Unique Dielectric Protection for Microwave and Millimeter-Wave Antenna Applications
Abstract
1. Introduction
2. Design of Dielectric-Layered Sandwich Structure
3. EM Analysis of Antennas with Dielectric-Layered Sandwich Structure
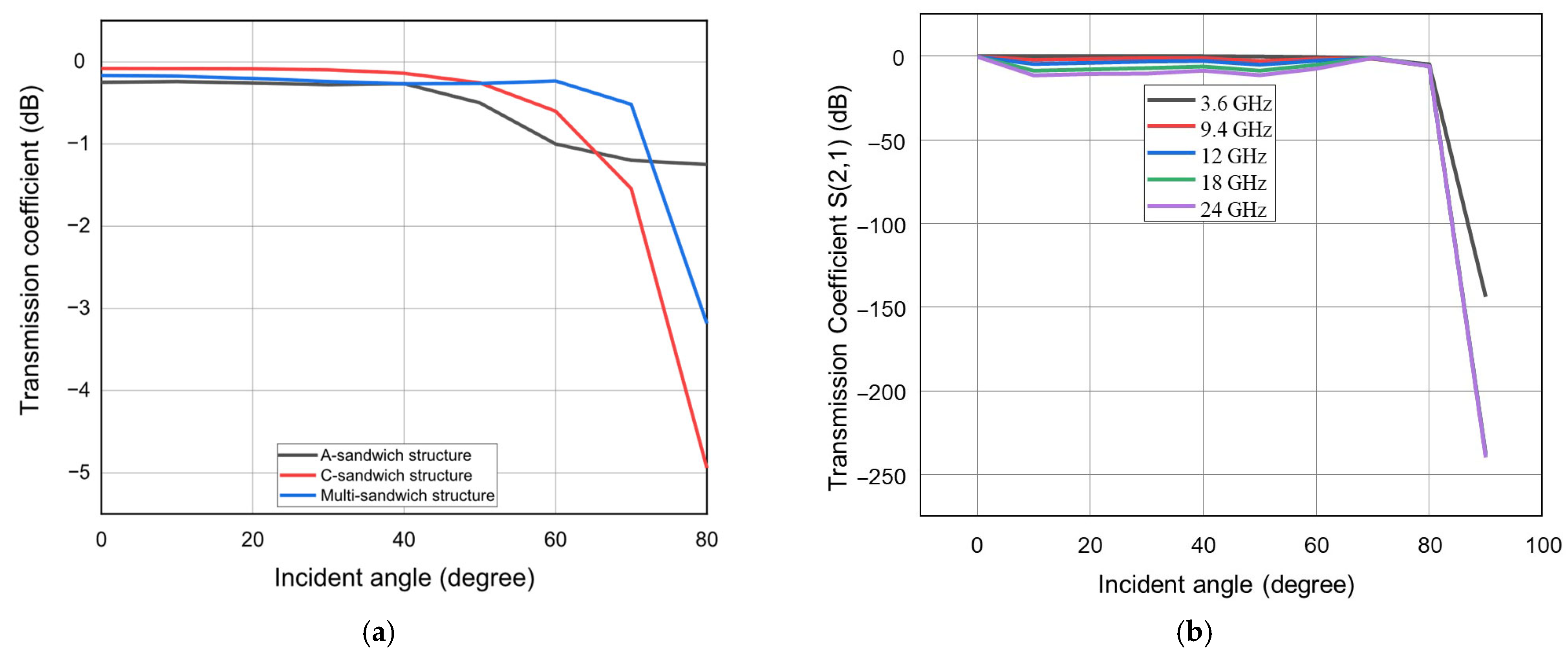
3.1. EM Analysis of Microwave Sub-6 GHz Antennas
3.2. EM Analysis of Microwave X-Band Antenna
3.3. EM Analysis of Millimeter-Wave Antenna
4. Fabrication and Measurements
5. Conclusions
Author Contributions
Funding
Data Availability Statement
Acknowledgments
Conflicts of Interest
References
- Yurchenko, V.B.; Altintas, A.; Nosich, A.I. Numerical optimization of a cylindrical reflector-in-radome antenna system. IEEE Trans. Antennas Propag. 1999, 47, 668–673. [Google Scholar] [CrossRef]
- Nair, R.; Vandana, S.; Sandhya, S.; Jha, R.M. Temperature-dependent electromagnetic performance predictions of a hypersonic streamlined radome. Prog. Electromagn. Res. 2015, 154, 65–78. [Google Scholar] [CrossRef]
- Chen, F.; Shen, Q.; Zhang, L. Electromagnetic optimal design and preparation of broadband ceramic radome material with graded porous structure. Prog. Electromagn. Res. 2010, 105, 445–461. [Google Scholar] [CrossRef]
- Pei, Y.; Zeng, A.; Zhou, L.; Zhang, R.; Xu, K. Electromagnetic optimal design for dual-band radome wall with alternating layers of staggered composite and Kagome lattice structure. Prog. Electromagn. Res. 2012, 122, 437–452. [Google Scholar] [CrossRef]
- Nair, R.U.; Jha, R.M. Novel A-sandwich radome design for airborne applications. Electron. Lett. 2007, 43, 787–788. [Google Scholar] [CrossRef]
- Nair, R.U.; Jha, R.M. Electromagnetic performance analysis of a novel monolithic radome for airborne applications. IEEE Trans. Antennas Propag. 2009, 57, 3664–3668. [Google Scholar] [CrossRef]
- Yazeen, P.M.; Vinisha, C.V.; Vandana, S.; Suprava, M.; Nair, R.U. Electromagnetic performance analysis of graded dielectric inhomogeneous streamlined airborne radome. IEEE Trans. Antennas Propag. 2017, 65, 2718–2723. [Google Scholar] [CrossRef]
- Tahseen, H.U.; Yang, L.; Zhou, X. Design of FSS-antenna-radome system for airborne and ground applications. IET Commun. 2021, 15, 1691–1699. [Google Scholar] [CrossRef]
- Zhou, L.; Pei, Y.; Fang, D. Dual-band A-sandwich radome design for airborne applications. IEEE Antennas Wirel. Propag. Lett. 2015, 15, 218–221. [Google Scholar] [CrossRef]
- Nair, R.U.; Jha, R.M. Electromagnetic design and performance analysis of airborne radomes: Trends and perspectives. IEEE Antennas Propag. Mag. 2014, 56, 276–298. [Google Scholar] [CrossRef]
- Ismail, Ç.O.R.; Birsen, S. Geni¸s bantlı radom analizi ve eniyilenmesi analysis and optimization of wideband radomes. In Proceedings of the 26th Signal Processing and Communications Applications Conference, Izmir, Turkey, 2–5 May 2018. [Google Scholar]
- Xu, W.; Duan, B.Y.; Li, P.; Hu, N.; Qiu, Y. Multiobjective particle swarm optimization of boresight error and transmission loss for airborne radomes. IEEE Trans. Antennas Propag. 2014, 62, 5880–5885. [Google Scholar] [CrossRef]
