Initial Synchronization Procedure and Doppler Pre-Compensation for LEO-SATCOM Terminals
Abstract
1. Introduction
- It is assumed that only one LEO satellite is in range. Even in a multi-satellite (constellation) scenario, we assume that one ground terminal is transmitting to only one dedicated LEO satellite at a time. This appears to be an unrealistic assumption. However, it can be easily achieved through directional ground terminal antennas. Here spatial orthogonality is applied. Alternatively, all uplink and downlink signals associated with multiple satellites are assumed to be frequency orthogonal, which avoids inter-satellite interference.
- The LEO uses a regenerative payload. The frequency bands of interest are Ku and Ka bands.
- The LEO transmits a continuous downlink (DL) carrier, which is M-QAM (M-ary quadrature modulation) or M-PSK (M-ary phase shift keying) modulated.
- The LEO antenna beam used for uplink (UL) reception and downlink signal transmission is assumed to be circular shaped and nadir-pointed. We are assuming that the swath diameter on the earth is large, i.e., in the order of 500–1000 km, depending on orbit height.
- Due to the wide antenna swath, no a priori Doppler frequency compensation is applied in the LEO satellite. Hence, each ground terminal needs to perform its own Doppler compensation.
- The ground terminal implements a broadband wireless access scenario in the uplink, having signal bandwidth in the order of 5 up to 30 MHz. The terminals initial network log-on, however, is realized by means of a narrow band random access channel (RACH), which uses ALOHA-like [4] log-on radio bursts. It is assumed that the RACH uses a dedicated frequency band, which is not used by regular uplink payload data transmission. The initial log-on bursts only have a maximum signal bandwidth of up to 100 kHz. Hence, the RACH reception is rather sensitive to Doppler frequency shifts which motivates us to pre-compensate Doppler effects in the ground terminals.
- Since the LEO overflight time is limited, the ground terminal tries to maximize the useful transmission time. Hence, the terminals will start the initial Doppler frequency synchronization and pre-compensation at an early stage of the LEO overflight, where even the DL signal is still not decodable. This motivates us to use blind DL carrier detection and Doppler pre-compensation algorithms, which do not rely on the decodability of the DL carrier.
1.1. Preliminary Work and Contribution
1.2. Introduction into the Three Step Approach
- −10 dB −3 dB: detect the presence of the LEO satellite downlink signal.
- −3 dB 0 dB: synchronize the terminal receiver to the current Doppler frequency shift, perform Doppler pre-compensation before uplink signal transmission.
- 0 dB 3 dB: ensure a low probability of false alarm at LEO uplink packet detection.
1.2.1. Step 1: Downlink Carrier Detection
1.2.2. Step 2: Doppler Pre-Compensation
1.2.3. Step 3: Reduction of False Alarms in UL LEO Receiver
1.3. Article Structure
2. Doppler Effect and Baseband Signal Model and Downlink Carrier Detection
2.1. Baseband Signal Model and Doppler Effect
2.2. Blind Downlink Carrier Detection
3. Blind Doppler Shift Estimation and Doppler Pre-Compensation
3.1. Blind Doppler Shift Estimation
- In the early phase of the LEO satellite overflight only BPSK or QPSK are used and M value can be fixed.
- Downlink adaptive coding and modulation (ACM) is used where M might change over time. In such a case, parallel blind estimators are applied, each having a given M value. An additional logic then combines the individual CFO estimation results.
3.2. Doppler Pre-Compensation
3.3. Example Scenario
4. False Alarm Prevention in Uplink Packet Detection
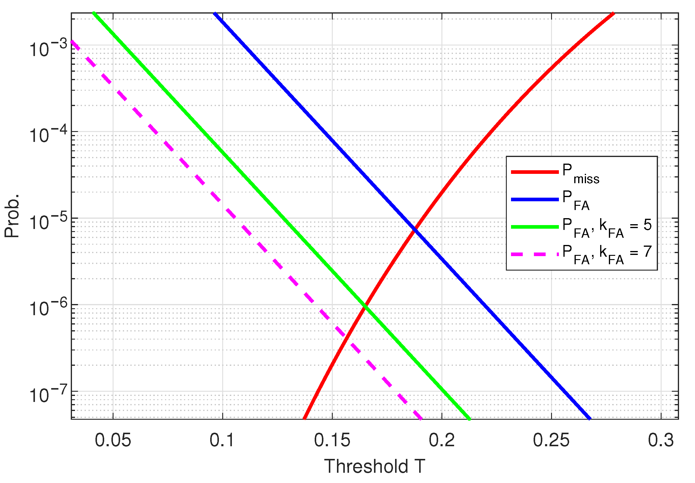
4.1. The Receiver Operating Characteristics
- The threshold shall be high enough to avoid random noise to trigger a burst detection event. This would result in a so-called false alarm, where denotes the probability of false alarm accordingly.
