Tracking Interoperability and Data Quality: A Methodology with BPMN 2.0 Extensions and Performance Evaluation
Abstract
1. Problem Statement
2. Literature Review
2.1. Modeling and Performance Measurement
2.2. Data Quality Management Method
- Definition: The organization must articulate a clear definition of what it means by data quality and determine the dimensions of data quality relevant to its objectives.
- Measurement: Measure quality values to compare them against objectives.
- Analysis: Identify the roots of quality problems and study their relationships.
- Improvement: Design and implement actions to enhance data quality.
- Assessment: Identifying stakeholders, measuring and interpreting data quality, evaluating costs of nonquality, and assessing benefits of improvement.
- Improvement: Identifying error causes, defining improvements for data and processes, and redefining processes.
- Improvement management and monitoring: Conducting customer satisfaction surveys, executing small-scale pilot projects, defining information stewardship, analyzing systematic barriers to data quality, recommending changes, and establishing a regular communication mechanism with managers.
- Subjective and objective assessments: Evaluate the quality of data from both subjective and objective perspectives.
- Comparative analysis: Compare assessment results, identify discrepancies, and determine root causes.
- Improvement steps: Determine and implement necessary steps for improvement.
2.3. Data Interoperability
3. Methodology for Data Quality and Interoperability
3.1. General Methodology
3.2. Methodology Steps
- Step 1: Perform AS IS and TO BE models to represent the tasks involved in data exchange.
- Step 2: Identify interoperability problems (interoperability points) among various data exchanges within the process.
- Step 3: Represent the identified interoperability points using proposed interoperability extensions.
- Step 4: Determine and input performance values for tasks involved in these data exchanges into proposed performance extensions.
- Step 5: Implement technical solutions to resolve data interoperability.
- Step 6: Implement the data using the FMECA method, ensuring follow-up on previous technical actions for interoperability and establishing a continuous improvement process for data quality.
3.3. Contributions and Case Study Implementation
- Step 1: AS IS and TO BE models (Figure 1: The process models were created using BPMN 2.0.
- Step 2: Interoperability points identification: Interoperability points were identified at the level of data exchanges in both models.
- Step 3: Representation of interoperability points:
3.4. Foundation
3.5. Implementation
3.6. Graphical Representation
Representation of Interoperability Points
- dataInteroperabilityBarrier:
- Graphical representation: The representation signifies that interoperability is not assured. Arrows representing interoperability are barred, indicating a problem to be solved.
- Placement in BPMN model: This representation is placed in the BPMN model following the same rules and constraints as the standard data object.
- dataInteroperabilityResolved:
- Graphical representation: Similar to dataInteroperabilityBarrier but without barred arrows, indicating that interoperability is resolved.
- Placement in BPMN model: This representation is also placed in the BPMN model following the same rules and constraints as the standard data object.
- Use of extensions in BPMN model:
3.7. Evaluation and Representation of Performance
3.7.1. Foundations
3.7.2. Linking to Tasks
