Next Article in Journal
Utilizing Duplicate Announcements for BGP Anomaly Detection
Previous Article in Journal
Fifth-Generation (5G) Communication in Urban Environments: A Comprehensive Unmanned Aerial Vehicle Channel Model for Low-Altitude Operations in Indian Cities
 
 
Font Type:
Arial Georgia Verdana
Font Size:
Aa Aa Aa
Line Spacing:
Column Width:
Background:
Article

Second-Order Statistical Properties of Vehicle-to-Vehicle Rician Fading Channel

1
Department of Electrical and Electronics Engineering Science, University of Johannesburg (UJ), Johannesburg 2094, South Africa
2
College of Graduate Studies, University of South Africa (UNISA), Pretoria 0003, South Africa
3
College of Accounting Science, University of South Africa (UNISA), Pretoria 0003, South Africa
*
Author to whom correspondence should be addressed.
Telecom 2025, 6(1), 10; https://doi.org/10.3390/telecom6010010
Submission received: 29 November 2024 / Revised: 1 January 2025 / Accepted: 3 January 2025 / Published: 5 February 2025

Abstract

Vehicle-to-vehicle (V2V) channels exhibit highly dynamic and non-stationary characteristics, posing significant challenges in designing reliable communication systems. The level crossing rate (LCR) and average fade duration (AFD) are two important second-order statistical properties that help characterize these rapid channel changes. This paper presents an in-depth analysis of the LCR and AFD for a two-dimensional non-isotropic scattering model of a V2V Rician flat fading channel. The study investigates the influence and impact of several key parameters on LCR and AFD, focusing on the impact of high vehicle traffic density (VTD). The results closely align with available empirical data and offer valuable insights into designing robust V2V communication systems that can adapt to the rapidly evolving channel conditions.

1. Introduction

Vehicle-to-vehicle (V2V) communication is a critical component of emerging intelligent transportation systems, enabling safety–critical applications such as collision avoidance and traffic optimization, and their communication network failure has the potential to cause fatal injuries [1]. However, the vehicular channel is subject to rapid and severe fading due to the high mobility of the nodes, the dynamic scattering environment, and intermittent obstructions, a phenomenon termed time-variant fading [2]. An accurate modeling of these time-varying channel characteristics is essential for the design of reliable V2V communication systems. The level crossing rate (LCR) and average fade duration (AFD) are two important second-order statistical properties that quantify the time-variant nature of the channel. The LCR represents the rate at which the signal envelope crosses a specified threshold in the positive direction. The AFD measures the average time duration for which the signal level remains below a specified threshold [3].
Modeling V2V channels is challenging and requires complex models for high mobility and varying environments [4]. This is necessary because the V2V channels exhibit dynamic and complex characteristics due to the changing nature of the environment, vehicular velocities, antenna heights, sizes of surrounding vehicles, and roadside obstacles [5]. These factors result in rapid fluctuations in signal strength and short stationary intervals, posing significant challenges for V2V channel modeling. The literature on V2V channel modeling shows a variety of approaches, with recent research focusing on two main techniques: non-regular shape geometric-based stochastic channel modeling (NS-GBSM) and regular shape geometric-based stochastic channel modeling (RS-GBSM) techniques. The NS GBSM approach provides higher accuracy in modeling complex V2V environments by accounting for the irregularities and dynamic changes in the propagation environment [6]. On the other hand, the RS-GBSM models, though simpler and mathematically tractable [7], offer accuracy and ease of use, making them more suitable for theoretical analysis and preliminary simulations, and they have been widely adopted. RS-GBSMs assume that the scattering objects in the environment are arranged in a regular geometric pattern, such as rings, spheres, ellipses, or a combination of both, and the channel statistics are derived from the resulting geometry. The RS-GBSM has been extensively used in the literature for modeling narrow-band V2V channels [8,9,10].
In this study, the design and implementation of the RS-GBSM consider the different V2V classification scenarios, which include carrier frequencies, frequency selectivity, channel statistics, Tx/Rx antenna environments, and direction of motion according to the IEEE 802.11p standard. The Tx-Rx separation distance ( d ) scenarios can thus be classified as a large spatial scale (LSS, d > 1000   m ) , medium spatial scale (MSS, 1000   m d 300   m ) , and small spatial scale (SSS, d < 300   m ) , and has been importantly captured in the model.
The advantages offered by RS-GBSM techniques have gained significant attention, with a strong focus on investigating first-order statistical properties, such as correlation function (CF) and power spectral density (PSD). However, second-order channel statistics are also of immense importance, as they provide valuable insights into the degree of channel variations, the probability of deep fading, and the duration the channel is likely to remain in a fade. Despite this, limited research exists in the literature on LCR and AFD for RS-GBSMs, and only a few studies have investigated these second-order statistics in the context of V2V flat fading channels with respect to the influence and impact of several key parameters, including vehicle traffic density (VTD) and Tx-Rx separation distance d [11,12,13,14,15]. In [11], Akki investigated LCR and AFD in Rayleigh fading channels under LSS. However, refs. [12,13] restricted their studies to LSS and MSS scenarios, and provided thorough solutions on LCR and AFD with experimental validation for V2V Rician fading channels. The most intriguing methods for LCR and AFD in V2V Rician channels have been proposed in [14,15]. However, these methods require extensive mathematical computation and utilize a combination of a two-ring and ellipse model. Consequently, there is a pressing need for new V2V channel models that can accommodate the requirements of 5G and 6G technologies, particularly in terms of higher operational frequencies (5–100 GHz), as evidenced by the recent measurement campaigns in [16]. Furthermore, there is also a demand to focus on improving the accuracy and reliability of channel models to reflect their real-world conditions.
To build upon the existing research and the new challenges ahead, this paper presents a comprehensive analysis of the LCR and AFD for non-isotropic scattering V2V Rician flat fading channel leveraging the tractable simplified geometric two-ring (SGTR) model to meet the recent advancements in V2V channel modeling. The proposed model employs both single-bounce (SB) and double-bounce (DB) paths in its analysis, and is modeled with an operational frequency above 5 GHz. These features enable the realistic representation of signal paths and simplified analysis, and enhance the model’s adaptability to diverse scenarios, unlike the previous models in [10,17], and others. The derivation and analysis of LCR and AFD in this work are simplified and detailed, addressing the limitations of previous studies and thoroughly exploring the effects of Tx-Rx separation distance (LSS, MSS, and SSS) on the statistical properties. Additionally, the paper examines the impact of VTD and other critical environmental parameters based on the derived LCR and AFD models to reflect real-world conditions better. Furthermore, the numerical results from the theoretical analysis of LCR and AFD are in excellent agreement with measured data and thus show the model’s accuracy.
The subsequent sections of the paper are structured as follows. Section 2 introduces the SGTR for the 2D non-isotropic scattering narrow-band SISO V2V Rician fading channel. Section 3 details the derivation of the corresponding LCR and AFD based on the proposed model. The numerical results and analysis from simulation using the analytical LCR and AFD model are compared with measured data and presented in Section 4. Finally, Section 5 provides the conclusions drawn from the study.