- The threshold shall be low enough to ensure that even weak cross-correlation peaks of the incoming preamble sequence are still being detected. If the threshold detector misses a valid packet start, this results in a miss-detection event. The miss detection probability represents variable .
4.2. FA Prevention
4.2.1. Burst Traffic Frame Structure
4.2.2. FA Prevention Field Insertion
4.2.3. FAP Code Generation
4.2.4. FAP Coherent Demodulation and ML-Decoding
4.2.5. FAP Cross-Correlation Reception and Decoding
4.2.6. FAP Decoding Performance
5. Preamble Sub-Sequence FAP Coding
6. Conclusions
Funding
Data Availability Statement
Conflicts of Interest
Abbreviations
| BB | Base band |
| BPSK | Binary phase shift keying |
| DFT | Discrete Fourier transformation |
| DL | Down link |
| DVB-S2 | Digital video broadcast, satellite |
| CFO | Carrier frequency offset |
| CRC | cyclic redundancy check |
| FA | False alarm |
| FAP | False alarm prevention |
| FEC | Forward error correction |
| FER | Frame error rate |
| FFT | Fast Fourier transformation |
| GNSS | Global navigation satellite system |
| ICARUS | International cooperation for animal research using space |
| LEO | Low earth orbit |
| LTE | Long-term evolution mobile communications |
| MF-TDMA | Multi-frequency time division multiple access |
| MHDCS | Maximum hamming distance code search |
| ML | Maximum likelihood |
| MODCOD | Modulation and coding scheme |
| OFDMA | Orthogonal frequency division multiple access |
| Probability density function | |
| PHY | Physical layer |
| PN | Pseudo-noise |
| QPSK | Quadrature phase shift keying |
| RACH | Random access channel |
| ROC | Receiver operating characteristics |
| RRC | Root raised cosine |
| RV | Random variable |
| SNR | Signal to noise ratio |
| UL | Uplink |
References
- Humphreys, T.E.; Iannucci, P.A.; Komodromos, Z.M.; Graff, A.M. Signal Structure of the Starlink Ku-Band Downlink. IEEE Trans. Aerosp. Electron. Syst. 2023, 59, 6016–6030. [Google Scholar] [CrossRef]
- Krondorf, M.; Goblirsch, M.; Gaudenzi, R.; Cocco, G.; Toptsidis, N.; Acar, G. Towards the implementation of advanced random access schemes for satellite IoT. Int. J. Satell. Commun. Netw. 2020, 38, 177–199. [Google Scholar] [CrossRef]
- Krondorf, M.; Bittner, S.; Plettemeyer, D.; Knopp, A.; Wikelski, M. ICARUS—Very Low Power Satellite-Based IoT. Sensors 2022, 17, 6329. [Google Scholar] [CrossRef] [PubMed]
- Abramson, N. The ALOHA System—Another Alternative for Computer Communications. AFIDS Conf. Proc. 1970, 37, 281–285. [Google Scholar]
- Pan, M.; Hu, J.; Yuan, J.; Liu, J.; Su, Y. An Efficient Blind Doppler Shift Estimation and Compensation Method for LEO Satellite Communications. In Proceedings of the IEEE 20th International Conference on Communication Technology (ICCT), Nanning, China, 28–31 October 2020; pp. 643–648. [Google Scholar] [CrossRef]
- Liu, Y.; Su, Y.; Zhou, Y.; Cao, H.; Shi, J. Frequency Offset Estimation for High Dynamic LEO Satellite Communication Systems. In Proceedings of the 2019 11th International Conference on Wireless Communications and Signal Processing (WCSP), Xi’an, China, 23–25 October 2019; pp. 1–6. [Google Scholar] [CrossRef]
