Closed-Form Approximation to the Average Symbol Error Probability for Cross-QAM over κ–μ Fading Channels with Experimental Validation in the Millimeter-Wave Band
Abstract
1. Introduction
1.1. Related Work
1.2. Contributions and Organization
2. Basic Review
2.1. Cross M-QAM Modulation
- (a)
- 8 symbols have two neighbors;
- (b)
- symbols have three neighbors;
- (c)
- symbols have four neighbors.
2.2. Fading Channels
2.3. The – Fading Model
3. Closed-Form Approximation to the SEP of Cross-QAM over – Model
4. Field Measurements and Channel Modeling
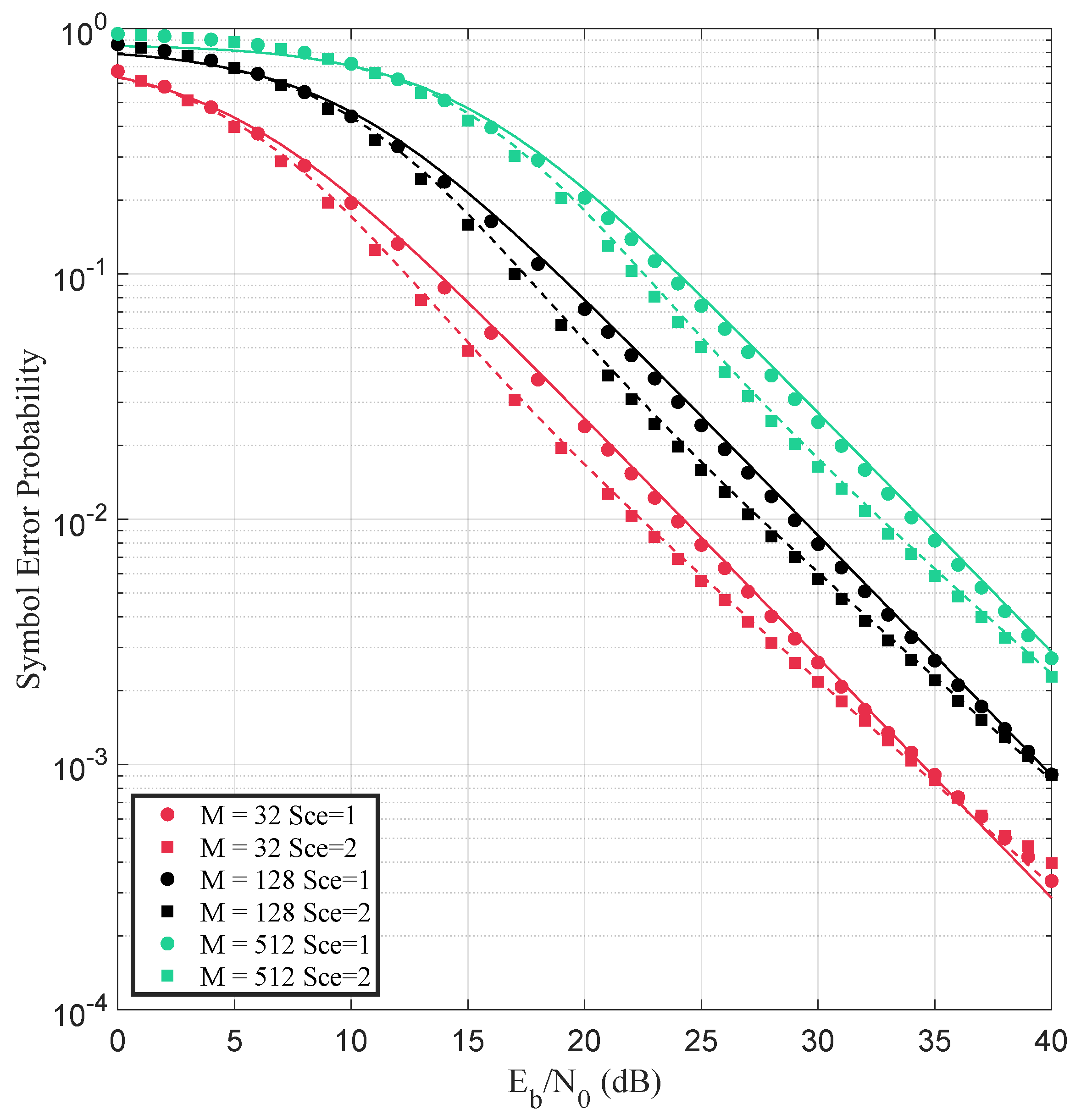
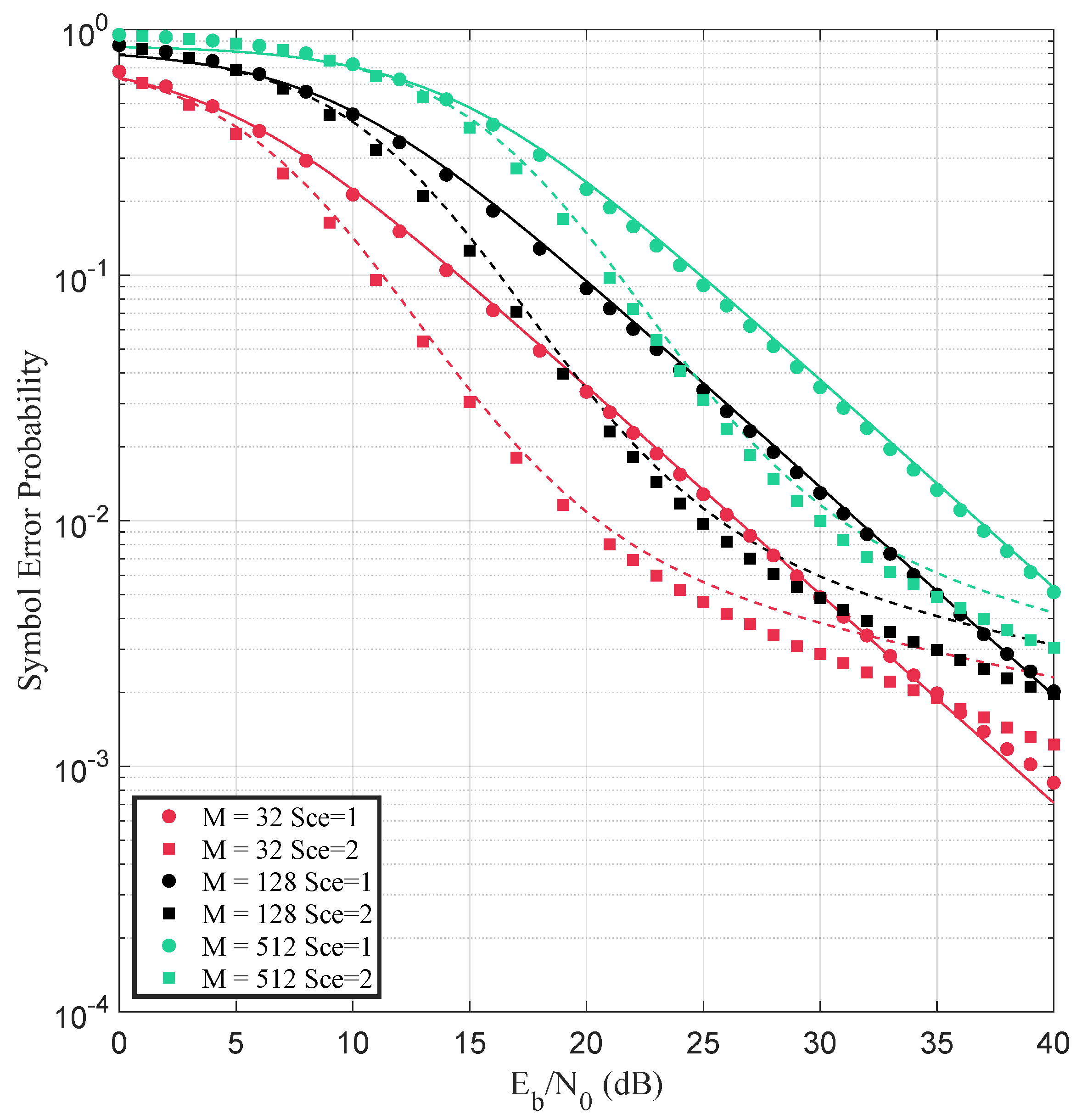
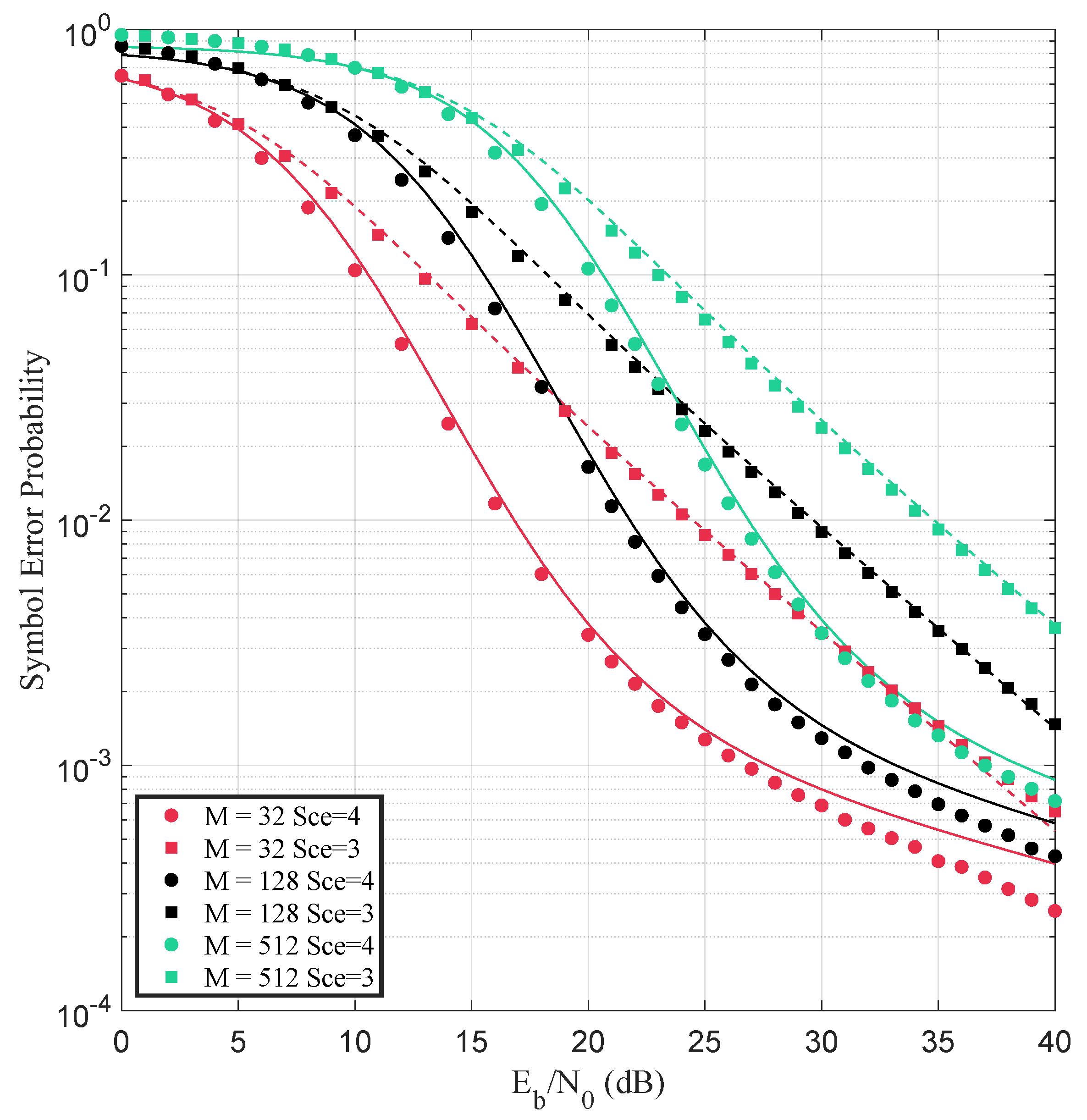
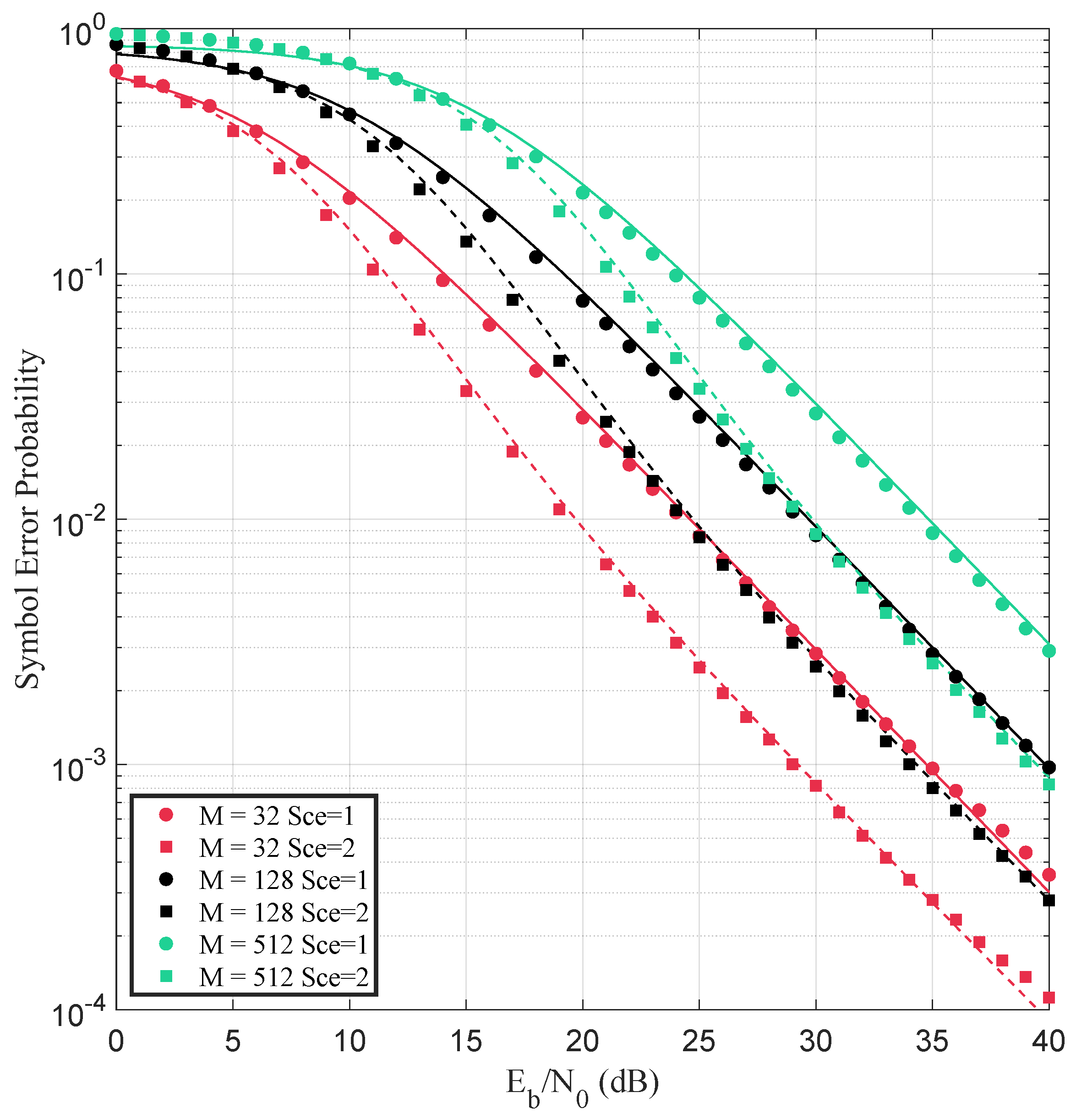
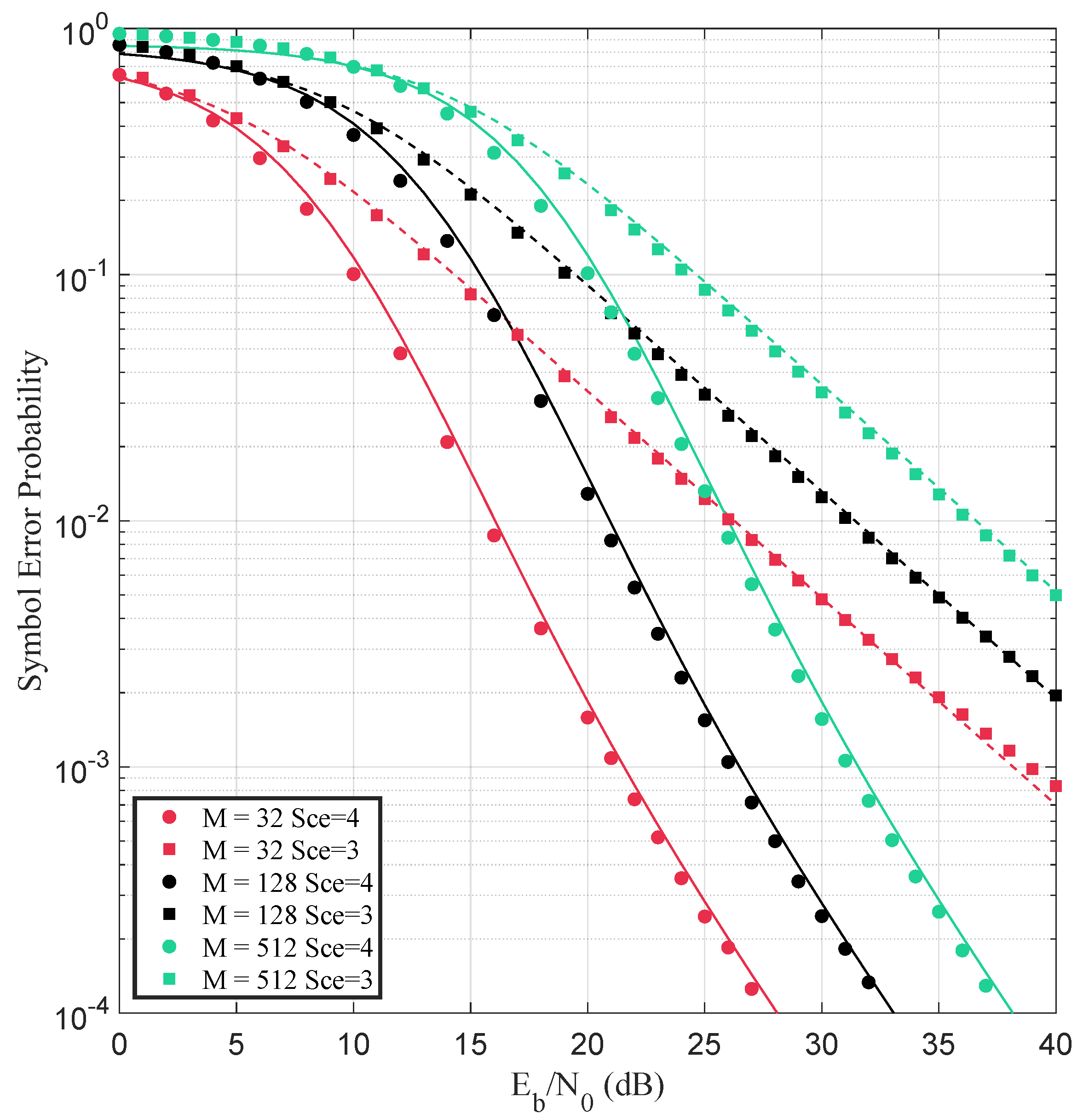
