function of Δ S (dB) when M = 3 . (a) Outage probability. (b) Intercept probability.
Telecom 07 00005 g003
Figure 4. SOP and SIP as a function of Δ S (dB).
Figure 4. SOP and SIP as a function of Δ S (dB).
Telecom 07 00005 g004
Figure 5. SOP and SIP as a function of M with Δ = 25 (dB).
Figure 5. SOP and SIP as a function of M with Δ = 25 (dB).
Telecom 07 00005 g005
Figure 6. SIP as a function of SOP with M = 5 .
Figure 6. SIP as a function of SOP with M = 5 .
Telecom 07 00005 g006
Figure 7. SIP as a function of SOP with H max = 7 .
Figure 7. SIP as a function of SOP with H max = 7 .
Telecom 07 00005 g007
Disclaimer/Publisher’s Note: The statements, opinions and data contained in all publications are solely those of the individual author(s) and contributor(s) and not of MDPI and/or the editor(s). MDPI and/or the editor(s) disclaim responsibility for any injury to people or property resulting from any ideas, methods, instructions or products referred to in the content.

Share and Cite

MDPI and ACS Style

Toan, N.V.; Hau, N.T.; Nam, P.M.; Ngoc Son, P.; Duy, T.T. Analysis of Security–Reliability Tradeoff of Two-Way Hybrid Satellite–Terrestrial Relay Schemes Using Fountain Codes, Successive Interference Cancelation, Digital Network Coding, Partial Relay Selection, and Cooperative Jamming. Telecom 2026, 7, 5. https://doi.org/10.3390/telecom7010005

AMA Style

Toan NV, Hau NT, Nam PM, Ngoc Son P, Duy TT. Analysis of Security–Reliability Tradeoff of Two-Way Hybrid Satellite–Terrestrial Relay Schemes Using Fountain Codes, Successive Interference Cancelation, Digital Network Coding, Partial Relay Selection, and Cooperative Jamming. Telecom. 2026; 7(1):5. https://doi.org/10.3390/telecom7010005

Chicago/Turabian Style

Toan, Nguyen Van, Nguyen Thi Hau, Pham Minh Nam, Pham Ngoc Son, and Tran Trung Duy. 2026. "Analysis of Security–Reliability Tradeoff of Two-Way Hybrid Satellite–Terrestrial Relay Schemes Using Fountain Codes, Successive Interference Cancelation, Digital Network Coding, Partial Relay Selection, and Cooperative Jamming" Telecom 7, no. 1: 5. https://doi.org/10.3390/telecom7010005

APA Style

Toan, N. V., Hau, N. T., Nam, P. M., Ngoc Son, P., & Duy, T. T. (2026). Analysis of Security–Reliability Tradeoff of Two-Way Hybrid Satellite–Terrestrial Relay Schemes Using Fountain Codes, Successive Interference Cancelation, Digital Network Coding, Partial Relay Selection, and Cooperative Jamming. Telecom, 7(1), 5. https://doi.org/10.3390/telecom7010005

Article Metrics

Back to TopTop