2. Description of the Theoretical Model for Non-Isotropic V2V Flat Fading Channel

This section concisely overviews the narrow-band single-user SISO V2V Rician fading channel. The model assumes that both Tx and Rx are mobile and utilize low-height antennas. The propagation occurs in an outdoor environment and is characterized by 2D non-isotropic scattering with a line of sight (LoS) and non-line of sight (NLoS), or a combination of both propagations between the Tx and Rx.
Figure 1 illustrates a 2D simplified geometric two-ring model for a V2V Rician fading channel characterized by both LoS and NLoS propagation akin to [10]. The model combines LoS components and diffused components, which is a combination of the single-bounce components at the transmitter (SBT), single-bounce components at the receiver (SBR), and double-bounce components (DB) at the two rings. The SGTR model defines two rings of effective scatterers, one around Tx and the other around Rx, representing the effect of many scatterers with similar spatial locations. Hence, the received complex faded envelope between the Tx-Rx link ( A T A R ) can be expressed as combining the LoS, SBT, SBR, and DB multipath components.
h t = h L O S t + h D I F , h D I F = h S B T t + h S B R t + h D B t ,
The LoS, SBT, SBR, and DB components of the received faded complex envelope are further given as
h L o S t = K K + 1 × e j 2 π t f T m a x c o s π α R L o S + γ T + f R m a x c o s α R L o S γ R
h S B T t = η T K + 1 lim M m M a m M e j ϕ m × e j 2 π t f T m a x cos α T m γ T + f R m a x cos α R m γ R
h S B R t = η R K + 1 lim N m M a n N e j ϕ n × e j 2 π t f T m a x c o s α T n γ T + f R m a x c o s α R n γ R
h D B t = η T R K + 1 lim M , N m , n = 1 M , N a m n M N e j ϕ m n × e j 2 π t f T m a x cos α T m γ T + f R m a x cos α R n γ R
In Equations (2)–(5), K denotes the Rician factor, and the parameters η T , η R , and η T R specify the relative contributions of the SBT, SBR, and DB to the average power E h ( t ) 2 , and satisfy the relationship η T + η R +   η T R = 1 . a m , a n , and a m n represent random path gain and are chosen to satisfy the limiting condition of α m 2 = α n 2 = α m n 2 = 1, respectively, ensuring that E h ( t ) 2 is normalized to unity. The Tx and Rx are moving at speeds of v T and v R in the directions of γ T and γ R , resulting in the maximum Doppler frequencies of f T m a x = v T λ and f R m a x = v R λ , where λ is the carrier wavelength. The angles of departure (AoDs) are denoted by α T ( m ) and α T ( n ) , and impinge on the Tx, Rx scatterers S T ( m ) and S R ( n ) , while α R ( m ) and α R ( n ) denote the angles of arrival (AoAs) scattered from the S T ( m ) and S R ( n ) of Tx and Rx, respectively. The AoD ( α T ( m ) , α T ( n ) ) and AoA ( α R ( m ) , α R ( n ) ) are assumed to be a random variable; notably, the phases ϕ m ,   ϕ n , and ϕ m n are also assumed to be uniformly distributed random variables from the interval of [- π , π ] and are independent of ( α T ( m ) , α T ( n ) ) and ( α R ( m ) , α R ( n ) ) . Also, α R L o S is assumed to be π . Conversely, the SB rays have the AoA interdependent on the AoD, while the DB rays AoD and AoA are independent, respectively. By using the results from prior studies, α R ( m ) = sin 1 T sin ( α T ( m ) ) , α R ( m ) = sin 1 R sin ( α T ( m ) ) , where T = R T / D , and R = R R / D and this relationship holds for LSS and MSS scenarios only where D R T , R R . In order to capture the impact of a high VTD, the SBT and SBR rays predominantly model the stationary scatterers due to their single reflection and proximity to the Tx and Rx with velocities v T and v R , while the DB rays are mostly associated with high-moving vehicle scatterers with velocities of v T and v R in the direction of γ T and γ T .