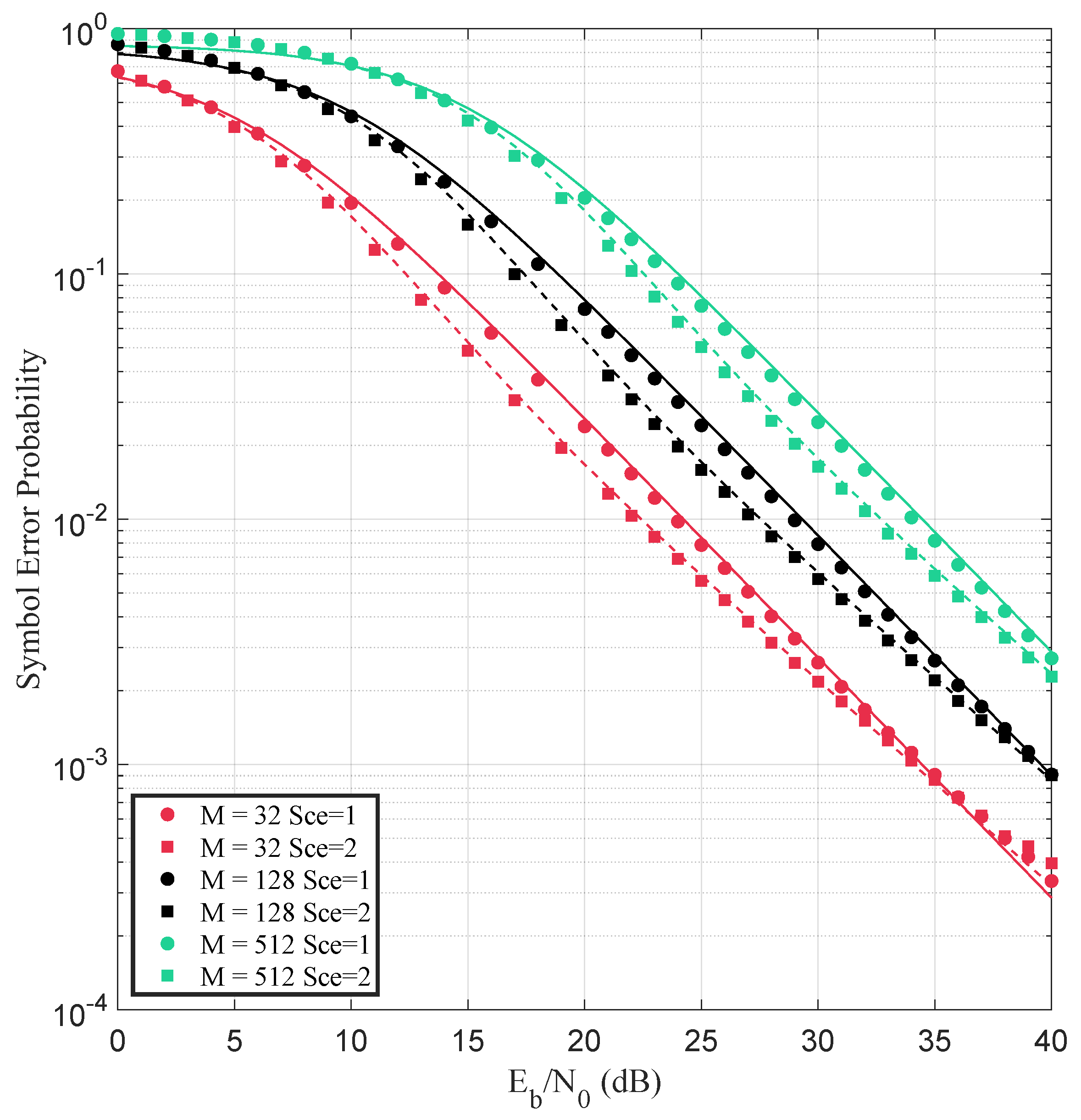
- Scenario 1: LoS with crossed polarization (HV), distance of 3.29 m between transmitter (Tx) and receiver (Rx). This setting emphasizes diffuse components by attenuating the direct path.