- Lin, X.; Lin, Z.; Lowenmark, S.E.; Rune, J.; Ericsson, R.K. Doppler Shift Estimation in 5G New Radio Non-Terrestrial Networks. In Proceedings of the 2021 IEEE Global Communications Conference (GLOBECOM), Madrid, Spain, 7–11 December 2021. [Google Scholar]
- Peters, E.G.W.; Day, K.; Benson, C.R. A real-time Doppler compensating physical/data link layer protocol for satellite communications. In Proceedings of the 2020 IEEE Aerospace Conference, Big Sky, MT, USA, 7–14 March 2020; pp. 1–11. [Google Scholar] [CrossRef]
- Cao, Y.; Zhang, T. Two stage frequency offset pre-compensation scheme for satellite mobile terminals. In Proceedings of the 2018 13th IEEE Conference on Industrial Electronics and Applications (ICIEA), Wuhan, China, 31 May–2 June 2018; pp. 117–122. [Google Scholar] [CrossRef]
- Sultan, Q.; Ha, S.; Choi, S.; Cho, Y.S. Downlink Synchronization in New Radio (NR) Non-Terrestrial Networks (NTN). In Proceedings of the 2022 13th International Conference on Information and Communication Technology Convergence (ICTC), Jeju Island, Republic of Korea, 19–21 October 2022; pp. 1351–1353. [Google Scholar] [CrossRef]
- Riedl, T.J.; Singer, A.C. Broadband Doppler compensation: Principles and new results. In Proceedings of the 2011 Conference Record of the Forty Fifth Asilomar Conference on Signals, Systems and Computers (ASILOMAR), Pacific Grove, CA, USA, 6–9 November 2011; pp. 944–946. [Google Scholar] [CrossRef]
- Zhou, Z.; Accettura, N.; Prévost, R.; Berthou, P. Lightweight synchronization to NBIoT enabled LEO Satellites through Doppler prediction. In Proceedings of the 2023 19th International Conference on Wireless and Mobile Computing, Networking and Communications (WiMob), Montreal, QC, Canada, 21–23 June 2023. [Google Scholar]
- EN 301 545-2 V1.3.1; DVB-RCS2 (Second Generation Return Channel Satellite)—Lower Layer. European Telecommunications Standards Institute (ETSI): Sophia Antipolis, France, 2020.
- Wünsche, R.; Krondorf, M. Memory Based Compensation of Phased Array Beamforming Antenna Gain Loss in LEO Satellite Systems Using Fourier Series. In Proceedings of the 64th International Symposium ELMAR-2022, Zadar, Croatia, 12–14 September 2022. [Google Scholar]
- 3GPP TR38.811; Study on New Radio (NR) to Support Non-terrestrial Networks, Release 16. 3GPP: Sophia Antipolis, France, 2018.
- Oerder, M.; Meyr, H. Digital filter and square timing recovery. IEEE Trans. Commun. 1988, 36, 605–612. [Google Scholar] [CrossRef]
- Morelli, M.; Mengali, U. Feedforward frequency estimation for PSK: A tutorial review. Eur. Trans. Telecommun. 1998, 9, 103–116. [Google Scholar] [CrossRef]
- IEEE. WiFi Standard Technical Documentation for IEEE 802.11n-2009. Available online: https://standards.ieee.org/ieee/802.11n/3952/ (accessed on 15 September 2025).
- LoRa-Alliance. LoRaWAN Technical Specification: TS001-1.0.4 LoRaWAN L2 1.0.4 Specification. Available online: https://lora-alliance.org/ (accessed on 15 September 2025).
