Dual-Band Single-Layered Frequency Selective Surface Filter for LTE Band with Angular Stability
Abstract
1. Introduction
- Attaining accurate dual-band filtering at 1.9 GHz and 2.1 GHz, ensuring sufficient bandwidths for LTE applications.
- Keeping its angular stability up to 80 degrees, which is far better than the usual stability of designs that are 30–60 degrees.
- Simplifying the design while maintaining efficiency, compactness with the unit-cell dimension of 0.33λl × 0.33λl, and a single-layer approach for enhanced scalability and practicality.
- Tackling the complexities of PIM in contemporary wireless networks by adopting an FSS framework that minimizes interference and improves communication dependability.
2. Proposed Design of FSS Configuration
2.1. Design Methodology with Its Evolution Stages
2.2. Dual-Band Single-Layer Structure
3. Optimization and Analysis of Proposed FSS
3.1. Parametric Study
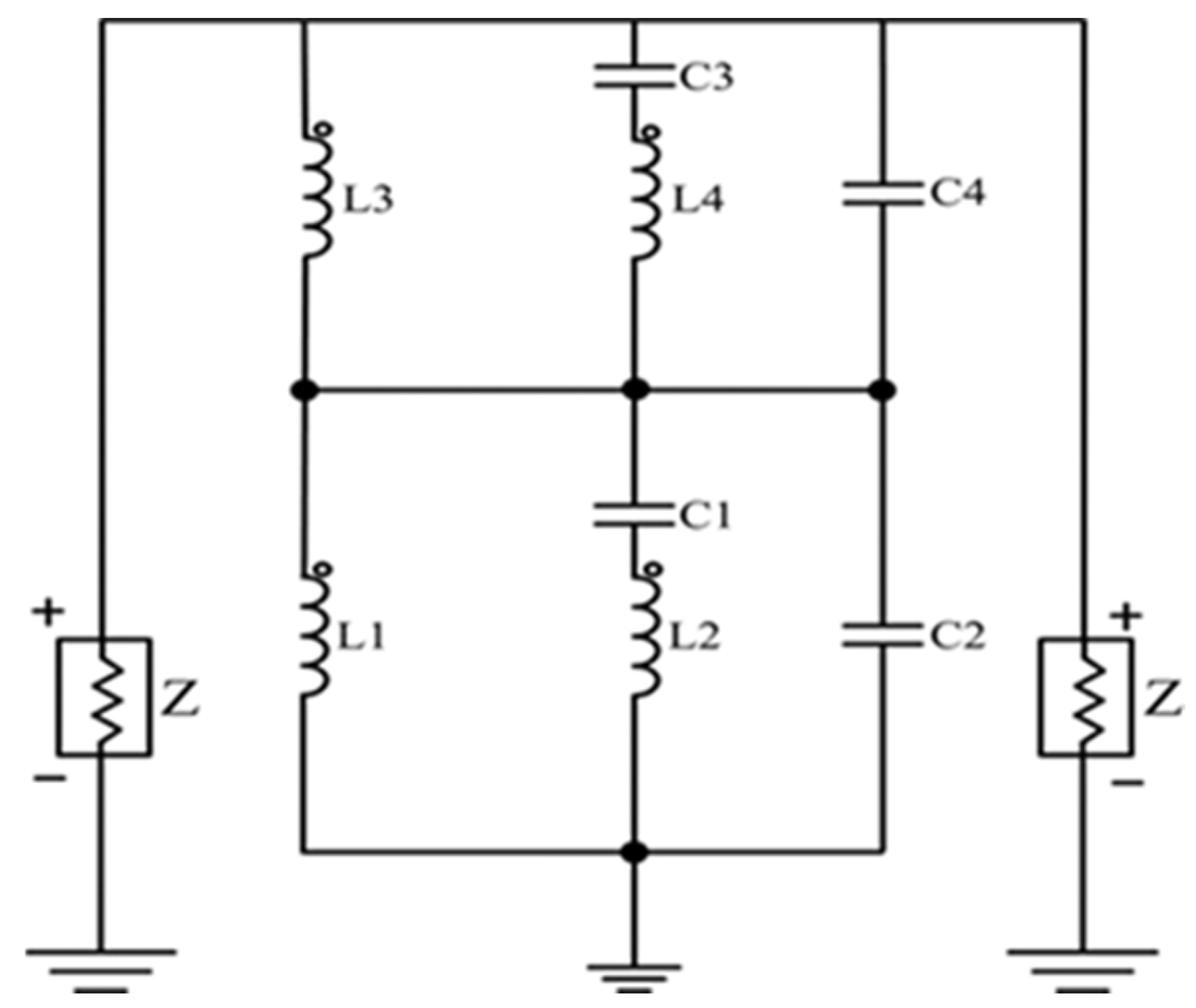
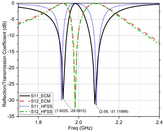
3.2. Equivalent Circuit Model
4. Simulation Results and Discussion of C-FSS
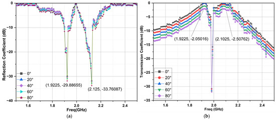
4.1. Transmission/Reflection Coefficient of Double Band with TE Mode Polarization
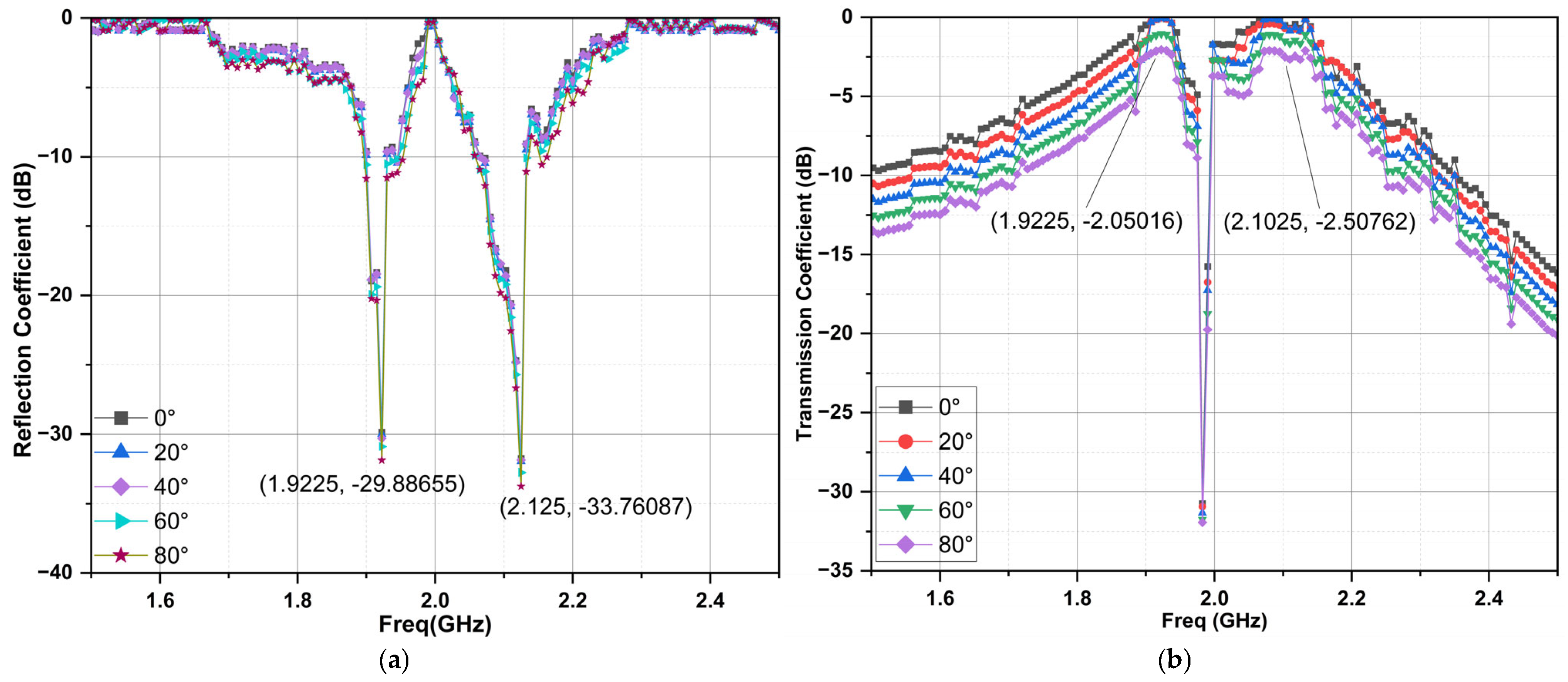
4.2. Angular Stability with TE and TM Mode Polarization
4.3. Z Parameter of C-FSS
5. Fabrication and Measurement Results
6. Performance Comparison of C-FSS
| Ref. | Application | Design Type | Substrate | Dimension (mm) | N1 | N2 | Band | Operating Bandwidth (GHz) | fr (GHz) | Coefficient (dB) | Analysis Method | θ |
|---|---|---|---|---|---|---|---|---|---|---|---|---|
| [43] | 5G and UMTS, energy-saving glass | Aperture type | FR4 | 40 × 40 | 1 | 3 | Tri-Band Band-Pass | (0.64—0.95), (1.71—1.96), (3.43—3.78) (at −3 dB) | 0.7, 1.9, 3.6 | - | - | - |
| [44] | stealth technology—integrated into clothing or camouflage nets to reduce radar cross-section | Aperture type | Textile and foil | 30 × 30 | 1 | 3 | Tri-Band Band-Pass | L, S, Ku Band (at −10 dB) | 1.7,1.9, 5.5 | S21: −35, −26 | - | - |
| [45] | for cross-band near-field mutual coupling suppression | Aperture type | RF-30 | 200 × 200 | 1 | 1 | Dual-Band Band Stop and Band-Pass | (1.7–2.4) (3.3–3.8) (at −10 dB) | 2.1,3.5 | S21: −45 S11: −35 | ECM | Up to 20° |
| [46] | multi-functional telecommunication systems | Patch type, Active FSS | FR4 | 6.6 × 6.6 | 1 | 2 | Multi-functional | 4 operating states | 1.9 | S21: −38, −32, −32, −38 | ECM | Up to 60° |