3. LCR and AFD for the V2V Flat Fading Channel

In this section, building upon the proposed SGTR framework outlined in (1), we will derive the analytical expressions for the LCR and AFD of the Rician complex faded envelope in a non-isotropic scattering environment. The LCR, denoted as L ( R ζ ) , represents the average number of times per second that the signal envelope ξ t = | h t | crosses a specified threshold level ( R ) , considering both positive and negative slope crossings. Leveraging on the established probability density function (PDF) based methodology in [18], the LCR for the Rician flat fading channel can be expressed as
L ζ R = 2 R ζ π 3 2 B K + 1 × e K K K + 1 R ζ 2 × 0 π / 2 c o s h ( 2 K K + 1 R ζ c o s θ ) × [ e ( ϕ ψ s i n θ ) 2 + π ϕ ψ s i n θ . erf ϕ ψ s i n θ ] d θ ,
where c o s h ( . ) is the hyperbolic cosine, the error function is denoted by e r f ( . ) , while B = b 0 b 2 b 1 2 b 0 2 ,   ψ = K / 2 B ( K + 1 ) , and ϕ = E +   b 1 / b 0 , where E = 2 π [ f T m a x c o s ( π α R q L O S + γ T ) + f R m a x c o s ( α R q L O S γ R ) ] . Most importantly, the fundamental model parameter b m is defined as
b m = d m ρ h D I F ( τ ) 2 j m d τ m | τ = 0 ,
with ρ h D I F τ = E h D I F τ h * D I F t τ / Ω , where j 2 = 1 ,   ρ h D I F ( τ ) is the time ACF of the diffuse component h D I F ( τ ) of the complex fading envelope, ( . ) * denotes the complex conjugate operation, and E [ . ] designates the statistical expectation operator. The expression in (6) is a general one for LCR in a non-isotropic V2V Rician fading channel and is the same as the LCR models previously presented in ([19], Equation (29)) and ([15], Equation (3)) It can be reduced to expressions presented in ([12], Equation (6)) and ([13], Equation (43)) by setting the parameter E = 0 , which corresponds to a time-invariant LoS component. In contrast, (6) can be used for a non-isotropic environment with a time-variant LoS component, while the expressions in [12,13] are only applicable for a non-isotropic environment with a time-invariant LoS component.
Based on the model introduced in Section 2, we proceeded to derive the important model parameter b m which is characterized by the random AoA and AoD of the scatterer distribution. Leveraging the literature on scatterer distribution from prior research, we adopted the von Mises PDF, as it approximates many known distributions and enables close-form solutions for numerous relevant scenarios. The von Mises PDF is defined as f θ = e x p [ ( k c o s θ μ ] / 2 π I 0 k [20], where θ [ π ,   π ) , I 0 ( . ) denotes the zeroth-order Bessel function of the first kind, μ [ π ,   π ) is the mean angle of the scatterer distribution, and k controls the spread of the scatterers around the mean. Hence, substituting (1), (3)–(5) and the von Mises PDF expression for b m , we can derive the closed-form expressions for b 0 ,   b 1 , and b 2 . By setting m = 0 , we can determine the value of the parameter b 0 as
b o = b 0 S B T + b 0 S B R + b 0 D B = 1 2 ( K + 1 )   ,
where b 0 S B T , b 0 S B R , and b 0 D B are given as
b 0 S B T = η T 2 ( K + 1 ) π π e k T c o s ( α T μ T ) 2 π I 0 ( k T )   d α T = η T 2 ( K + 1 ) ,
b 0 S B R = η R 2 ( K + 1 ) π π e k R c o s ( α R μ R ) 2 π I 0 ( k R )   d α R = η R 2 ( K + 1 )   ,
b 0 D B = η T R 2 K + 1 π π [ e k T cos α T μ T 2 π I 0 k T × e k R cos α R μ R 2 π I 0 k R ] d α T d α R = η T R 2 K + 1 .
Similarly, by substituting the relevant expressions for b m and considering the von Mises PDFs for the SB and DB TR models, the expression for b 1 and b 2 can be obtained, where m [ 1 ,   2 ) , respectively,
              b m = b m S B T + b m S B R + b m D B   ,
b m S B T = ( 2 π ) m b 0 S B T π π e k T cos α T μ T 2 π I 0 k T × [ f T m a x cos α T μ T   +   f R m a x c o s ( α R μ R ) ] m   d α T   ,
b m S B R = ( 2 π ) m b 0 S B R π π e k R cos α R μ R 2 π I 0 k R × [ f T m a x cos α T μ T +   f R m a x c o s ( α R μ R ) ] m   d α R   ,
b m D B = ( 2 π ) m b 0 D B π π π π e k T cos α T μ T 2 π I 0 k T × e k R cos α R μ R 2 π I 0 k R × f T m a x cos α T μ T + f R m a x cos α R μ R m d α T d α R .
Through the substitution of the relevant expressions for α R and α T from Section 2, and using approximate relations of sin χ χ and cos χ 1 where χ is very small, and also using the following trigonometric transformations and inequalities π π e acos c + b s i n ( c ) d c = 2 π I 0 ( a 2 + b 2 ) and π π e c o s ( θ ) cos m θ d θ = 2 π I m ( x ) ([21], Equations (3.3339) and (8.4111)), where I 0 denotes zeroth-order Bessel function of the first kind and I m is the m th-order Bessel function of the first kind. The closed-form expressions for the parameters b 1 are
b 1 S B T = b 0 S B T 2 π f Tmax cos μ T γ T I 1 k T I 0 k T + 2 π f R m a x I 1 k T I 0 k T . T s i n γ R s i n μ T c o s γ R  
    b 1 S B R = b 0 S B R 2 π f R m a x cos μ R γ R I 1 k R I 0 k R + 2 π f T m a x I 1 k R I 0 k R . R s i n γ T s i n μ R + c o s γ T
b 1 D B = b 0 D B 2 π f T m a x cos μ T γ T I 1 k T I 0 k T + 2 π f R m a x cos μ R γ R I 1 k R I 0 k R  
b 2 can also be expressed as:
b 2 S B T = b 0 S B T ( 4 π 2 f T m a x 2 I 0 k T + cos 2 μ T γ T I 2 k T 2 I 0 k T + 4 π 2 f T m a x f R m a x T s i n γ R + 8 π 2 f T m a x f R m a x c o s γ R cos μ T γ T I 1 k T I 0 k T + 4 π 2 f R m a x 2 c o s 2 γ R + 4 π 2 f R m a x 2 T 2 s i n 2 γ R × I 0 k T cos 2 μ T I 2 k T 2 I 0 k T + 4 π 2 f R m a x 2 T sin 2 γ R sin μ T I 1 k T I 0 k T )
b 2 S B R = b 0 S B R ( f R m a x 2 I 0 k R + cos 2 μ R γ R I 2 k R 2 I 0 k R + 4 π 2 f R m a x f T m a x R s i n γ T × s i n γ R + I 2 k R I 0 k R sin 2 μ R γ R   8 π 2 f T m a x f R m a x c o s γ T cos μ R γ R I 1 k R I 0 k R + 4 π 2 f T m a x 2 c o s 2 γ T + 4 π 2 f T m a x 2 R 2 s i n 2 γ T × I 0 k R cos 2 μ R I 2 k R 2 I 0 k R 4 π 2 f T m a x 2 R sin 2 γ T sin μ R I 1 k R I 0 k R )
b 2 D B = b 0 D B ( 4 π 2 f T m a x 2 I 0 k T + cos 2 μ T γ T I 2 k T 2 I 0 k T + 4 π 2 f R m a x 2 × I 0 k R + cos 2 μ R γ R I 2 k R 2 I 0 k R + 8 π 2 f T m a x f R m a x cos μ T γ T   × I 1 k T I 0 k T cos μ R γ R I 1 k R I 0 k R )  
The close-form expressions for the contants b 0 , b 1 , and b 2 are derived from the scatter components’ power spectrum and are thus an integral part of the LCR derivation. These constants have a significant impact on second-order statistics (LCR). It is important to note that a detailed derivation of (16)–(21) is provided in Appendix A.
The AFD T ζ R is the average time duration for which the signal level ζ ( t ) remains below a specified threshold R . For a Rician fading channel, the AFD is denoted by T ζ R and is generally defined as [22]
T ζ R = P ζ ( R ) L ζ R = 1 Q ( 2 K , 2 ( K + 1 ) R )   L ζ R ,
where P ζ ( R ) denotes the cumulative distribution function (CDF) of ζ ( t ) with Q ( a , b ) representing the generalized Marcum Q function.
The derived LCR in (6) and AFD in (22) expressions are generalized formulations encompassing various special cases previously mentioned in the literature. The simplest scenario is that they can reduce to the Clarke LCR 2 π f R m a x R e R 2 and AFD ( e R 2 1 ) 2 π f R m a x R [22] which is obtained by setting K = 0 (NLOS condition), k T = 0 (isotropic scattering around Rx), f T m a x = k R = 0 (fixed and no scattering around Tx), η S B T = η D B = 0 (zero power gain for SBT and DB). Similarly, the expressions for LCR 2 π ( f T m a x 2 + f R m a x 2 ) R e R 2 and AFD 1 2 π ( f T m a x 2 + f R m a x 2 ) e R 2 1 for NLOS non-isotropic DB rays [11] can be obtained by setting K = k T = k R = 0 . This demonstrates the broad applicability of the proposed LCR and AFD expressions, which we can tailor to capture a wide range of channel scenarios and modeling assumptions.

