A Systematic Computational Study of Oil Displacement Processes in Terrigenous and Cavernous-Fractured Porous Media Using Surfactant Solutions
Abstract
1. Introduction
2. Numerical Methodology
3. Problem Statement and Boundary Conditions
4. Property Displacing Fluids
5. Results and Discussion
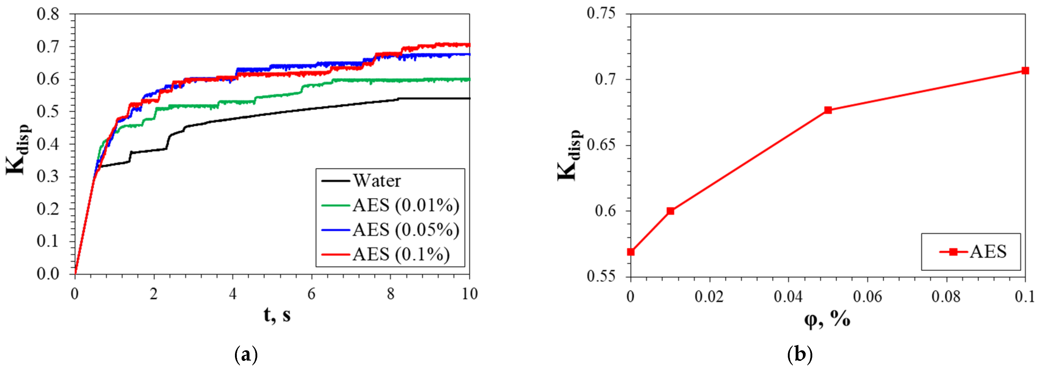
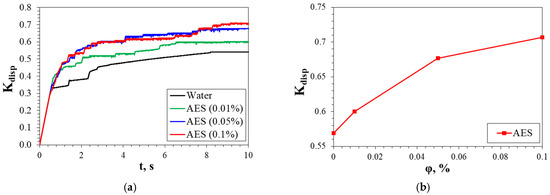
5.1. Investigation of the Effect of Surfactant Concentration on the Oil Displacement Process in Porous Media
5.2. Investigation of the Effect of Surfactant Concentration on the Oil Displacement Process in a Cavernous-Fractured Medium
6. Conclusions
Author Contributions
Funding
Data Availability Statement
Conflicts of Interest
References
- Zitha, P.; Felder, R.; Zornes, D.; Brown, K.; Mohanty, K. Increasing hydrocarbon recovery factors. Soc. Pet. Eng. 2011, 1–9. [Google Scholar]
- Alvarado, V.; Manrique, E. Methods of Enhanced Oil Recovery. Planning and Application Strategies; Paliy, A.O., Ed.; Falaleev, B.L., Translator; Premium Engineering: Moscow, Russia, 2011; p. 220. [Google Scholar]
- Reed, R.L.; Healy, R.N. Some Physicochemical Aspects of Microemulsion Flooding: A Review; Academic Press: San Diego, CA, USA, 1977; pp. 347–383. [Google Scholar]
- Quy, N.V.; Labrid, J. A Numerical Study of Chemical Flooding Comparison with Experiments. Soc. Pet. Eng. J. 1983, 23, 461–474. [Google Scholar] [CrossRef]
- Zhang, Z.; Madhar Sahib, A.z.a.d.; Trivedi, J.J. IFT or wettability alteration: What is more important for oil recovery in oil-wet formation? Fuel 2021, 291, 119986. [Google Scholar] [CrossRef]
- Hirasaki, G.; Miller, C.A.; Puerto, M.A. Recent Advances in Surfactant EOR. Soc. Pet. Eng. J. 2011, 16, 889–907. [Google Scholar] [CrossRef]
- Rashidi, S.; Shariatipour, S.; Bagheri, M. CO2 Storage Site Selection: A Comprehensive Review of Current Approaches. Greenh. Gases Sci. Technol. 2025, 15, 487–510. [Google Scholar] [CrossRef]
- Rahaman, M.S.; Islam, M.A. Integrating CO2 sequestration and enhanced gas recovery: A comprehensive evaluation for sustainable carbon management. J. Pet. Explor. Prod. Technol. 2025, 15, 160. [Google Scholar] [CrossRef]
- Aftab, A.; Hassanpouryouzband, A.; Xie, Q.; Machuca, L.L.; Sarmadivaleh, M. Toward a Fundamental Understanding of Geological Hydrogen Storage. Ind. Eng. Chem. Res. 2022, 61, 3233–3253. [Google Scholar] [CrossRef]
- Song, R.; Feng, D.; Liu, J.; Yang, C.; Zou, S. A Review of Underground Hydrogen Storage in Depleted Oil and Gas Reservoirs. Int. J. Energy Res. 2025, 2025, 9246074. [Google Scholar] [CrossRef]
- Li, Y.; Yin, L. A New Surfactant Flooding Model for Low Permeability Reservoirs. Open J. Fluid Dyn. 2013, 3, 1–8. [Google Scholar] [CrossRef]