| [20] | stealth technology, EM shielding technology, and electrically configurable devices | Patch type, Active FSS | F4BME material with 1/2 Oz copper cladding | 320 × 320 | 2 | 6 | Single-Band | (1.764–2.624) (at −3 dB) | 2.1 | S21: −20 | ECM | Up to 60° |
| [42] | EMI shielding | Patch type, Passive FSS | FR4 | 20 × 20 | 2 | 4 | Dual-Band | (1.72–2.32) (2.83–3.56) (at −10 dB) | 2.11, 3.11 | S21: −25 | - | Up to 30° |
| [41] | transmitting LTE 2.1 GHz signals in PIN OFF state while functioning as a band-stop filter to shield those signals | Patch type, Active FSS | F4B-2 | 20 × 20 | 1 | 2 | Single-Band | 0.383 (at −10 dB) | 2.1 | S21: −48 | - | Up to 60° |
| [47] | Wi-Fi shielding | Patch type | Pyrex glass | 21.1 × 21.1 | 1 | 2 | Dual-Band | - | 2.5, 5 | S21: −60, −58 | ECM | Up to 30° |
| This work | Reducing PIM and enhancing dual passband | Aperture type, Passive FSS | RT/Duroid 5880 | 53 × 53 | 1 | 1 | Dual-Band | (1.9–1.94) (2.06–2.12) (at −10 dB) | 2.1, 1.9 | S11: −29.59, −31.11 | ECM | Up to 80° |
7. Conclusions
Author Contributions
Funding
Data Availability Statement
Acknowledgments
Conflicts of Interest
References
- Ahmmed, T.; Kiayani, A.; Shubair, R.M.; Yanikomeroglu, H. Overview of Passive Intermodulation in Modern Wireless Networks: Concepts and Cancellation Techniques. IEEE Access 2023, 11, 128337–128353. [Google Scholar] [CrossRef]
- Jin, Q.; Feng, Q.; Wang, Z. Analysis of passive intermodulation in cascaded connectors with transmit-receive systems. IET Microw. Antennas Propag. 2023, 17, 518–525. [Google Scholar] [CrossRef]
- Waheed, M.Z.; Campo, P.P.; Korpi, D.; Kiayani, A.; Anttila, L.; Valkama, M. Digital Cancellation of Passive Intermodulation in FDD Transceivers. In Proceedings of the 2018 52nd Asilomar Conference on Signals, Systems, and Computers, Pacific Grove, CA, USA, 28–31 October 2018; pp. 1375–1381. [Google Scholar] [CrossRef]
- Waheed, M.Z.; Korpi, D.; Anttila, L.; Kiayani, A.; Kosunen, M.; Stadius, K.; Campo, P.P.; Turunen, M.; Allen, M.; Ryynanen, J.; et al. Passive Intermodulation in Simultaneous Transmit-Receive Systems: Modeling and Digital Cancellation Methods. IEEE Trans. Microw. Theory Technol. 2020, 68, 3633–3652. [Google Scholar] [CrossRef]
- Cai, Z.; Liu, L.; de Paulis, F.; Qi, Y. Passive Intermodulation Measurement: Challenges and Solutions. Engineering 2022, 14, 181–191. [Google Scholar] [CrossRef]