4. Discussion

This section provides a detailed numerical analysis of the LCR and AFD, the two key second-order statistical properties of the non-isotropic V2V flat fading channel, as derived in Section 3. Notably, the scatterers are cascaded into SB and DB components, or SBT, SBR, and DB components, and analyzed separately to provide a better intuition into the characteristics of the channel. The analysis examines the effects of the following parameters: high VTD, scattering assumption, mean angle ( μ T ( R ) ), angle spread ( γ T ( R ) ), Tx-Rx separation distance ( d ) , and the relative direction Tx-Rx motion [same direction (SD), opposite direction (OD)]. In summary, the abovementioned parameters can influence LCR and AFD channel properties while providing insight into the channel performance. For instance, the scatterers’ behavior in either SB or DB path can indicate the stability of the channel and its dependency on the AoA and AoD. The Tx-Rx movement describes the sensitivity of varying propagation paths in SB and DB rays with respect to the LCR and AFD. The Tx-Rx distance separation and K -factor explore the dominance of LoS, SB, and DB rays in the channel, and how it affects the LCR and AFD. The scattering mean angle and angle spread influence the LCR and AFD crossings and threshold. The last is the VTD parameter, which shows the effect of different traffic densities on the SB and DB rays. Furthermore, our analysis compares the theoretical LCR and AFD results with the empirical data reported in prior studies [23]. The numerical analysis uses the following parameters: f c = 5.2   G H z ,   f T m a x = f R m a x = 500   H z ,   D = 300   m , and R T = R R = 40   m . The Rician K-factor is estimated using the approach outlined in earlier work [24], while the other model parameters are determined using the methodology presented therein [25].
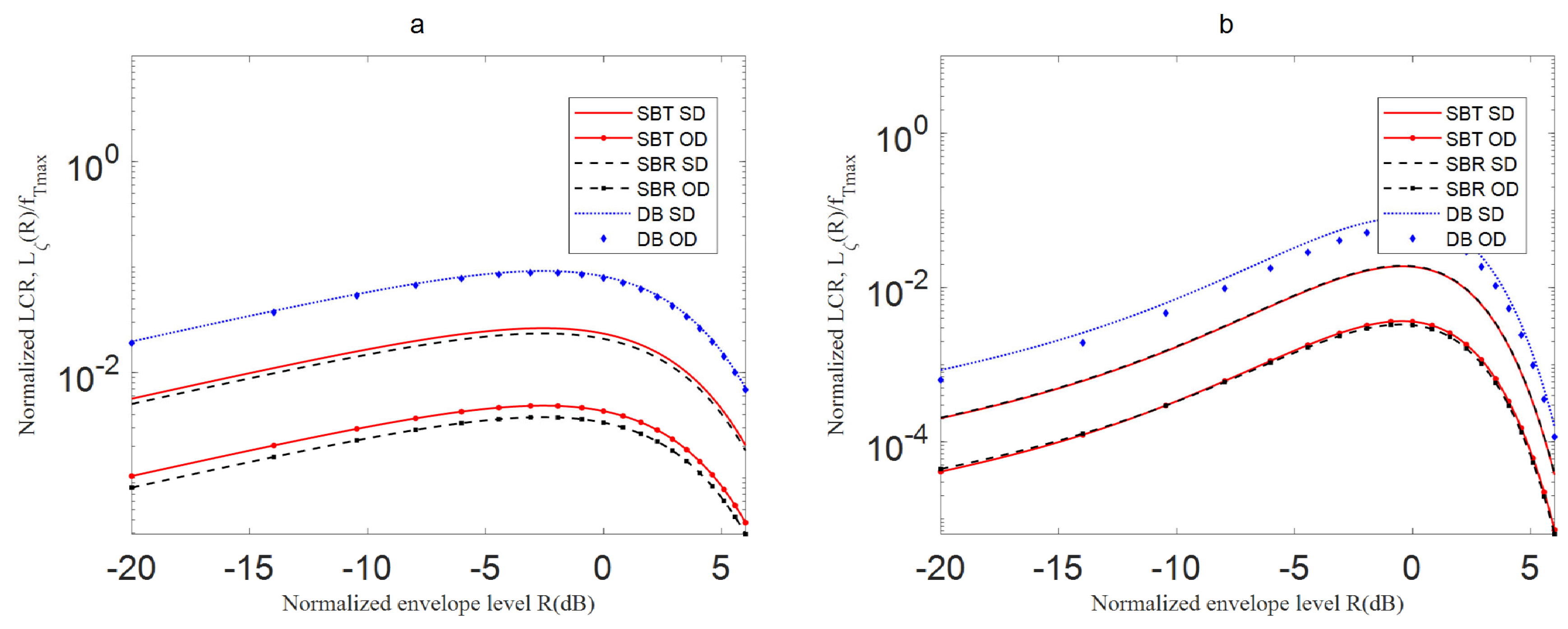
Figure 2a,b reveals the distinct behaviors of SB and DB scatterers and the impact of Tx-Rx directionality on the second-order channel characteristics. The visualized LCR and AFD data show that SB rays are more sensitive to the Tx-Rx movement and disappear for DB rays, and this sensitivity is reflected in the LCR and AFD diagrams. The SB introduces a stronger directional dependence in the channel due to the inter-dependent relationship of the SB AoD and AoA, making LCR and AFD more sensitive to Tx-Rx movement. The DB scatterers contribute to a more stable channel by creating more diverse paths with less directional dependence and the independent relationship of AoA and AoD. The model can be achieved using the following parameters: k T = k R = 2.6 , μ T = 45 ° ,   μ R = 145 ° for the different scenarios (SD): γ T = γ T = 0 , η T = 0.46 ; a n d   η T = 0.31 , (OD): γ T = 0 , γ R = 180 .
Figure 3a,b illustrates the sensitivity of LCR and AFD to variations in the angle spread and mean angle channel parameters for the non-isotropic Rician channel. The SB and DB scatterers systematically change for different non-isotropic scenarios, and hence angle spread ( k T , k R ), and mean angles ( μ T , μ R ) parameters significantly impact the LCR and AFD crossings and thresholds. Therefore, comprehending these parameters’ behavior is crucial for accurately modeling the LCR and AFD characteristics in this channel environment. The LCR and AFD are obtained using the parameters γ T = γ R = 0 for different isotropic scenarios. a   ( S a ) : k T = k R = 2.5 , μ T = 45 ° , and μ R = 145 ° . b   ( S b ) : k T = k R = 6 , μ T = 60 ° , and μ R = 160 ° . c   ( S c ) : k T = k R = 2.5 , μ T = 120 ° , and μ R = 45 ° . d   ( S d ) : k T = k R = 4 , μ T = 130 ° , and μ R = 60 ° .