- Scenario 2: LoS with co-polarized antennas (VV) at the same distance of 3.29 m, providing strong antenna coupling and emphasizing the direct path with minimal attenuation.
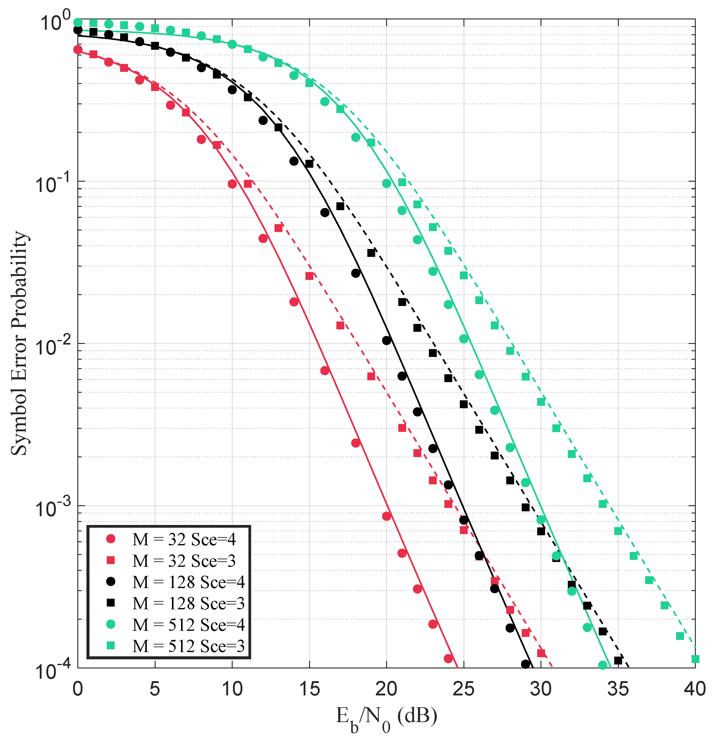
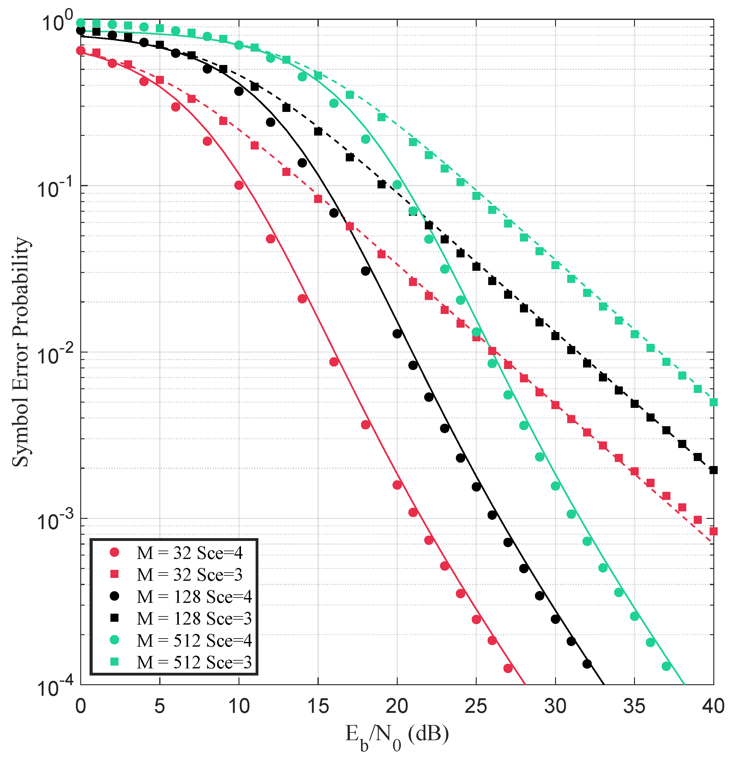
- Scenario 3: nLoS with co-polarized antennas (VV) at the same distance of 3.29 m, with an absorber obstructing the LoS to emulate common indoor blockage.
- Scenario 4: Favorable LoS with VV polarization and reduced separation of 2.77 m, resulting in a strong dominant component.