- Glybovski, S.B.; Tretyakov, S.A.; Belov, P.A.; Kivshar, Y.S.; Simovski, C.R. Metasurfaces: From microwaves to visible. Phys. Rep. 2016, 634, 1–72. [Google Scholar] [CrossRef]
- Munk, B.A. Theory and Design; John Wiley & Sons: New York, NY, USA, 2000. [Google Scholar]
- Kapoor, A.; Kumar, P.; Mishra, R. Modelling of Wideband Concentric Ring Frequency Selective Surface for 5G Devices. Comput. Mater. Contin. 2022, 74, 341–361. [Google Scholar] [CrossRef]
- Ghiasvand, F.; Heidar, H.; Kazerooni, M.; Hamidi, E. A frequency-independent inhomogeneous planar radome with high angular stability based on permittivity manipulating. AEU—Int. J. Electron. Commun. 2022, 151, 154214. [Google Scholar] [CrossRef]
- Kapoor, A.; Mishra, R.; Kumar, P. Frequency selective surfaces as spatial filters: Fundamentals, analysis and applications. Alex. Eng. J. 2022, 61, 4263–4293. [Google Scholar] [CrossRef]
- Zhang, J.; Yan, L.; Gao, R.X.K.; Wang, C.; Zhao, X. A Novel 3D Ultra-wide Stopband Frequency Selective Surface for 5G Electromagnetic Shielding. In Proceedings of the 2020 International Symposium on Electromagnetic Compatibility—EMC EUROPE, Rome, Italy, 23–25 September 2020; pp. 3–6. [Google Scholar] [CrossRef]
- Kong, P.; He, Y.; Yu, X.-W.; Miao, L.; Jiang, J.-J. Wideband switchable frequency selective surfaces absorber/reflector. In Proceedings of the 2018 International Workshop on Antenna Technology (iWAT), Nanjing, China, 5–7 March 2018; pp. 1–4. [Google Scholar]
- Anwar, R.S.; Mao, L.; Ning, H. Frequency selective surfaces: A review. Appl. Sci. 2018, 8, 1689. [Google Scholar] [CrossRef]
- Xie, S.; Ji, Z.; Zhu, L.; Zhang, J.; Cao, Y.; Chen, J.; Liu, R.; Wang, J. Recent progress in electromagnetic wave absorption building materials. J. Build. Eng. 2020, 27, 100963. [Google Scholar] [CrossRef]
- Mohanty, A.; Sahu, S. Compact wideband hybrid fractal antenna loaded on AMC reflector with enhanced gain for hybrid wireless cellular networks. AEU—Int. J. Electron. Commun. 2021, 138, 153837. [Google Scholar] [CrossRef]
- Chaudhary, V.; Panwar, R. Machine Learning Derived TiO2 Embedded Frequency Selective Surface for EMI Shielding Applications. IEEE Trans. Dielectr. Electr. Insul. 2023, 30, 2205–2212. [Google Scholar] [CrossRef]