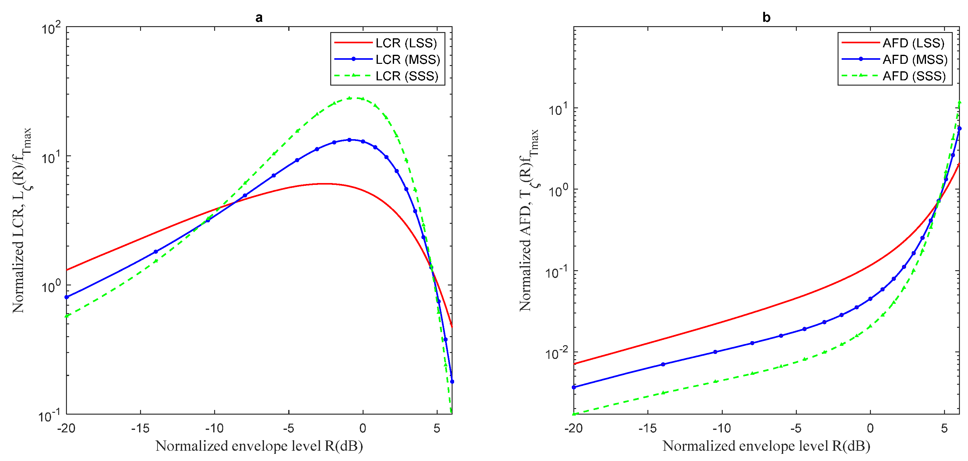
Figure 4a,b depicts the effects of Tx-Rx separation on the LCR and AFD metrics under a low-VTD scenario. It provides empirical support for the general trend of the Rician factor ( K ) modeled as a function of propagation distance. The results show that as the distance decreases, the K -factor tends to increase, indicating stronger LoS dominance. This is accompanied by lower crossing rates at LCR and AFD plots and a more pronounced peak in the LCR curve for MSS. Conversely, more considerable separation distances result in a lower K -factor, suggesting reduced LoS contribution, which leads to an increased LCR and AFD crossing rates and a more flattened LCR slope profile for LSS.
The analysis in Figure 5a,b examines the LCR characteristics of different signal propagation paths with different vehicle traffic densities, i.e., high-VTD and low-VTD environments. The following assumptions are made to mimic the VTD environment: the SBT and SBR rays primarily capture the reflection from stationary scatterers and have the predominant power concentration under a low-VDT scenario. However, in a high-VDT environment, DB rays are predominant in modeling the high-moving scatterers due to their ability to capture complex interactions involving multiple reflections, and hence they have more power concentration. These assumptions align well with the observed LCR and AFD data. The high-VTD scenario exhibits wider and flatter peaks in the LCR envelope, indicating increased signal fluctuation due to increased multipath and rapid environmental changes. It also has a higher crossing than the low-VTD cases at a given threshold. Additionally, the influence of transmitter-receiver movement directions is observed for SB rays but disappears for DB rays due to the independent relationship between arrival and departure angles. The low-VTD scenario has fewer signal fluctuations, resulting in more pronounced narrow peaks in the LCR profile and lower threshold crossing rates than the high-VTD case. The effect of Tx-Rx movement is more pronounced for DB rays while less significant for SB rays, owing to the stronger signal power of SB rays and the interdependence between their angles of arrival and departure during low VTD, and the relationship reverses for high VTD. This observation is consistent with research findings in [26]. In summary, the results shown in Figure 5a,b demonstrate the significant effects of VTD on LCR and AFD, with higher VTD resulting in frequent signal fluctuation and having insignificant effects on the Tx-Rx movement with DB rays. They are obtained using the parameters v T = 8.33   m s 1 (high VDT) and v T = 16.67   m s 1 (low VTD).
Figure 6a,b compares the theoretical LCR and AFD of vehicle-to-vehicle Rician fading channels with the measured results from a highway environment. Based on the measured data in [23], the theoretical LCR and AFD were obtained using manually chosen parameters K = 2.43 , μ T = 12.5 ,   μ R = 154.5 ,   k T = 20.2 ,   k R = 18.5 ,   T = R = 0.033 ,   η T = 0.043 ,   η R = 0.037 , and η T R = 0.92. The excellent compatibility between the theoretical results and the measured data confirms the model utility.