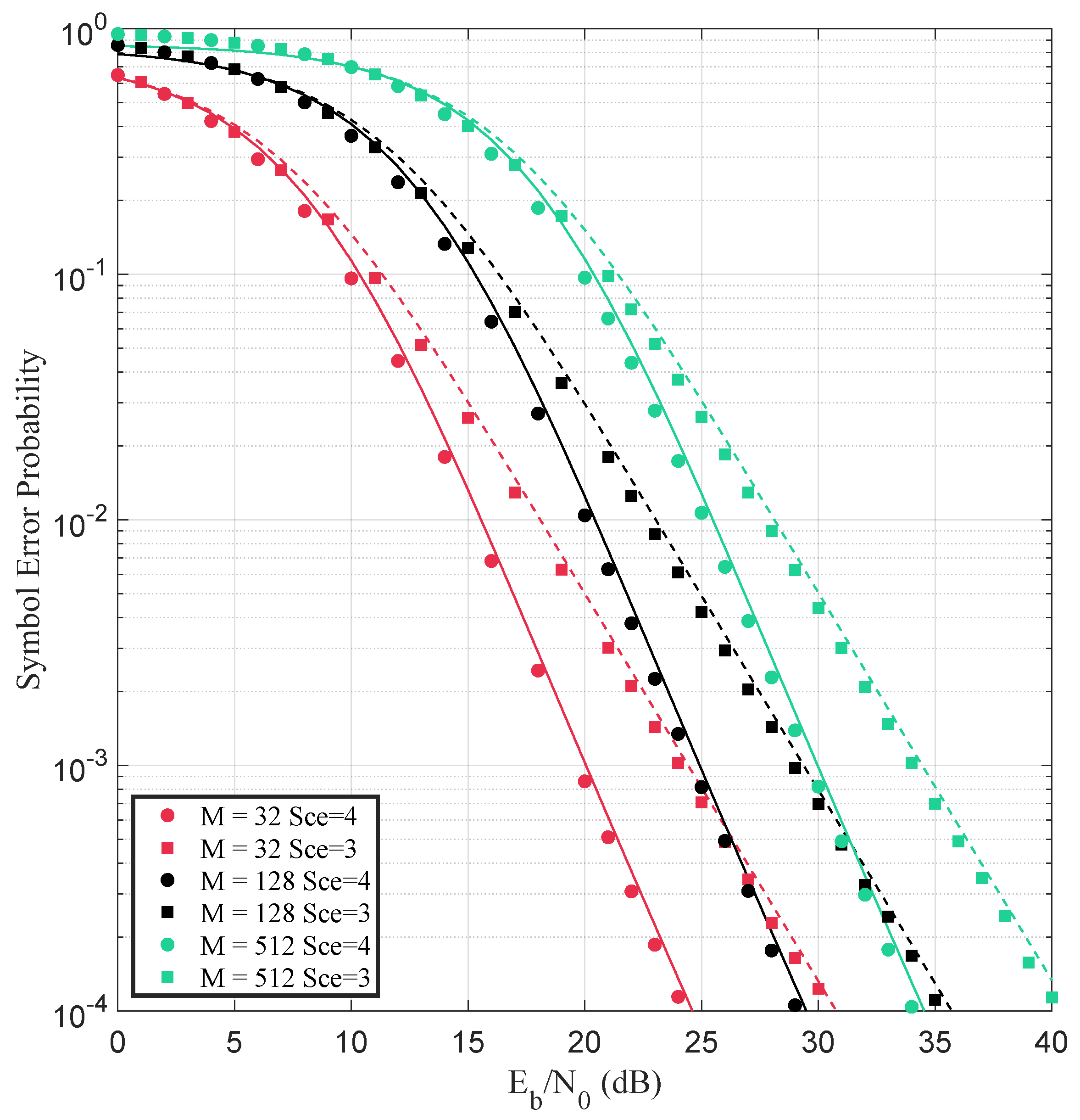
5. Performance Evaluation
6. Conclusions
Author Contributions
Funding
Data Availability Statement
Conflicts of Interest
References
- Ghosh, A.; Maeder, A.; Baker, M.; Chandramouli, D. 5G Evolution: A View on 5G Cellular Technology Beyond 3GPP Release 15. IEEE Access 2019, 7, 127639–127651. [Google Scholar] [CrossRef]
- Proakis, J.G.; Manolakis, D. Digital Communications, 4th ed.; McGraw-Hill: New York, NY, USA, 2007. [Google Scholar]
- Orozco, N.; Carvajal, H.; de Almeida, C. A Hybrid Transmission Scheme Employing Opportunistic Transmission and Multiuser Diversity. In Proceedings of the 13th IEEE International Conference on Wireless and Mobile Computing, Networking and Communications (WiMob), Rome, Italy, 9–11 October 2017. [Google Scholar]
- Orozco, N.; Carvajal, H.; de Almeida, C. An Opportunistic System to Counteract Fading and Gaussian Interference Effects Under Different Modulation Schemes. IEEE Lat. Am. Trans. 2018, 16, 2716–2721. [Google Scholar] [CrossRef]
- Lee, J.; Jung, J.; Ahn, J.M. Simplified Non-Square Quadrature Amplitude Modulation Demapper for DOCSIS 3.1. IEEE Trans. Broadcast. 2017, 63, 156–161. [Google Scholar] [CrossRef]
- Morais, D.H. Novel Non-Square, Gray Coded, 64-QAM Constellations. In Proceedings of the 2015 IEEE Radio and Wireless Symposium (RWS), San Diego, CA, USA, 25–28 January 2015. [Google Scholar]
- Uddin, R.; Li, W.; Yu, J. Optimized Multi-Antenna MRC for 16-QAM Transmission in a Photonics-Aided Millimeter-Wave System. Sensors 2025, 25, 5010. [Google Scholar] [CrossRef]
- Rayleigh, L. On the Resultant of a Large Number of Vibrations of the Same Pitch and of Arbitrary Phase. Philos. Mag. 1880, 10, 73–78. [Google Scholar] [CrossRef]
- Hoyt, R.S. Probability Functions for the Modulus and Angle of the Normal Complex Variate. Bell Syst. Tech. J. 1947, 26, 318–359. [Google Scholar] [CrossRef]
- Rice, S.O. Statistical Properties of Random Noise. Bell Syst. Tech. J. 1945, 24, 46–156. [Google Scholar] [CrossRef]
- Nakagami, M. The m-Distribution—A General Formula of Intensity Distribution of Rapid Fading. Stat. Methods Radio Wave Propag. 1960, 26, 3–36. [Google Scholar]
- Weibull, W. A Statistical Distribution Function of Wide Applicability. J. Appl. Mech. 1951, 18, 293–297. [Google Scholar] [CrossRef]
- Yacoub, M.D. The α-μ Distribution: A Physical Fading Model for the Stacy Distribution. IEEE Trans. Veh. Technol. 2007, 56, 27–34. [Google Scholar] [CrossRef]
- Yacoub, M.D. The κ-μ Distribution and the η-μ Distribution. IEEE Antennas Propag. Mag. 2007, 49, 68–81. [Google Scholar] [CrossRef]
- Zhou, L.; Wang, Y.; Li, H. MDE and LLM Synergy for Network Experimentation: Case Analysis of Wireless System Performance in Beaulieu–Xie Fading and κ–μ Co–Channel Interference Environment with Diversity Combining. Sensors 2024, 24, 3037. [Google Scholar] [CrossRef]
- Anjos, A.A.; da Silva, C.R.N.; de Souza, R.A.A. Fading Evaluation in a Robust Spectrum Sensing System Based on Phase Difference Distribution. IEEE Trans. Veh. Technol. 2025, 74, 9404–9414. [Google Scholar] [CrossRef]
- Wu, Q.; Matolak, D.W.; Sen, I. 5-GHz-Band Vehicle-to-Vehicle Channels: Models for Multiple Values of Channel Bandwidth. IEEE Trans. Veh. Technol. 2010, 59, 2620–2625. [Google Scholar] [CrossRef]
- Cotton, S.L. Second-Order Statistics of κ-μ Shadowed Fading Channels. IEEE Trans. Veh. Technol. 2016, 65, 8715–8720. [Google Scholar] [CrossRef]