- Bagci, F.; Can, S.; Karakaya, E.; Mulazimoglu, C.; Yilmaz, A.E.; Akaoglu, B. Optically transparent frequency selective surface for filtering 2.6 GHz LTE band. In Proceedings of the 2017 IV International Electromagnetic Compatibility Conference (EMC Turkiye), Ankara, Turkey, 24–27 September 2017; pp. 8–11. [Google Scholar] [CrossRef]
- Buta, A.P.; Silaghi, A.M.; De Sabata, A.; Matekovits, L. LTE Band Filtering Applications of a Fractal Based Frequency Selective Surface. In Proceedings of the 2020 International Symposium on Electronics and Telecommunications (ISETC), Timisoara, Romania, 5–6 November 2020. [Google Scholar] [CrossRef]
- Can, S.; Yilmaz, A.E.; Mülazimoǧlu, C.; Karakaya, E.; Akaoǧlu, B. Miniaturized wide-band supercell frequency selective surface for LTE band applications. In Proceedings of the2017 IV International Electromagnetic Compatibility Conference (EMC Turkiye), Ankara, Turkey, 24–27 September 2017; pp. 2–6. [Google Scholar] [CrossRef]
- Li, H.; Cao, Q.; Wang, Y. A novel 2-B multifunctional active frequency selective surface for LTE-2.1 GHz. IEEE Trans. Antennas Propag. 2017, 65, 3084–3092. [Google Scholar] [CrossRef]
- Nguyen, T.K.; Phan, M.T.; Borowiec, R.; Narbudowicz, A. High Gain and Wide Bandwidth Fabry-Perot Frequency-Reconfigurable Antenna for Multiple LTE Radio Wireless Communication. In Proceedings of the 2022 IEEE Ninth International Conference on Communications and Electronics (ICCE), Nha Trang, Vietnam, 27–29 July 2022; pp. 260–264. [Google Scholar] [CrossRef]
- Chomtong, P.; Meesomklin, S.; Akkaraekthalin, P. Design of frequency selective surface reflector using interdigital slot and application for LTE. In Proceedings of the 2017 International Symposium on Antennas and Propagation (ISAP), Phuket, Thailand, 30 October–2 November 2017; pp. 1–2. [Google Scholar] [CrossRef]
- Zhu, J.; Wang, Q.; Jin, M. High-Order Wideband Band-Pass Miniaturized Frequency-Selective Surface with Enhanced Equivalent Inductance. Electronics 2024, 13, 925. [Google Scholar] [CrossRef]
- Ateriya, R.; Tiwari, G. Design and Analyzed of Swastika-Shaped Frequency Selective Surface with Split Ring Resonator Metamaterial Absorber. Int. J. Eng. Res. 2020, V9, 985–988. [Google Scholar] [CrossRef]
- Bilvam, S.; Sivasamy, R.; Kanagasabai, M.; Alsath, M.G.N.; Baisakhiya, S. Miniaturized Band Stop FSS Using Convoluted Swastika Structure. Frequenz 2017, 71, 51–56. [Google Scholar] [CrossRef]
