Modification of Airfoil Thickness and Maximum Camber by Inverse Design for Operation Under Icing Conditions
Abstract
1. Introduction
2. Numerical Approach
2.1. Setup of Numerical Model
2.1.1. Geometry
2.1.2. Meshing
2.1.3. Setup of Computation
2.2. Mesh Independence Study
2.3. Grid Convergence Index (GCI)
2.4. Physical Models
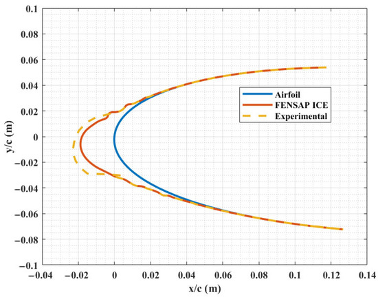
2.5. Validation of the Numerical Model
3. Inverse Design
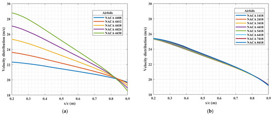
3.1. Velocity Distribution
3.2. Inverse Design Procedure and Correction Factor
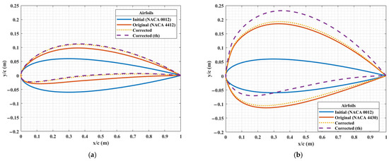
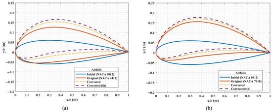
3.3. Application of Correction Factor to Obtain Airfoil Shape
4. Performance of Airfoil Obtained by Inverse Design Involving Correction Factor
4.1. Impact of Corrected Shape on the Ice Mass
4.2. Comparison of Aerodynamic Performance of the Initial and Corrected Airfoils
5. Conclusions
- The highest correction factor and modified correction factor under the conditions considered were obtained at 1.89 and 2.78, respectively, which affected the ice mass and aerodynamic performance.
- Based on the findings, there was a minimal reduction (or even no reduction in some cases) in the mass of ice accretion on the airfoil surface, because the leading edge radius was not greatly affected by the inverse design process.
- The findings show significant improvement in the aerodynamic performance of the corrected airfoil under icing conditions, because the reduction in pressure leads to an increase in velocity and thus a higher lift. This tendency was particularly advantageous for thick airfoils when the effects of thickness were considered in the inverse design process.
- An increase in the LWC led to an increase in the ice mass, which worsened the aerodynamic performance. However, the variation in LWC did not significantly change the enhancing effect of the corrected shape.
- The aerodynamic performance was enhanced to a relatively greater extent at an air temperature of 4 °C that corresponds to glaze ice accretion than at 20 °C that is more common during rime ice accretion.
Author Contributions
Funding
Data Availability Statement
Conflicts of Interest
References
- Kara, T.; Şahin, A.D. Implications of Climate Change on Wind Energy Potential. Sustainability 2023, 15, 14822. [Google Scholar] [CrossRef]
- Jin, J.Y.; Virk, M.S. Study of ice accretion and icing effects on aerodynamic characteristics of DU96 wind turbine blade profile. Cold Reg. Sci. Technol. 2019, 160, 119–127. [Google Scholar] [CrossRef]
- Rotich, I.; Kollár, L.E. Inverse Design of Wind Turbine Blade Section with CFD Simulations Under Extreme Weather Conditions. 2024. Available online: https://www.researchgate.net/publication/381965108 (accessed on 24 March 2025).