- Bhargav, N.; Cotton, S.L.; Smith, D.B. An Experimental-Based Analysis of Inter-BAN Co-Channel Interference Using the κ-μ Fading Model. IEEE Trans. Antennas Propag. 2017, 65, 983–988. [Google Scholar] [CrossRef]
- Canete, F.J.; Fernandez, J.L.; Corrales, C.G.; Sanchez, A.; Robles, E.; Rodrigo, F.J.; Paris, J.F. Measurement and Modeling of Narrowband Channels for Ultrasonic Underwater Communications. Sensors 2016, 16, 256. [Google Scholar] [CrossRef]
- Marins, T.R.R.; dos Anjos, A.A.; da Silva, C.R.N.; Penarrocha, V.M.R.; Rubio, L.; Reig, J.; de Souza, R.A.A.; Yacoub, M.D. Fading Evaluation in Standardized 5G Millimeter-Wave Band. IEEE Access 2021, 9, 67268–67280. [Google Scholar] [CrossRef]
- Chong, P.K.; Yoo, S.E.; Kim, S.H.; Kim, D. Wind-Blown Foliage and Human-Induced Fading in Ground-Surface Narrowband Communications at 400 MHz. IEEE Trans. Veh. Technol. 2011, 60, 1326–1336. [Google Scholar] [CrossRef]
- Marins, T.R.R.; dos Anjos, A.A.; Reig, J.; Rubio, L.; de Souza, R.A.A.; Yacoub, M.D. Fading Evaluation in the mm-Wave Band. IEEE Trans. Commun. 2019, 67, 8725–8738. [Google Scholar] [CrossRef]
- Anjos, A.A.; Marins, T.R.R.; da Silva, C.R.N.; Rodrigo-Penarrocha, V.M.; Rubio, L.; Reig, J.; de Souza, R.A.A.; Yacoub, M.D. Higher Order Statistics in a mmWave Propagation Environment. IEEE Access 2019, 7, 103876–103892. [Google Scholar] [CrossRef]
- Reig, J.; Martinez-Inglés, M.T.; Rubio, L.; Rodrigo-Penarrocha, V.M.; Molina-García-Pardo, J.M. Fading Evaluation in the 60 GHz Band in Line-of-Sight Conditions. Int. J. Antennas Propag. 2014, 12. [Google Scholar] [CrossRef]
- Blumenstein, J.; Prokes, A.; Chandra, A.; Mikulasek, T.; Marsalek, R.; Zemen, T.; Mecklenbrauker, C. In-Vehicle Channel Measurement, Characterization, and Spatial Consistency Comparison of 30–11 GHz and 55–65 GHz Frequency Bands. IEEE Trans. Veh. Technol. 2017, 66, 3526–3537. [Google Scholar] [CrossRef]
- Anjos, A.A.; Tenkorang, G.K.; Martins, F.C.; Leonardo, E.J.; Yacoub, M.D. Suitability of α-μ for Composite Fading Modeling. IEEE Trans. Antennas Propag. 2024, 72, 3670–3679. [Google Scholar] [CrossRef]
- Xia, Y.; Li, Z.; Zhang, H.; Wu, Q. Performance Analysis of Wireless Communications with Nonlinear Energy-Harvesting Hardware Impairments under κ-μ Shadowed Fading. Sensors 2023, 23, 3619. [Google Scholar] [CrossRef]
- Zemen, T.; Blumenstein, J.; Mecklenbräuker, C.; Prokeš, A. Fading Channel Models for mm-Wave Communications. Electronics 2021, 10, 798. [Google Scholar] [CrossRef]
- Bodempudi, N.S.P.; Chaturvedi, A.; H, R.; Kulkarni, M. Analysis of symbol error probability in GFDM under generalized α–κ–μ channels: An approach based on probability density function for beyond 5G wireless applications. AEU -Int. J. Electron. Commun. 2025, 200, 155946. [Google Scholar] [CrossRef]
- Anjos, A.A.; Silva, H.S. On-Off Digital Noise Modulation. IEEE Wirel. Commun. Lett. 2025, early access. [Google Scholar] [CrossRef]
- Mora, H.R.C.; Garzón, N.V.O.; García, F.D.A.; Sánchez, J.D.V.; López, O.L.A. Secure Transmission for Uplink SCMA Systems Over κ-μ Fading Channels. IEEE Trans. Veh. Technol. 2024, 73, 754–770. [Google Scholar] [CrossRef]
- da Silva, C.R.N.; Simmons, N.; Alvarado, M.C.L.; Sofotasios, P.C.; Cotton, S.L.; Yacoub, M.D. α-μ, κ-μ, and η-μ Mixed Products: Exact and Simple-Approximate Solutions, and Practical and RIS Applications. IEEE Trans. Veh. Technol. 2024, 73, 14734–14748. [Google Scholar] [CrossRef]