3.7.3. Performance Aggregation Methods
3.7.4. Problem and Non-Added-Value Tasks
3.7.5. Performance Aggregation Model
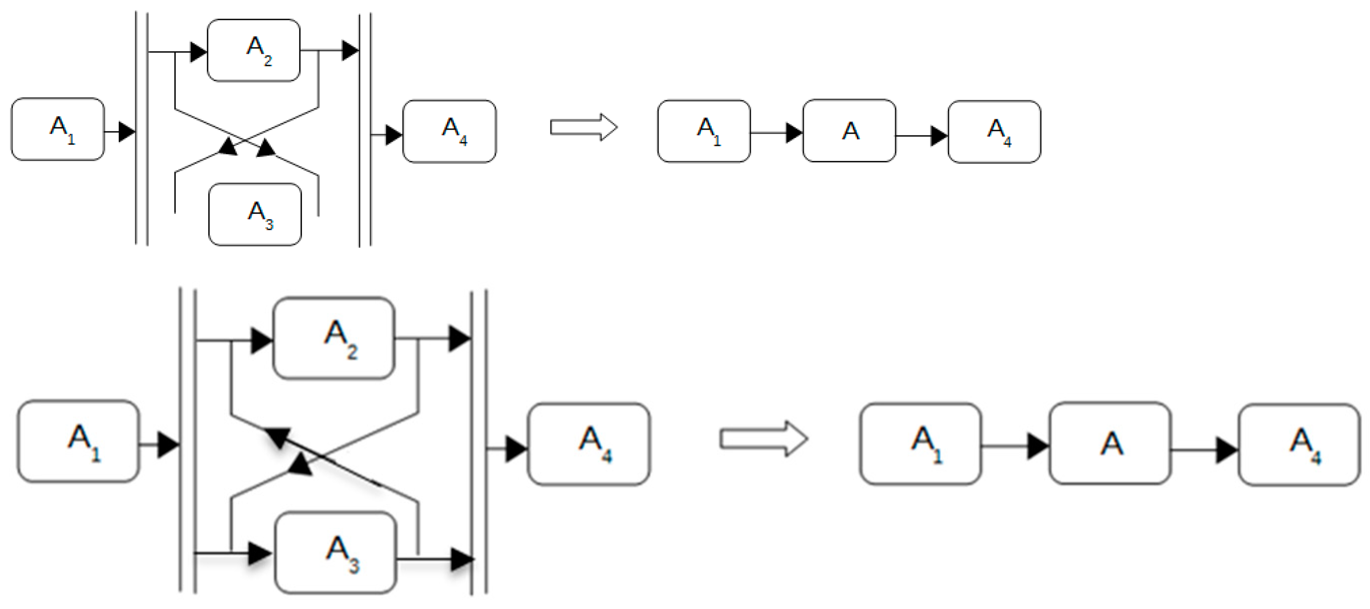
Process Reduction
Sequential Reduction
Conditional Reduction
Parallel Reduction
3.7.6. Aggregation of Performance Measures
3.7.7. Implementation
3.7.8. Extended Interface
4. Use Case: Onetik
4.1. Use Case: Onetik-AS IS Model of Expedition Business Process
- The print delivery bill (PDB) is displayed on the screen by the ERP.
- An operator prints the PDB.
- The operator brings the paper PDB to the weighing operator.
- The weighing operator enters the following data on the scale: product identifier, customer identifier, tare, number of packages of this product, use-by date, and batch number.
- The weighing operator places the package on the scale, weighing the package that is automatically displayed on the scale.
- The weighing operator records the weight and batch number on the paper PDB.
- The weighing operator transmits the PDB.
- An operator enters the weight and lot number on the PDB in the ERP.
- The ERP generates a delivery note (BL) from the PDB.
4.2. Onetik Case Study: TO BE Model and Interoperability Points
- Interoperability Point 1: The first interoperability problem occurs in transferring data from the PDB to the weighing scale, resulting in non-value-added tasks (2, 3, and 4).
- Interoperability Point 2: The second problem arises in transferring the completed PDB, along with weight and batch numbers, from the scale to the ERP. This interoperability issue leads to non-value-added tasks (6, 7, and 8).
- The ERP sends the preparation delivery bill (PDB) to the new shipping management module.
- The shipping management module displays the PDB on the scale.
- The weighing operator selects the line to be weighed and the batch number to use.
- The weighing operator places the package on the scale, weighing the package.
- After weighing all the products of the order, the shipment management module returns data to the ERP.
- The ERP generates a delivery note from the PDB.
4.3. Onetik Case Study: Interoperability Points and Performance Measurement
Foundation
- -
- A team is formed, including actors from all trades concerned by the project.
- -
- The project’s scope is defined, along with the objectives in terms of data quality improvement.
- -
- Documents with quality problems are identified, along with the data inside these documents.
- -
- The system corresponds to the information system, and components are the exchanged documents with each of the data inside.
- F (frequency of the causes of nonquality): Represents the frequency of unreliability of the considered data. Each cause is evaluated independently.
- N (facility of detection/detectability): Represents the possibility of detecting the cause or mode of failure before the effect occurs.
- G (severity of the effects of nonquality): Represents the importance of the effect of nonquality of the data in the long term. Severity quantifies the impact on the customer or on the next process.
- Reevaluation of parameters: Assessing the impact of corrective actions on the frequency, detectability, and severity of data quality issues.
- Calculation of new criticality (C′): Using the updated parameters to calculate the new criticality values for each data entry.
- Prioritization of reliability failures: Establishing a new list of critical points based on the updated criticality values.
- Proposing new corrective actions: Identifying and proposing new corrective actions to further improve data quality.