- Lotfollahi, M.; Varavei, A.; Delshad, M.; Farajzadeh, F.; Pope, G.A. Development of a hybrid black-oil/surfactant enhanced oil recovery reservoir simulator. J. Pet. Sci. Eng. 2015, 133, 130–146. [Google Scholar] [CrossRef]
- Abbas, A.H.; Sulaiman, W.R.W.; Jaafar, M.Z.; Gbadamosi, A.O.; Ebrahimi, S.S.; Elrufai, A. Numerical study for continuous surfactant flooding considering adsorption in heterogeneous reservoir. J. King Saud Univ.—Eng. Sci. 2020, 32, 91–99. [Google Scholar] [CrossRef]
- Silva, J.V.G.; Silveira, B.M.O.; Ferrari, J.V.; Sampaio, M.A. Integration between experimental investigation and numerical simulation of alkaline surfactant foam flooding in carbonate reservoirs. J. Pet. Explor. Prod. Technol. 2024, 14, 2807–2831. [Google Scholar] [CrossRef]
- Akinyele, O.; Stephen, K.D. Numerical effects on the simulation of surfactant flooding for enhanced oil recovery. Comput. Geosci. 2022, 26, 865–881. [Google Scholar] [CrossRef]
- Zhong, X.; Song, J.; Yang, Y.; Cao, L.; Chen, L.; Zhao, H. Molecular insight into the enhanced oil recovery potential of a seawater-based zwitterionic/anionic surfactant compound for heavy oil reservoirs. J. Mol. Liq. 2024, 408, 125315. [Google Scholar] [CrossRef]
- Oyang, Y.; Wang, T.; Lu, H.; Xie, Y.; Hui, C. Efficiency prediction and scheme optimization on surfactant flooding based on neural network method and its application in the Ordos Basin. J. Comput. Methods Sci. Eng. 2025, 14727978251360512. [Google Scholar] [CrossRef]
- Hirt, C.W.; Nichols, B.D. Volume of fluid (VOF) method for the dynamics of free boundaries. J. Comput. Phys. 1981, 39, 201–225. [Google Scholar] [CrossRef]
- Brackbill, J.; Kothe, D.; Zemach, C. A continuum method for modeling surface tension. J. Comput. Phys. 1992, 100, 335–354. [Google Scholar] [CrossRef]
- Jeong, W.; Seong, J. Comparison of effects on technical variances of computational fluid dynamics (CFD) software based on finite element and finite volume methods. Int. J. Mech. Sci. 2014, 78, 19–26. [Google Scholar] [CrossRef]
- Guzei, D.; Skorobogatova, A.; Ivanova, S.; Minakov, A. A Computational Study of Polymer Solutions Flow Regimes during Oil Recovery from a Fractured Model. Appl. Sci. 2023, 13, 11508. [Google Scholar] [CrossRef]
- Guzei, D.V.; Ivanova, S.V.; Minakov, A.V.; Pryazhnikov, M.I. Comprehensive numerical study of sequential injection of SiO2-nanofluids for enhanced oil recovery. J. Mol. Liq. 2023, 391, 123307. [Google Scholar] [CrossRef]
- Guzei, D.; Zhigarev, V.; Rudyak, V.; Ivanova, S.; Minakov, A. Effect of Initial Water Saturation on Oil Displacement Efficiency by Nanosuspensions. Fluids 2022, 7, 59. [Google Scholar] [CrossRef]
- Minakov, A.V.; Rudyak, V.Y.; Pryazhnikov, M.I. Systematic Experimental Study of the Viscosity of Nanofluids. Heat Transf. Eng. 2020, 42, 1024–1040. [Google Scholar] [CrossRef]