- Moreira, R.B. A Compact and Stable Frequency Selective Surface for WLAN Applications. Int. J. Comput. Appl. 2017, 166, 22–25. [Google Scholar] [CrossRef]
- Unaldi, S.; Cimen, S.; Cakir, G.; Ayten, U.E. A Novel Dual-Band Ultrathin FSS with Closely Settled Frequency Response. IEEE Antennas Wirel. Propag. Lett. 2017, 16, 1381–1384. [Google Scholar] [CrossRef]
- Kesavan, A.; Member, S.; Karimian, R.; Denidni, T.A.; Member, S. A Novel Wideband Frequency Selective Surface for Millimeter-Wave Applications. IEEE Antennas Wirel. Propag. Lett. 2016, 15, 1711–1714. [Google Scholar] [CrossRef]
- Syed, I.S.; Ranga, Y.; Matekovits, L.; Esselle, K.P.; Hay, S.G. A single-layer frequency-selective surface for ultrawideband electromagnetic shielding. IEEE Trans. Electromagn. Compat. 2014, 56, 1404–1411. [Google Scholar] [CrossRef]
- Krushna Kanth, V.; Raghavan, S. Dual-band frequency selective surface based on shunted SIW cavity technology. IEEE Microw. Wirel. Compon. Lett. 2020, 30, 245–248. [Google Scholar] [CrossRef]
- Doken, B.; Kartal, M. Easily Optimizable Dual-Band Frequency-Selective Surface Design. IEEE Antennas Wirel. Propag. Lett. 2017, 16, 2979–2982. [Google Scholar] [CrossRef]
- Balta, Ş.; Kartal, M. A Novel Double-layer Low-profile Multiband Frequency Selective Surface for 4G Mobile Communication System. Appl. Comput. Electromagn. Soc. J. 2022, 37, 420–427. [Google Scholar] [CrossRef]
- Garg, J.; Sharma, M.M.; Yadav, S. Quad-band planar frequency selective rasorber with T-A-A-T operating mode and high oblique incidence stability. Opt. Quantum Electron. 2023, 55, 434. [Google Scholar] [CrossRef]
- Balanis, C.A. Antenna Theory Analysis and Design, 2nd ed.; John Wiley & Sons: New York, NY, USA, 1997. [Google Scholar]
- Das, N.K. Antennas and Radiation: II Antenna Elements and Arrays. In The Electrical Engineering Handbook; Elsevier: Amsterdam, The Netherlands, 2005; pp. 569–583. [Google Scholar] [CrossRef]
- Costa, F.; Monorchio, A.; Manara, G. An overview of equivalent circuit modeling techniques of frequency selective surfaces and metasurfaces. Appl. Comput. Electromagn. Soc. J. 2014, 29, 960–976. [Google Scholar]
- Sarabandi, K.; Behdad, N. A frequency selective surface with miniaturized elements. IEEE Trans. Antennas Propag. 2007, 55, 1239–1245. [Google Scholar] [CrossRef]
- Garg, R.; Bhartia, P.; Bahl, I.; Ittipiboon, A. Microstrip Antenna Design Handbook, 1st ed.; Artech House: Norwood, MA, USA, 2001. [Google Scholar]