- Chuang, Z.; Yi, H.; Chang, X.; Liu, H.; Zhang, H.; Xia, L. Comprehensive Analysis of the Impact of the Icing of Wind Turbine Blades on Power Loss in Cold Regions. J. Mar. Sci. Eng. 2023, 11, 1125. [Google Scholar] [CrossRef]
- Roberge, P.; Lemay, J.; Ruel, J.; Bégin-Drolet, A. Definition of an ice index for wind turbines in cold climate. Cold Reg. Sci. Technol. 2023, 213, 103930. [Google Scholar] [CrossRef]
- Swenson, L.; Gao, L.; Hong, J.; Shen, L. An efficacious model for predicting icing-induced energy loss for wind turbines. Appl. Energy 2022, 305, 117809. [Google Scholar] [CrossRef]
- Shao, H.; Li, D.; Kan, Z.; Li, H.; Yuan, D.; Xiang, J. Influence of wing camber on aerodynamic performance of flapping wing rotor. Aerosp. Sci. Technol. 2021, 113, 106732. [Google Scholar] [CrossRef]
- Zhang, X.; Li, Z.; Yu, X.; Li, W. Aerodynamic Performance of Trailing-Edge Modification of H-Type VAWT Blade Considering Camber Effect. Int. J. Aeronaut. Space Sci. 2020, 21, 587–598. [Google Scholar] [CrossRef]
- Virk, M.S. Effect of Wind Turbine Blade Profile Symmetry on Ice Accretion. Appl. Mech. Mater. 2017, 863, 229–234. [Google Scholar] [CrossRef]
- Wang, S.; Qiao, Y.; Zhang, Z. Influence of camber on aerodynamic performance of airfoil based on CFD technology. J. Phys. Conf. Ser. 2022, 2276, 012027. [Google Scholar] [CrossRef]
- Dayyani, I.; Shaw, A.D.; Saavedra Flores, E.I.; Friswell, M.I. The mechanics of composite corrugated structures: A review with applications in morphing aircraft. Compos. Struct. 2015, 133, 358–380. [Google Scholar] [CrossRef]
- Jo, B.W.; Majid, T. Aerodynamic Analysis of Camber Morphing Airfoils in Transition via Computational Fluid Dynamics. Biomimetics 2022, 7, 52. [Google Scholar] [CrossRef] [PubMed]
- Majid, T.; Jo, B.W. Comparative Aerodynamic Performance Analysis of Camber Morphing and Conventional Airfoils. Appl. Sci. 2021, 11, 10663. [Google Scholar] [CrossRef]
- Abdelmoula, A.; Rauleder, J. Aerodynamic Performance of Morphed Camber Rotor Airfoils. In Proceedings of the AIAA Scitech 2019 Forum, San Diego, CA, USA, 7–11 January 2019. [Google Scholar] [CrossRef]
- Seifi Davari, H.; Seify Davari, M.; Kouravand, S.; Kafili Kurdkandi, M. Optimizing the Aerodynamic Efficiency of Different Airfoils by Altering Their Geometry at Low Reynolds Numbers. Arab. J. Sci. Eng. 2024, 49, 15253–15288. [Google Scholar] [CrossRef]
- Garabedian, P.; McFadden, G. Computational Fluid Dynamics of Airfoils and Wings. In Transonic 1982, Shock, and Multidimensional Flows; Elsevier: Amsterdam, The Netherlands, 1982; pp. 1–16. [Google Scholar] [CrossRef]
- Malone, J.B.; Vadyak, J.; Sankar, L.N. Inverse aerodynamic design method for aircraft components. J. Aircr. 1987, 24, 8–9. [Google Scholar] [CrossRef]
- Malone, J.; Swanson, R. Inverse airfoil design procedure using a multigrid Navier-Stokes method. In Proceedings of the Third International Conference on Inverse Design Concepts and Optimization in Engineering Sciences (ICIDES-3), Washington, DC, USA, 23–25 October 1991. [Google Scholar]
- Dulikravich, G.S.; Baker, D.P. Using Existing Flow-Field Analysis Codes for Inverse Design of Three-Dimentional Aerodynamic Shapes; Vieweg+Teubner Verlag: Wiesbaden, Germany, 1999; pp. 89–112. [Google Scholar] [CrossRef]
- Kollar, L.E.; Mishra, R. Icing of Wind Turbine Blades Obtained by an Inverse Design Process. In Proceedings of the 12th Conference on Sustainable Development of Energy, Water and Environment Systems (SDEWES2017), Dubrovnik, Croatia, 4–8 October 2017. [Google Scholar]
- Volpe, E.V.; Oliveira, G.L.; Santos, L.C.C.; Hayashi, M.T.; Ceze, M.A.B. Inverse aerodynamic design applications using the MGM hybrid formulation. Inverse Probl. Sci. Eng. 2009, 17, 245–261. [Google Scholar] [CrossRef]
- Kollár, L.E.; Mishra, R.; Jain, A. Inverse Design of Blade Shapes for Vertical Axis Wind Turbines; MNNITA: Prayagraj, India, 2016. [Google Scholar]
- Nili-Ahmadabadi, M.; Mokhtarinia, F.; Shirani, M. Performance improvement of a wind turbine blade using a developed inverse design method. Environ. Eng. Sci. 2016, 4, 1–10. [Google Scholar]
- Kollar, L.E.; Mishra, R. Inverse design of wind turbine blade sections for operation under icing conditions. Energy Convers. Manag. 2019, 180, 844–858. [Google Scholar] [CrossRef]
- Spera, D.A. (Ed.) Wind Turbine Technology: Fundamental Concepts in Wind Turbine Engineering, 2nd ed.; ASME Press: New York, NY, USA, 2009. [Google Scholar] [CrossRef]
- Airfoiltools. NACA 4 Digit Airfoil Generator. 2025. Available online: http://airfoiltools.com/ (accessed on 28 March 2025).