- Guzei, D.V.; Minakov, A.V.; Pryazhnikov, M.I.; Ivanova, S.V. Numerical investigation of enhanced oil recovery from various rocks by nanosuspensions flooding. J. Appl. Comput. Mech. 2022, 8, 306–318. [Google Scholar] [CrossRef]
- Minakov, A.V.; Pryazhnikov, M.I.; Suleymana, Y.N.; Meshkova, V.D. An Experimental Study of the Effect of the Addition of Silicon Oxide Nanoparticles on the Wettability Characteristics of Rocks with Respect to Oil. Tech. Phys. Lett. 2020, 46, 1238–1240. [Google Scholar] [CrossRef]



















| Number of Grid Cells | Kdisp, % | Deviation, % | ΔP, Pa | Deviation, % |
|---|---|---|---|---|
| 400,000 | 56.9 | 4.9 | 570.98 | 5.9 |
| 750,000 | 52.9 | 0.9 | 581.35 | 4.0 |
| 2,800,000 | 52.0 | 0 | 605.10 | 0 |
| Number of Grid Cells | Kdisp, % | Deviation, % | ΔP, Pa | Deviation, % |
|---|---|---|---|---|
| 415,000 | 47.1 | 4.1 | 38.89 | 3.3 |
| 1,400,000 | 45.0 | 2.0 | 39.92 | 0.72 |
| 5,100,000 | 43.0 | 0 | 40.21 | 0 |
Disclaimer/Publisher’s Note: The statements, opinions and data contained in all publications are solely those of the individual author(s) and contributor(s) and not of MDPI and/or the editor(s). MDPI and/or the editor(s) disclaim responsibility for any injury to people or property resulting from any ideas, methods, instructions or products referred to in the content. |
© 2025 by the authors. Licensee MDPI, Basel, Switzerland. This article is an open access article distributed under the terms and conditions of the Creative Commons Attribution (CC BY) license (https://creativecommons.org/licenses/by/4.0/).
Share and Cite
Guzei, D.; Pryazhnikov, M.; Ivanova, S.; Zhigarev, V.; Minakov, A. A Systematic Computational Study of Oil Displacement Processes in Terrigenous and Cavernous-Fractured Porous Media Using Surfactant Solutions. Modelling 2025, 6, 152. https://doi.org/10.3390/modelling6040152
Guzei D, Pryazhnikov M, Ivanova S, Zhigarev V, Minakov A. A Systematic Computational Study of Oil Displacement Processes in Terrigenous and Cavernous-Fractured Porous Media Using Surfactant Solutions. Modelling. 2025; 6(4):152. https://doi.org/10.3390/modelling6040152
Chicago/Turabian StyleGuzei, Dmitriy, Maksim Pryazhnikov, Sofia Ivanova, Vladimir Zhigarev, and Andrey Minakov. 2025. "A Systematic Computational Study of Oil Displacement Processes in Terrigenous and Cavernous-Fractured Porous Media Using Surfactant Solutions" Modelling 6, no. 4: 152. https://doi.org/10.3390/modelling6040152
APA StyleGuzei, D., Pryazhnikov, M., Ivanova, S., Zhigarev, V., & Minakov, A. (2025). A Systematic Computational Study of Oil Displacement Processes in Terrigenous and Cavernous-Fractured Porous Media Using Surfactant Solutions. Modelling, 6(4), 152. https://doi.org/10.3390/modelling6040152