- Zargar, M.M.; Rajput, A.; Saurav, K.; Koul, S.K. Single-Layered Flexible Dual Transmissive Rasorbers with Dual/Triple Absorption Bands for Conformal Applications. IEEE Access 2021, 9, 150426–150442. [Google Scholar] [CrossRef]
- Dey, S.; Dey, S.; Koul, S.K. Second-Order, Single-Band and Dual-Band Bandstop Frequency Selective Surfaces at Millimeter Wave Regime. IEEE Trans. Antennas Propag. 2022, 70, 7282–7287. [Google Scholar] [CrossRef]
- Parameswaran, A.; Ovhal, A.A.; Kundu, D.; Sonalikar, H.S.; Singh, J.; Singh, D. A Low-Profile Ultra-Wideband Absorber Using Lumped Resistor-Loaded Cross Dipoles with Resonant Nodes. IEEE Trans. Electromagn. Compat. 2022, 64, 1758–1766. [Google Scholar] [CrossRef]
- da Silva, B.S.; Campos, A.L.P.S.; Gomes Neto, A. Narrowband shielding against electromagnetic interference in LTE 4G systems using complementary frequency selective surfaces. Microw. Opt. Technol. Lett. 2018, 60, 2293–2298. [Google Scholar] [CrossRef]
- Wan, Z.; Ghorbani, F.; Huang, Y.; Zhou, J. Enhancing Signal Transmission in Energy-Saving Glass through Tri-Bandpass Frequency Selective Surface Design. In Proceedings of the 2024 18th European Conference on Antennas and Propagation (EuCAP), Glasgow, UK, 17–22 March 2024; pp. 1–5. [Google Scholar] [CrossRef]
- Rac-Rumijowska, O.; Pokryszka, P.; Rybicki, T.; Suchorska-Woźniak, P.; Woźniak, M.; Kaczkowska, K.; Karbownik, I. Influence of Flexible and Textile Substrates on Frequency-Selective Surfaces (FSS). Sensors 2024, 24, 1704. [Google Scholar] [CrossRef] [PubMed]
- Zhu, Y.; Chen, Y.; Yang, S. Cross-Band Mutual Coupling Reduction in Dual-Band Base-Station Antennas with a Novel Grid Frequency Selective Surface. IEEE Trans. Antennas Propag. 2021, 69, 8991–8996. [Google Scholar] [CrossRef]
- Li, H.; Costa, F.; Fang, J.; Liu, L.; Wang, Y.; Cao, Q.; Monorchio, A. 2.5-D miniaturized multifunctional active frequency-selective surface. IEEE Trans. Antennas Propag. 2019, 67, 4659–4667. [Google Scholar] [CrossRef]
- Pakdin, M.; Ghayekhloo, A.; Rezaei, P.; Afsahi, M. Transparent dual band Wi-Fi filter for double glazed energy saving window as a smart network. Microw. Opt. Technol. Lett. 2019, 61, 2545–2550. [Google Scholar] [CrossRef]














| Parameters | L1 | L2 | L3 | L4 | L5 | L6 | W1 | W2 | W3 | W4 |
|---|---|---|---|---|---|---|---|---|---|---|
| Value (mm) | 45 | 15, 14.5 (eff) | 15, 13 (eff) | 15, 13.20 (eff) | 15, 12.20 (eff) | 4.5 | 1.9 | 1 | 1 | 4.5 |