5. Conclusions

This paper presents a simplified 2D theoretical model of a narrow-band SGTR model for the V2V Rician fading channel, enhancing the understanding of second-order statistical properties in V2V communication systems. The model analyzes LCR and AFD in detail, demonstrating the significant impact of key parameters such as Tx-Rx movement direction, Tx-Rx distance separation, scattering mean angle, angle spread, and scattering shape and region. The model accurately captures the effects of high VDT and closely matches the theoretical results with measured data, and hence validating its accuracy for V2V system performance evaluation.
The findings in these studies provide a clear pathway and directly influence the design of a V2V system in several ways: the SB rays exhibit increased sensitivity to Tx-Rx movement, impacting the LCR and AFD due to their inter-dependent relationship of AoA and AoD. Additionally, the variations in the angle spread and mean angle channel parameters exhibits a trend in the crossings and threshold of the LCR and AFD. Furthermore, the LCR and AFD show lower crossing rates as the Tx-Rx distance decreases, with an increasing K -factor indicating stronger LoS dominance. When comparing the LCR and AFD at a high VTD and low VTD, they consistently exhibit wider and flatter peaks, suggesting increased signal fluctuation due to multipath and rapid environmental changes.
By understanding the detailed analysis of parameter adjustments and impact on LCR and AFD, it can guide toward the adjustments of the parameters in real-world applications; also, designers can optimize V2V communication systems for a more robust V2V network. Most importantly, the strong alignment between theoretical results and empirical data confirms model accuracy, promoting its application in real-world scenarios.
Future research could leverage machine learning to enhance predictive capabilities and refine the model’s accuracy in dynamic environments. Investigating the impact of varying environmental conditions and extending the model to multi-user scenarios in dense urban settings would provide deeper insights. Real-time implementation and testing in practical V2V systems will be crucial for validating the model’s effectiveness, paving the way for more robust and reliable V2V communication solutions.

Author Contributions

Conceptualization, S.A., A.A., E.E. and M.C.; methodology, S.A., A.A. and E.E.; software, S.A., A.A. and E.E.; validation, S.A., A.A. and E.E.; formal analysis, S.A., A.A. and E.E.; investigation, S.A., A.A. and E.E.; resources, S.A., A.A., M.C. and E.E.; data curation, S.A. and E.E.; writing—original draft preparation, S.A., A.A. and E.E.; writing—review and editing, A.A. and E.E.; visualization, E.E.; supervision, E.E. and A.A.; project administration, M.C., A.A. and M.C.; funding acquisition, M.C., A.A. and E.E. All authors have read and agreed to the published version of the manuscript.

Funding

This research received no external funding.

Data Availability Statement

Data are contained within the article.

Conflicts of Interest

The authors declare no conflicts of interest.

Appendix A

In this appendix, we employed the same derivation procedures for (16)–(21) to obtain b 1 S B T , b 1 S B R , b 1 D B , b 2 S B T ,   b 2 S B R and b 1 D B using the equality π π e acos c + b s i n ( c ) d c = 2 π I 0 ( a 2 + b 2 ) and π π e c o s ( θ ) cos m θ d θ = 2 π I m ( x ) ([21], Equations (3.3339) and (8.4111)], where I 0 denotes zeroth-order Bessel function of the first kind and I m is the m th-order Bessel function of the first kind, the closed-form expressions can be obtained. Also, let β T = α T μ T and the appropriate value of m be substituted into the equation.
1. 
Derivation of (16) and (17)
Note that (16) and (17) are similar for the derivation for parameters b 1 S B T and b 1 S B R , and hence only b 1 S B T was derived here. The expression for b 1 S B T was derived with m = 1 , and the first ( Y 1 ) and second ( Y 2 ) terms of the equation can be readily obtained as
Y 1 = f T m a x 2 π I 0 k T π π [ e k T c o s β T × cos ( β T + μ T γ T ] d = f T m a x cos ( μ T γ T ) I 1 k T I 0 k T , Y 2 = f R m a x 2 π I 0 k T π π [ e k T c o s β T × [ T sin ( γ R ) sin α T cos γ R ] d β T = f R m a x [ T sin γ R sin μ T I 1 k T I 0 k T cos γ R ] , b 1 S B T = 2 π b 0 S B T f T m a x cos ( μ T γ T I 1 k T I 0 k T + f R m a x [ T sin γ R sin μ T I 1 k T I 0 k T cos γ R ] = 2 π b 0 S B T [ Y 1 + Y 2 ] .
2. 
Derivation of (19) and (20)
Herein, adopting the same procedure, only b 2 S B T was derived with m = 2 , and hence the six terms of the equations ( Y 3 , Y 4 , Y 5 , Y 6 , Y 7 , and Y 8 ) can obtained accordingly.
Y 3 = f T m a x 2 2 π I 0 k T π π [ e k T c o s β T c o s 2 β T + μ T γ T d β T = f T m a x 2 [ I 0 k T + cos 2 μ T γ T I 2 k T 2 I 0 k T ] Y 4 = f R m a x 2 c o s 2 γ R 2 π I 0 k T π π e k T c o s β T d β T = f R m a x 2 c o s 2 γ R Y 5 = 2 f R m a x 2 T cos γ R sin γ R 2 π I 0 k T π π [ e k T c o s β T sin β T + μ T ]   d β T = f R m a x 2 T sin 2 γ R sin ( μ T ) I 1 k T I 0 k T Y 6 = f R m a x 2 T 2 s i n 2 γ R 2 π I 0 k T π π [ e k T c o s β T × 1 + cos 2 β T + μ T 2 2 ]   d β T = f R m a x 2 T 2 s i n 2 γ R [ I 0 k T cos 2 μ T I 2 k T 2 I 0 k T ] Y 7 = 2 f T m a x f R m a x cos γ R 2 π I 0 k T π π [ e k T c o s β T cos β T + μ T γ T ] d β T = 2 f T m a x f R m a x cos γ R cos ( μ T γ T ) I 1 k T I 0 k T Y 8 = 2 f T m a x f R m a x T sin γ R 2 π I 0 k T π π [ e k T c o s β T cos β T + μ T γ T s i n ( β T + μ T ) ] d β T = f T m a x f R m a x T sin γ R [ sin γ T + sin 2 ( μ T γ T )   I 2 k T I 0 k T ] , = 2 π 2 b 0 S B T [ Y 3 + Y 4 Y 5 + Y 6 + Y 7 Y 8 ] .
3. 
Derivation of (18) and (21)
Utilizing the same process described above, the expression for b 1 D B was derived with m = 1 , and hence closed-form expressions for the terms ( Y 9 and Y 10 ) can be obtained.
Y 9 = f T m a x 2 π I 0 ( k T ) π π [ e k T c o s β T × cos ( β T + μ T γ T ) d β T = f T m a x cos ( μ T γ T ) I 1 ( k T ) I 0 ( k T ) Y 10 = f R m a x 2 π I 0 ( k R ) π π [ e k R c o s β R × cos ( β R + μ R γ R ) d β R = f R m a x cos ( μ R γ R ) I 1 ( k R ) I 0 ( k R ) b 1 D B = 2 π b 0 D B [ f T m a x cos ( μ T γ T ) I 1 k T I 0 k T + f R m a x cos ( μ R γ R ) I 1 k R I 0 k R ]                         b 1 D B = 2 π b 0 D B [ Y 9 + Y 10 ]
Applying the same process outlined earlier, the expression for b 2 D B can be obtained with m = 2 . Thus, the close-form expressions for the terms ( Y 11 ,   Y 12 , and Y 13 ) are given below:
Y 11 = f T m a x 2 2 π I 0 k T π π e k T c o s β T × cos 2 ( β T + μ T γ T d β T = f T m a x 2 [ I 0 k T + cos 2 μ T γ T I 2 k T 2 I 0 k T ]     Y 12 = f R m a x 2 2 π I 0 k R π π e k R c o s β R × cos 2 ( β R + μ R γ R d β R = f R m a x 2 [ I 0 k R + cos 2 μ R γ R I 2 k R 2 π I 0 k R ] Y 13 = 2 f T m a x f R m a x [ 1 2 π I 0 k T π π e k T c o s β T × cos ( β T + μ T γ T d β T × 1 2 π I 0 k R π π [ e k R c o s β R × cos ( β R + μ R γ R ) ] d β R       = 2 f T m a x f R m a x cos ( μ T γ T )   I 1 ( k T ) I 0 ( k T ) cos ( μ R γ R )   I 1 ( k R ) I 0 ( k R )                                             b 2 D B = 2 π 2 b 0 D B Y 11 + Y 12 + Y 13 .