- Nair, R.U.; Suprava, M.; Jha, R.M. Graded dielectric inhomogeneous streamlined radome for airborne application. Electron. Lett. 2015, 51, 862–863. [Google Scholar] [CrossRef]
- Rudge, A.W. (Ed.) Radomes. In The Handbook of Antenna Design; IET: London, UK, 1982; Volume 2. [Google Scholar]
- Tahseen, H.U.; Yang, L.; Hongjin, W. A Broadband H-plane Printed Horn Antenna with Sandwich Substrate Structure for Millimeter-wave Applications. Appl. Comput. Electromagn. Soc. J. (ACES) 2021, 36, 295–301. [Google Scholar] [CrossRef]
- Xu, W.; Duan, B.Y.; Li, P.; Qiu, Y. Study on the Electromagnetic Performance of Inhomogeneous Radomes for Airborne Applications—Part II: The Overall Comparison with Variable Thickness Radomes. IEEE Trans. Antennas Propag. 2017, 65, 3175–3183. [Google Scholar] [CrossRef]
- Narayan, S.; Gulati, G.; Sangeetha, B.; Nair, R.U. Novel Metamaterial-Element-Based FSS for Airborne Radome Applications. IEEE Trans. Antennas Propag. 2018, 66, 4695–4707. [Google Scholar] [CrossRef]
- Merenda, M.; Iero, D.; G. Della Corte, F. CMOS RF Transmitters with On-Chip Antenna for Passive RFID and IoT Nodes. Electronics 2019, 8, 1448. [Google Scholar] [CrossRef]
- Merenda, M.; Felini, C.; Della Corte, F.G. A Monolithic Multisensor Microchip with Complete On-Chip RF Front-End. Sensors 2018, 18, 110. [Google Scholar] [CrossRef] [PubMed]























Disclaimer/Publisher’s Note: The statements, opinions and data contained in all publications are solely those of the individual author(s) and contributor(s) and not of MDPI and/or the editor(s). MDPI and/or the editor(s) disclaim responsibility for any injury to people or property resulting from any ideas, methods, instructions or products referred to in the content. |
© 2025 by the authors. Licensee MDPI, Basel, Switzerland. This article is an open access article distributed under the terms and conditions of the Creative Commons Attribution (CC BY) license (https://creativecommons.org/licenses/by/4.0/).
Share and Cite
Tahseen, H.U.; Francioso, L.; Hussain, S.S.I.; Catarinucci, L. Unique Dielectric Protection for Microwave and Millimeter-Wave Antenna Applications. Telecom 2025, 6, 74. https://doi.org/10.3390/telecom6040074
Tahseen HU, Francioso L, Hussain SSI, Catarinucci L. Unique Dielectric Protection for Microwave and Millimeter-Wave Antenna Applications. Telecom. 2025; 6(4):74. https://doi.org/10.3390/telecom6040074
Chicago/Turabian StyleTahseen, Hafiz Usman, Luca Francioso, Syed Shah Irfan Hussain, and Luca Catarinucci. 2025. "Unique Dielectric Protection for Microwave and Millimeter-Wave Antenna Applications" Telecom 6, no. 4: 74. https://doi.org/10.3390/telecom6040074
APA StyleTahseen, H. U., Francioso, L., Hussain, S. S. I., & Catarinucci, L. (2025). Unique Dielectric Protection for Microwave and Millimeter-Wave Antenna Applications. Telecom, 6(4), 74. https://doi.org/10.3390/telecom6040074