- Ma, D.; Zhao, Y.; Qiao, Y.; Li, G. Effects of relative thickness on aerodynamic characteristics of airfoil at a low Reynolds number. Chin. J. Aeronaut. 2015, 28, 1003–1015. [Google Scholar] [CrossRef]
- Razzak, M.A.; Cui, Y.D.; Tay, J.; Teo, Z.W.; Nadesan, T.; Khoo, B.C.; Nguyen, V.-T.; Wise, D.J.; EChua, K.T.; VBL, B. Experimental study of skin friction drag reduction of turbulent boundary layer over shallow dimples. In Proceedings of the AIAA SCITECH 2022 Forum, San Diego, CA, USA, 3 January 2022. [Google Scholar] [CrossRef]
- Stroh, A.; Hasegawa, Y.; Schlatter, P.; Frohnapfel, B. Global effect of local skin friction drag reduction in spatially developing turbulent boundary layer. J. Fluid Mech. 2016, 805, 303–321. [Google Scholar] [CrossRef]
- Takahashi, H.; Iijima, H.; Kurita, M.; Koga, S. Evaluation of Skin Friction Drag Reduction in the Turbulent Boundary Layer Using Riblets. Appl. Sci. 2019, 9, 5199. [Google Scholar] [CrossRef]
- Halila, G.L.O.; Antunes, A.P.; da Silva, R.G.; Azevedo, J.L.F. Effects of boundary layer transition on the aerodynamic analysis of high-lift systems. Aerosp. Sci. Technol. 2019, 90, 233–245. [Google Scholar] [CrossRef]
- Rotich, I.K.; Kollár, L.E. Numerical study of ice accretion on blade surface with varying cloud characteristics. J. Comput. Appl. Mech. 2024, 19, 17–35. [Google Scholar] [CrossRef]
- Rotich, I.; Kollár, L.E. Numerical simulation of the performance of an asymmetrical airfoil under extreme weather conditions. Mérnöki És Inform. Megoldások 2022, 3, 19–29. [Google Scholar] [CrossRef]
- Broadhead, B.L.; Rearden, B.T.; Hopper, C.M.; Wagschal, J.J.; Parks, C.V. Sensitivity- and Uncertainty-Based Criticality Safety Validation Techniques. Nucl. Sci. Eng. 2004, 146, 340–366. [Google Scholar] [CrossRef]
- Roache, P.J. Perspective: A Method for Uniform Reporting of Grid Refinement Studies. J. Fluids Eng. 1994, 116, 405–413. [Google Scholar] [CrossRef]
- ANSYS. FENSAP-ICE User Manual Third-Party Software; Release 18.1; ANSYS, Inc.: Canonsburg, PA, USA, April 2017; Available online: http://www.ansys.com (accessed on 28 March 2025).
- Makkonen, L.; Laakso, T.; Marjaniemi, M.; Finstad, K.J. Modelling and Prevention of Ice Accretion on Wind Turbines. Wind Eng. 2001, 25, 3–21. [Google Scholar] [CrossRef]
- Rotich, I.K.; Kollár, L.E. Effects of sand grain roughness height on the performance of wind turbine blade section under extreme weather conditions. Int. J. Multiph. Flow 2024, 181, 105022. [Google Scholar] [CrossRef]
- Shin, J.; Bond, T.H. Experimental and Computational Ice Shapes and Resulting Drag Increase for a NACA 0012 Airfoil. In Proceedings of the California State Univ., the Fifth Symposium on Numerical and Physical Aspects of Aerodynamic Flows, Long Beach, CA, USA, 13–15 January 1992. [Google Scholar]
- Conte, S.D.; Boor, C. Elementary Numerical Analysis: An Algorithmic Approach; McGraw-Hill: New York, NY, USA, 1981; pp. 153–157. [Google Scholar]
- Helgesen, I.S.; Johannesen, A.B.; Bostedt, G.; Sandorf, E.D. Climate change and reindeer herding—A bioeconomic model on the impact of climate change on harvesting profits for Saami reindeer herders in Norway and Sweden. Ecol. Econ. 2024, 223, 108227. [Google Scholar] [CrossRef]
- Wen, J.; Jia, R.; Peng, Y. Observation and Analysis of Meteorological Conditions for Icing of Wires in Guizhou, China. J. Geosci. Environ. Prot. 2019, 07, 214–230. [Google Scholar] [CrossRef][Green Version]