- Zhang, X.; Yu, H.; Wei, G. Exact Symbol Error Probability of Cross-QAM in AWGN and Fading Channels. EURASIP J. Wirel. Commun. Netw. 2010, 917954. [Google Scholar] [CrossRef]
- Xiong, F. Digital Modulation Techniques, 2nd ed.; Artech House: Boston, MA, USA, 2006. [Google Scholar]
- Al-Hmood, H.; Al-Raweshidy, H. Performance of QAM Schemes with Dual-Hop DF Relaying Systems over Mixed η-μ and κ–μ Fading Channels. arXiv 2015, arXiv:1509.02620. [Google Scholar]
- Abramowitz, M.; Stegun, I.A. Handbook of Mathematical Functions with Formulas, Graphs and Mathematical Tables; Dover: New York, NY, USA, 1964. [Google Scholar]
- Chiani, M.; Dardari, D.; Simon, M.K. New Exponential Bounds and Approximations for the Computation of Error Probability in Fading Channels. IEEE Trans. Wirel. Commun. 2003, 2, 840–845. [Google Scholar] [CrossRef]
- Gradshteyn, I.S.; Ryzhik, I.M. Table of Integrals, Series and Products; Academic Press: New York, NY, USA; London, UK, 1980. [Google Scholar]
- Devroye, L. Non-Uniform Random Variate Generation, 1st ed.; Springer: New York, NY, USA, 1986. [Google Scholar]







| Scenario | Frequency | NMSE [dB] | ||
|---|---|---|---|---|
| 1–LoS–HV–3.29 m | 55 GHz | |||
| 60 GHz | ||||
| 65 GHz | ||||
| 2–LoS–VV–3.29 m | 55 GHz | |||
| 60 GHz | ||||
| 65 GHz | ||||
| 3–nLoS–VV–3.29 m | 55 GHz | |||
| 60 GHz | ||||
| 65 GHz | ||||
| 4–LoS–VV–2.77 m | 55 GHz | |||
| 60 GHz | ||||
| 65 GHz |
Disclaimer/Publisher’s Note: The statements, opinions and data contained in all publications are solely those of the individual author(s) and contributor(s) and not of MDPI and/or the editor(s). MDPI and/or the editor(s) disclaim responsibility for any injury to people or property resulting from any ideas, methods, instructions or products referred to in the content. |
© 2025 by the authors. Licensee MDPI, Basel, Switzerland. This article is an open access article distributed under the terms and conditions of the Creative Commons Attribution (CC BY) license (https://creativecommons.org/licenses/by/4.0/).
Share and Cite
Vieira, W.E.; Carbonaro, K.B.; Carrijo, G.A.; Agustini, E.; Anjos, A.A.d.; Bertarini, P.L.L. Closed-Form Approximation to the Average Symbol Error Probability for Cross-QAM over κ–μ Fading Channels with Experimental Validation in the Millimeter-Wave Band. Telecom 2025, 6, 72. https://doi.org/10.3390/telecom6040072
Vieira WE, Carbonaro KB, Carrijo GA, Agustini E, Anjos AAd, Bertarini PLL. Closed-Form Approximation to the Average Symbol Error Probability for Cross-QAM over κ–μ Fading Channels with Experimental Validation in the Millimeter-Wave Band. Telecom. 2025; 6(4):72. https://doi.org/10.3390/telecom6040072
Chicago/Turabian StyleVieira, Wilian Eurípedes, Karine Barbosa Carbonaro, Gilberto Arantes Carrijo, Edson Agustini, André Antônio dos Anjos, and Pedro Luiz Lima Bertarini. 2025. "Closed-Form Approximation to the Average Symbol Error Probability for Cross-QAM over κ–μ Fading Channels with Experimental Validation in the Millimeter-Wave Band" Telecom 6, no. 4: 72. https://doi.org/10.3390/telecom6040072
APA StyleVieira, W. E., Carbonaro, K. B., Carrijo, G. A., Agustini, E., Anjos, A. A. d., & Bertarini, P. L. L. (2025). Closed-Form Approximation to the Average Symbol Error Probability for Cross-QAM over κ–μ Fading Channels with Experimental Validation in the Millimeter-Wave Band. Telecom, 6(4), 72. https://doi.org/10.3390/telecom6040072