References

  1. Liang, L.; Li, X.; Huang, H.; Yin, Z.; Zhang, N.; Zhang, D. Securing Multi-Destination Transmissions with Relay and Friendly Interference Collaboration. IEEE Internet Things J. 2024, 11, 18782–18795. [Google Scholar] [CrossRef]
  2. Chebil, J.; Zormati, H.; Taher, J.B. Geometry-Based Channel Modelling for Vehicle-to-Vehicle Communication: A Review. Int. J. Antennas Propag. 2021, 2021, 4293266. [Google Scholar] [CrossRef]
  3. Feick, R.; Valenzuela, R.A.; Ahumada, L. Experimental results on the level crossing rate and average fade duration for urban fixed wireless channels. IEEE Trans. Wirel. Commun. 2007, 6, 175–179. [Google Scholar] [CrossRef]
  4. Cortés, J.A.; Aguayo-Torres, M.C.; Cañete, F.J.; Gómez, G.; Martos-Naya, E.; Entrambasaguas, J.T. Vehicular Channels: Characteristics, Models and Implications on Communication Systems Design. Wirel. Pers. Commun. 2019, 106, 237–260. [Google Scholar] [CrossRef]
  5. Mahler, K.; Paschalidis, P.; Kortke, A.; Keusgen, W. Modeling and simulation of small-scale fading for vehicle-to-vehicle communication. In Proceedings of the 2010 IEEE Vehicular Networking Conference, Jersey, NJ, USA, 13–15 December 2010. [Google Scholar] [CrossRef]
  6. Rakesh, R.T.; Viterbo, E. Geometry based Stochastic Channel Modeling using Ambit Processes. In Proceedings of the 2020 IEEE Wireless Communications and Networking Conference (WCNC), Seoul, Repulic of Korea, 25–28 May 2020. [Google Scholar] [CrossRef]
  7. Dang, J.; Gao, S.; Zhu, Y.; Guo, R.; Jiang, H.; Zhang, Z.; Wu, L.; Zhu, B.; Wang, L. A geometry-based stochastic channel model and its application for intelligent reflecting surface assisted wireless communication. IET Commun. 2021, 15, 421–434. [Google Scholar] [CrossRef]
  8. Pätzold, M.; Kim, D. A MIMO Mobile-To-Mobile Channel Model: Part I—The Reference Model. In Proceedings of the 2005 IEEE 16th International Symposium on Personal, Indoor and Mobile Radio Communications, Berlin, Germany, 11–14 September 2005; pp. 573–578. [Google Scholar] [CrossRef]
  9. Chelli, A.; Patzold, M. A MIMO Mobile-to-Mobile Channel Model Derived from a Geometric Street Scattering Model. In Proceedings of the 2007 4th International Symposium on Wireless Communication Systems, Trondheim, Norway, 17–19 October 2007. [Google Scholar] [CrossRef]
  10. Zajic, A.G.; Stuber, G.L. Space-time correlated MIMO mobile-to-mobile channels. In Proceedings of the 2006 IEEE 17th International Symposium on Personal, Indoor and Mobile Radio Communications, Helsinki, Finland, 11–14 September 2006. [Google Scholar] [CrossRef]
  11. Akki, A.S. Statistical Properties of Mobile-to-Mobile Land Communication Channels. IEEE Trans. Veh. Technol. 1994, 43, 826–831. [Google Scholar] [CrossRef]
  12. Zajic, A.G.; Stuber, G.L.; Pratt, T.G.; Nguyen, S. Envelope level crossing rate and average fade duration in mobile-to-mobile fading channels. In Proceedings of the IEEE International Conference on Communications, Beijing, China, 19–23 May 2008; pp. 4446–4450. [Google Scholar] [CrossRef]
  13. Zajic, A.G.; Stuber, G.L.; Pratt, T.G.; Nguyen, S.T. Wideband MIMO mobile-to-mobile channels: Geometry-based statistical modeling with experimental verification. IEEE Trans. Veh. Technol. 2009, 58, 517–534. [Google Scholar] [CrossRef]
  14. Cheng, X.; Wang, C.-X.; Laurenson, D.I.; Vasilakos, A.V. Second order statistics of non-isotropic mobile-to-mobile Ricean fading channels. In Proceedings of the 2009 IEEE International Conference on Communications, Dresden, Germany, 14–18 June 2009. [Google Scholar] [CrossRef]
  15. Cheng, X.; Wang, C.-X.; Ai, B.; Aggoune, H. Envelope level crossing rate and average fade duration of nonisotropic vehicle-to-vehicle ricean fading channels. IEEE Trans. Intell. Transp. Syst. 2014, 15, 62–72. [Google Scholar] [CrossRef]
  16. Shakya, D.; Ying, M.; Rappaport, T.S.; Ma, P.; Al-Wazani, I.; Wu, Y.; Wang, Y.; Calin, D.; Poddar, H.; Bazzi, A.; et al. Urban Outdoor Propagation Measurements and Channel Models at 6.75 GHz FR1(C) and 16.95 GHz FR3 Upper Mid-Band Spectrum for 5G and 6G. arXiv 2024, arXiv:2410.17539. [Google Scholar] [CrossRef]
  17. Akram, M.I.; Sheikh, A.U.H. On the Statistical Properties of Nakagami-Hoyt Vehicle-to-Vehicle Fading Channel under Nonisotropic Scattering. Int. J. Antennas Propag. 2012, 2012, 179378. [Google Scholar] [CrossRef]
  18. Youssef, N.; Wang, C.-X.; Patzold, M. A study on the second order statistics of Nakagami-Hoyt mobile fading channels. IEEE Trans. Veh. Technol. 2005, 54, 1259–1265. [Google Scholar] [CrossRef]
  19. Patzold, M.; Killat, U.; Laue, F. An extended Suzuki model for land mobile satellite channels and its statistical properties. IEEE Trans. Veh. Technol. 1998, 47, 617–630. [Google Scholar] [CrossRef]