- Dierer, S.; Oechslin, R.; Cattin, R. Wind turbines in icing conditions: Performance and prediction. Adv. Sci. Res. 2011, 6, 245–250. [Google Scholar] [CrossRef]
- Grünewald, T.; Dierer, S.; Cattin, R.; Steiner, P.; Steinkogler, W.; Fundel, F.; Lehning, M. Mapping frequencies of icing on structures in Switzerland. J. Wind. Eng. Ind. Aerodyn 2012, 107–108, 76–82. [Google Scholar] [CrossRef]
- Jeck, R.K. Icing Design Envelopes (14 CFR Parts 25 and 29, Appendix C) Converted to a Distance-Based Format; Federal Aviation Administration, Office of Aviation Research: Washington, DC, USA, 2002. [Google Scholar]
- Son, C.; Oh, S.; Yee, K. Quantitative analysis of a two-dimensional ice accretion on airfoils. J. Mech. Sci. Technol. 2012, 26, 1059–1071. [Google Scholar] [CrossRef]
- Kozelkov, A.; Galanov, N.; Semenov, I.; Zhuchkov, R.; Strelets, D. Computational Investigation of the Water Droplet Effects on Shapes of Ice on Airfoils. Aerospace 2023, 10, 906. [Google Scholar] [CrossRef]
- Muhammed, M.; Virk, M.S. Ice Accretion on Rotary-Wing Unmanned Aerial Vehicles—A Review Study. Aerospace 2023, 10, 261. [Google Scholar] [CrossRef]
- Bai, T.; Liu, J.; Zhang, W.; Zou, Z. Effect of surface roughness on the aerodynamic performance of turbine blade cascade. Propuls. Power Res. 2014, 3, 82–89. [Google Scholar] [CrossRef]
- Contreras Montoya, L.T.; Ilinca, A.; Lain, S. Influence of Surface Roughness Modeling on the Aerodynamics of an Iced Wind Turbine S809 Airfoil. Processes 2023, 11, 3371. [Google Scholar] [CrossRef]













| 35–100 | 2.857 | 9.088 × 10−4 | 0.2630 |
| 100–400 | 4 | 0.00146 | 0.3008 |
| 400–1000 | 2.5 | 1.0215 × 10−4 | 0.0347 |
| Airfoil (NACA) | 4408 | 4412 | 4418 | 4424 | 4430 |
| 1.30 | 1.36 | 1.75 | 1.75 | 1.22 | |
| 1.30 | 1.40 | 2.10 | 2.78 | 2.31 |
| Airfoil (NACA) | 1418 | 2418 | 3418 | 4418 | 5418 | 6418 | 7418 | 8418 |
| 1.22 | 1.42 | 1.57 | 1.75 | 1.89 | 1.48 | 1.23 | 1.22 | |
| 1.59 | 1.63 | 1.85 | 2.10 | 2.30 | 1.70 | 1.35 | 1.33 |
Disclaimer/Publisher’s Note: The statements, opinions and data contained in all publications are solely those of the individual author(s) and contributor(s) and not of MDPI and/or the editor(s). MDPI and/or the editor(s) disclaim responsibility for any injury to people or property resulting from any ideas, methods, instructions or products referred to in the content. |
© 2025 by the authors. Licensee MDPI, Basel, Switzerland. This article is an open access article distributed under the terms and conditions of the Creative Commons Attribution (CC BY) license (https://creativecommons.org/licenses/by/4.0/).
Share and Cite
Rotich, I.K.; Kollár, L.E. Modification of Airfoil Thickness and Maximum Camber by Inverse Design for Operation Under Icing Conditions. Modelling 2025, 6, 64. https://doi.org/10.3390/modelling6030064
Rotich IK, Kollár LE. Modification of Airfoil Thickness and Maximum Camber by Inverse Design for Operation Under Icing Conditions. Modelling. 2025; 6(3):64. https://doi.org/10.3390/modelling6030064
Chicago/Turabian StyleRotich, Ibrahim Kipngeno, and László E. Kollár. 2025. "Modification of Airfoil Thickness and Maximum Camber by Inverse Design for Operation Under Icing Conditions" Modelling 6, no. 3: 64. https://doi.org/10.3390/modelling6030064
APA StyleRotich, I. K., & Kollár, L. E. (2025). Modification of Airfoil Thickness and Maximum Camber by Inverse Design for Operation Under Icing Conditions. Modelling, 6(3), 64. https://doi.org/10.3390/modelling6030064