- Analysis of criticality values (result): Understanding the impact of implemented corrective actions on the criticality values of different data entries.
- Identification of data entries with ongoing issues: Recognizing data entries that still exhibit high criticality values, indicating areas where further improvements are needed.
- Selection of additional corrective actions: Choosing additional corrective actions based on the identified areas for improvement. This involves assessing the feasibility and effectiveness of different actions.
- Implementation of new corrective actions: Executing the chosen corrective actions to address the identified issues and enhance the quality of data.
- Monitoring and evaluation: Continuously monitoring the performance of data entries, reevaluating criticality values, and assessing the effectiveness of the newly implemented corrective actions.
- Iterative process: Repeating the continuous improvement cycle iteratively to achieve ongoing enhancements in data quality.
- Visibility of Data Exchanges with Interoperability Problems:
- The methodology makes the exchange of data with interoperability problems visible to various audiences within the company.
- The use of BPMN 2.0 models with interoperability extensions, such as dataInteroperabilityResolved, facilitates clear representation of data exchanges.
- Highlighting the Need for Problem Resolution:
- Measures of performance for tasks directly involved in data exchanges are displayed in BPMN 2.0 models.
- The TO BE model illustrates the establishment of interoperability, showcasing improved performance in terms of cost, time, quality, and availability.
- Significant Improvement in Data Quality:
- The Data FMECA method contributes to a continuous improvement approach for data quality management.
- Implementation of corrective actions based on FMECA analysis results in a substantial enhancement of the quality of exchanged data.
- Positive Impact on Financial Performance and Customer Satisfaction:
- The improved data quality resulting from the methodology has a positive impact on financial performance.
- Enhanced data quality contributes to increase customer satisfaction.
- Conceptual Contributions Visualized in Figure 11:
- The TO BE model with established interoperability points is depicted, showcasing the two data exchanges with the dataInteroperabilityResolved extension.
- Data FMECA evaluation grids for the identified data exchanges are presented, connected to the corresponding exchanged documents.
- The synthesis grid, merging data from individual FMECA grids, provides a comprehensive overview of criticality and areas for improvement.
5. Conclusions
6. Perspectives and Future Works
Author Contributions
Funding
Data Availability Statement
Conflicts of Interest
References
- Geraci, A. IEEE Standard Computer Dictionary: Compilation of IEEE Standard Computer Glossaries; IEEE Press: Piscataway, NJ, USA, 1991. [Google Scholar]
- Konstantas, D.; Bourrières, J.P.; Léonard, M.; Boudjlida, N. (Eds.) Interoperability of Enterprise Software and Applications; Springer: Berlin/Heidelberg, Germany, 2006. [Google Scholar]
- Chen, D.; Daclin, N. Framework for enterprise interoperability. In Interoperability for Enterprise Software and Applications: Proceedings of the Workshops and the Doctorial Symposium of the Second IFAC/IFIP I-ESA International Conference: EI2N, WSI, IS-TSPQ; Wiley Online Library: Hoboken, NJ, USA, 2006; pp. 77–88. [Google Scholar]
- Lemrabet, Y.; Clin, D.; Bigand, M.; Bourey, J.P. From BPMN 2.0 to the Setting-Up on an ESB–Application to an Interoperability Problem. In Collaborative Networks for a Sustainable World. PRO-VE 2010; IFIP Advances in Information and Communication Technology; Springer: Berlin/Heidelberg, Germany, 2010; pp. 722–729. [Google Scholar]
- Pawar, S.N. BPMN Tools-A Comparative Analysis to Improve Interoperability. Master’s Thesis, Purdue University, West Lafayette, IN, USA, 2011. [Google Scholar]
- Rodríguez, A.; Caro, A.; Cappiello, C.; Caballero, I. A BPMN extension for including data quality requirements in business process modeling. In International Workshop on Business Process Modeling Notation; Springer: Berlin/Heidelberg, Germany, 2012; pp. 116–125. [Google Scholar]
- Cappiello, C.; Caro, A.; Rodriguez, A.; Caballero, I. An approach to design business processes addressing data quality issues. In Proceedings of the ECIS 2013—Proceedings of the 21st European Conference on Information Systems, Utrecht, The Netherlands, 6–8 June 2013. [Google Scholar]
- Bourguignon, A.; Malleret, V.; Nørreklit, H. Balanced Scorecard versus French Tableau de Bord: Beyond Dispute, a Cultural and Ideological Perspective; Groupe HEC Cergy-Pontoise: Paris, France, 2001. [Google Scholar]
- Trudel, J.D. The balanced scorecard: Translating strategy into action. Consult. Manag. 1997, 9, 74. [Google Scholar]
- Fernandez, A. Les Nouveaux Tableaux de Bord Pour Piloter L’entreprise; Éditions d’Organisation: 1999. Available online: https://www.persee.fr/doc/reso_0751-7971_1999_num_17_92_2133_t1_0456_0000_3 (accessed on 13 December 2023).