| Steps | Band | Resonant Frequency (GHz) | Bandwidth (MHz) |
|---|---|---|---|
| Step 1 | Single Band | 2.79 | 110 |
| Step 2 | Single Band | 2.49 | 140 |
| Step 3 | Single Band | 2.16 | 100 |
| Step 4 | Single Band | 1.92 | 100 |
| Step 5 | Dual Band | 1.92, 2.08 | 40, 60 |
| Surface | Functionality | Polarization | Design |
|---|---|---|---|
| Asymmetric | Independent surface impedance control | Dependent | Complex |
| Symmetric | Dependent surface impedance control | Independent | Simple |
| Angle (Degree) | 0° | 10° | 20° | 30° | 40° | 50° | 60° | 70° | 80° | |
|---|---|---|---|---|---|---|---|---|---|---|
| TE | ||||||||||
| (GHz) | 1.92 | 1.92 | 1.92 | 1.92 | 1.91 | 1.91 | 1.91 | 1.91 | 1.91 | 0.32 |
| (GHz) | 2.08 | 2.08 | 2.08 | 2.08 | 2.09 | 2.08 | 2.08 | 2.08 | 2.08 | 0.06 |
| TM | ||||||||||
| (GHz) | 1.92 | 1.92 | 1.92 | 1.91 | 1.92 | 1.90 | 1.90 | 1.90 | 1.90 | 0.71 |
Disclaimer/Publisher’s Note: The statements, opinions and data contained in all publications are solely those of the individual author(s) and contributor(s) and not of MDPI and/or the editor(s). MDPI and/or the editor(s) disclaim responsibility for any injury to people or property resulting from any ideas, methods, instructions or products referred to in the content. |
© 2025 by the authors. Licensee MDPI, Basel, Switzerland. This article is an open access article distributed under the terms and conditions of the Creative Commons Attribution (CC BY) license (https://creativecommons.org/licenses/by/4.0/).
Share and Cite
Dahima, V.; Mishra, R.; Kapoor, A. Dual-Band Single-Layered Frequency Selective Surface Filter for LTE Band with Angular Stability. Telecom 2025, 6, 18. https://doi.org/10.3390/telecom6010018
Dahima V, Mishra R, Kapoor A. Dual-Band Single-Layered Frequency Selective Surface Filter for LTE Band with Angular Stability. Telecom. 2025; 6(1):18. https://doi.org/10.3390/telecom6010018
Chicago/Turabian StyleDahima, Vartika, Ranjan Mishra, and Ankush Kapoor. 2025. "Dual-Band Single-Layered Frequency Selective Surface Filter for LTE Band with Angular Stability" Telecom 6, no. 1: 18. https://doi.org/10.3390/telecom6010018
APA StyleDahima, V., Mishra, R., & Kapoor, A. (2025). Dual-Band Single-Layered Frequency Selective Surface Filter for LTE Band with Angular Stability. Telecom, 6(1), 18. https://doi.org/10.3390/telecom6010018