- Heiskala, J.; Terry, J. Ofdm Wireless LANs: A Theoretical and Practical Guide; SAMS Publishing: Indianapolis, IN, USA, 2001. [Google Scholar]
- Martinez, A.B.; Kumar, A.; Chafii, M.; Fettweis, G. A New Approach for Accurate Time Synchronization Using Chirp Signals. In Proceedings of the IEEE Vehicular Technology Conference (VTC Spring 2020), Antwerp, Belgium, 25–28 May 2020. [Google Scholar] [CrossRef]
- Bizon Franco de Almeida, I.; Chafii, M.; Nimr, A.; Fettweis, G. Alternative Chirp Spread Spectrum Techniques for LPWANs. IEEE Trans. Green Commun. Netw. 2021, 5, 1846–1855. [Google Scholar] [CrossRef]
- Kelly, H.Z.; O’Malley, A.J.; Mauri, L. Receiver-Operating Characteristic Analysis for Evaluating Diagnostic Tests and Predictive Models. Circulation 2007, 115, 654–657. [Google Scholar] [CrossRef] [PubMed]
- European Telecommunications Standards Institute (ETSI). DVB-S2x Standard Document: ETSI EN 302 307-2 V1.1.1 (2014-10). 2014. Available online: https://www.etsi.org/ (accessed on 15 September 2025).
- Costello, L. Error Control Coding: Fundamentals and Applications; Pearson: London, UK, 2004; ISBN 013042672. [Google Scholar]



















| Orbit [km] | [GHz] | av. [kHz] | wc [kHz] | av. [Hz/s] |
|---|---|---|---|---|
| 400 | 0.45 | 6 | 9 | 65 |
| 400 | 0.85 | 11 | 16 | 123 |
| 400 | 1.5 | 19 | 29 | 217 |
| 400 | 3.5 | 44 | 67 | 505 |
| 400 | 5.5 | 70 | 105 | 794 |
| 400 | 10.0 | 127 | 191 | 1444 |
| 400 | 12.0 | 153 | 229 | 1733 |
| 400 | 20.0 | 254 | 381 | 2888 |
| 400 | 27.0 | 343 | 515 | 3890 |
| 40 MHz | |
| 5 | |
| FFT Size K | 16k |
| FFT Averaging | 512 |
| Number of channel estimations per second | 23 |
| 6.1 kHz | |
| at start | −3.3 kHz/s |
| Doppler acceleration | −80 Hz/ |
| , | 0.03, 0.01 |
| Downlink SNR | −4 dB |
| SNR | Threshold | FA Events per Second | Rx Blocking Time Duration |
|---|---|---|---|
| <3 dB | 0.17 | 10 | 10% |
| 3 dB–5 dB | 0.20 | 3 | 3% |
| >5 dB | 0.25 | 0.2 | 0.2% |
| SNR | T | FA Events per Second | Rx Blocking Time | Rx Blocking with FAP |
|---|---|---|---|---|
| <3 dB | 0.17 | 10 | 10% | 0.15% |
| 3 dB–5 dB | 0.20 | 3 | 3% | 0.05% |
| >5 dB | 0.25 | 0.2 | 0.2% | 0.003% |
Disclaimer/Publisher’s Note: The statements, opinions and data contained in all publications are solely those of the individual author(s) and contributor(s) and not of MDPI and/or the editor(s). MDPI and/or the editor(s) disclaim responsibility for any injury to people or property resulting from any ideas, methods, instructions or products referred to in the content. |
© 2025 by the author. Licensee MDPI, Basel, Switzerland. This article is an open access article distributed under the terms and conditions of the Creative Commons Attribution (CC BY) license (https://creativecommons.org/licenses/by/4.0/).
Share and Cite
Krondorf, M. Initial Synchronization Procedure and Doppler Pre-Compensation for LEO-SATCOM Terminals. Telecom 2025, 6, 81. https://doi.org/10.3390/telecom6040081
Krondorf M. Initial Synchronization Procedure and Doppler Pre-Compensation for LEO-SATCOM Terminals. Telecom. 2025; 6(4):81. https://doi.org/10.3390/telecom6040081
Chicago/Turabian StyleKrondorf, Marco. 2025. "Initial Synchronization Procedure and Doppler Pre-Compensation for LEO-SATCOM Terminals" Telecom 6, no. 4: 81. https://doi.org/10.3390/telecom6040081
APA StyleKrondorf, M. (2025). Initial Synchronization Procedure and Doppler Pre-Compensation for LEO-SATCOM Terminals. Telecom, 6(4), 81. https://doi.org/10.3390/telecom6040081