  20. Abdi, A.; Barger, J.A.; Kaveh, M. A parametric model for the distribution of the angle of arrival and the associated correlation function and power spectrum at the mobile station. IEEE Trans. Veh. Technol. 2002, 51, 425–434. [Google Scholar] [CrossRef]
  21. Zwillinger, D.; Jeffrey, A. Table of Integrals, Series, and Products; Academic Press: Cambridge, MA, USA, 2014; p. 1213. [Google Scholar]
  22. Stüber, G.L. Principles of Mobile Communication; Springer: Berlin/Heidelberg, Germany, 2017. [Google Scholar] [CrossRef]
  23. Maurer, J.; Fugen, T.; Wiesbeck, W. Narrow-band measurement and analysis of the inter-vehicle transmission channel at 5.2 GHz. In Proceedings of the Vehicular Technology Conference. IEEE 55th Vehicular Technology Conference. VTC Spring 2002 (Cat. No. 02CH37367), Birmingham, AL, USA, 6–9 May 2002. [Google Scholar] [CrossRef]
  24. Abdi, A.; Tepedelenlioglu, C.; Kaveh, M.; Giannakis, G. On the estimation of the K parameter for the Rice fading distribution. IEEE Commun. Lett. 2001, 5, 92–94. [Google Scholar] [CrossRef]
  25. Ribeiro, C.B.; Ollila, E.; Koivunen, V. Propagation parameter estimation in MIMO systems using mixture of angular distributions model. In Proceedings of the (ICASSP ’05). IEEE International Conference on Acoustics, Speech, and Signal Processing, Philadelphia, PA, USA, 23 March 2005. [Google Scholar] [CrossRef]
  26. Choudhury, A.; Maszczyk, T.; Math, C.B.; Li, H.; Dauwels, J. An Integrated Simulation Environment for Testing V2X Protocols and Applications. Procedia Comput. Sci. 2016, 80, 2042–2052. [Google Scholar] [CrossRef]
Figure 1. SGTR model for MIMO V2V channels with M T = M R = 2 antenna elements, showing only double-bounce rays (DB).
Figure 1. SGTR model for MIMO V2V channels with M T = M R = 2 antenna elements, showing only double-bounce rays (DB).
Telecom 06 00010 g001
Figure 2. Scatterer behavior and Tx-Rx directionality impact on LCR and AFD: (a) plot of LCR resulting from scatterer behavior and Tx-Rx directionality; (b) plot of AFD resulting from scatterer behavior and Tx-Rx directionality.
Figure 2. Scatterer behavior and Tx-Rx directionality impact on LCR and AFD: (a) plot of LCR resulting from scatterer behavior and Tx-Rx directionality; (b) plot of AFD resulting from scatterer behavior and Tx-Rx directionality.
Telecom 06 00010 g002
Figure 3. Sensitivity of channel parameters on LCR and AFD: (a) plot of LCR resulting from sensitivity of channel parameters; (b) plot of AFD resulting from sensitivity of channel parameters.
Figure 3. Sensitivity of channel parameters on LCR and AFD: (a) plot of LCR resulting from sensitivity of channel parameters; (b) plot of AFD resulting from sensitivity of channel parameters.
Telecom 06 00010 g003
Figure 4. The effects of Tx-Rx distance separation (d) on LCR and AFD: (a) LCR plot resulting from Tx-Rx separation; (b) AFD plot resulting from Tx-Rx separation.
Figure 4. The effects of Tx-Rx distance separation (d) on LCR and AFD: (a) LCR plot resulting from Tx-Rx separation; (b) AFD plot resulting from Tx-Rx separation.
Telecom 06 00010 g004
Figure 5. Impact of high and low VTD on LCR propagation paths: (a) plot of LCR characteristics at high-VTD; (b) plot of LCR characteristics at low-VTD.
Figure 5. Impact of high and low VTD on LCR propagation paths: (a) plot of LCR characteristics at high-VTD; (b) plot of LCR characteristics at low-VTD.
Telecom 06 00010 g005
Figure 6. Theoretical model vs. measured data for LCRs and AFDs: (a) plot for LCR; (b) plot for AFD.
Figure 6. Theoretical model vs. measured data for LCRs and AFDs: (a) plot for LCR; (b) plot for AFD.
Telecom 06 00010 g006
Disclaimer/Publisher’s Note: The statements, opinions and data contained in all publications are solely those of the individual author(s) and contributor(s) and not of MDPI and/or the editor(s). MDPI and/or the editor(s) disclaim responsibility for any injury to people or property resulting from any ideas, methods, instructions or products referred to in the content.

Share and Cite

MDPI and ACS Style

Akiishi, S.; Ali, A.; Esenogho, E.; Cameron, M. Second-Order Statistical Properties of Vehicle-to-Vehicle Rician Fading Channel. Telecom 2025, 6, 10. https://doi.org/10.3390/telecom6010010

AMA Style

Akiishi S, Ali A, Esenogho E, Cameron M. Second-Order Statistical Properties of Vehicle-to-Vehicle Rician Fading Channel. Telecom. 2025; 6(1):10. https://doi.org/10.3390/telecom6010010

Chicago/Turabian Style

Akiishi, Sylvester, Ahmed Ali, Ebenezer Esenogho, and Modisane Cameron. 2025. "Second-Order Statistical Properties of Vehicle-to-Vehicle Rician Fading Channel" Telecom 6, no. 1: 10. https://doi.org/10.3390/telecom6010010

APA Style

Akiishi, S., Ali, A., Esenogho, E., & Cameron, M. (2025). Second-Order Statistical Properties of Vehicle-to-Vehicle Rician Fading Channel. Telecom, 6(1), 10. https://doi.org/10.3390/telecom6010010

Article Metrics

Back to TopTop