- Neely, A.D.; Adams, C.; Kennerley, M. The Performance Prism: The Scorecard for Measuring and Managing Business Success; Prentice Hall Financial Times: London, UK, 2002. [Google Scholar]
- Cooper, R.; Kaplan, R.S. How cost accounting distorts product costs. Strateg. Financ. 1988, 69, 20. [Google Scholar]
- Markovska, M.; Milani, F.P.; Garcia-Banuelos, L. Modelling Business Processes on a Blockchain Eco-System (BPMN). Master’s Thesis, University of Tartu, Tartu, Estonia, 2019. [Google Scholar]
- Belaunde, M.; Casanave, C.; DSouza, D.; Duddy, K.; El Kaim, W.; Kennedy, A.; Frank, W.; Frankel, D.; Hauch, R.; Hendryx, S.; et al. MDA Guide Version 1.0. 1.; Object Management Group: Needham, MA, USA, 2003. [Google Scholar]
- Scheer, A.W.; Schneider, K. ARIS—Architecture of integrated information systems. In Handbook on Architectures of Information Systems; Springer: Berlin/Heidelberg, Germany, 1998; pp. 605–623. [Google Scholar]
- IDEF–Integrated DEFinition Methods (IDEF). s. d. IDEF–Integrated DEFinition Methods (IDEF). Available online: https://www.idef.com/ (accessed on 2 January 2023).
- Doumeingts, G. Méthode GRAI: Méthode de Conception des Systèmes en Productique. Ph.D. Thesis, Université de Bordeaux I, Talence, France, 1984. [Google Scholar]
- Kosanke, K. CIMOSA—Overview and status. Comput. Ind. 1995, 27, 101–109. [Google Scholar] [CrossRef]
- Oakland, J.S. Total Quality Management and Operational Excellence: Text with Cases; Routledge: London, UK, 2014. [Google Scholar]
- Shankaranarayanan, G.; Wang, R.Y.; Ziad, M. Modeling the Manufacture of an Information Product with IP-MAP. In Proceedings of the 6th International Conference on Information Quality; ACM: New York, NY, USA, 2000. [Google Scholar]
- Lee, Y.W.; Strong, D.M.; Kahn, B.K.; Wang, R.Y. AIMQ: A methodology for information quality assessment. Inf. Manag. 2002, 40, 133–146. [Google Scholar] [CrossRef]
- English, L.P. Improving Data Warehouse and Business Information Quality: Methods for Reducing Costs and Increasing Profits; John Wiley & Sons, Inc.: Hoboken, NJ, USA, 1999. [Google Scholar]
- Pipino, L.L.; Lee, Y.W.; Wang, R.Y. Data quality assessment. Commun. ACM 2002, 45, 211–218. [Google Scholar] [CrossRef]
- Leal, G.d.S.S.; Guédria, W.; Panetto, H. Interoperability assessment: A systematic literature review. Comput. Ind. 2019, 106, 111–132. [Google Scholar] [CrossRef]
- Li, Y.; Zheng, K.; Liu, S. Semantic Interoperability in Healthcare: A Systematic Literature. Available online: https://pubmed.ncbi.nlm.nih.gov/35103230/ (accessed on 2 January 2023).
- Pliatsios, A.; Kotis, K.; Goumopoulos, C. A systematic review on semantic interoperability in the IoE-enabled smart cities. Internet Things 2023, 22, 100754. [Google Scholar] [CrossRef]
- Afnor, N. Terminologie relative à la fiabilité-maintenabilité-disponibilité. NF X 1988, 60, 500. [Google Scholar]
- Brodt, B. Eclipse BPMN2 Modeler|The Eclipse Foundation. 2022. Available online: https://www.eclipse.org/bpmn2-modeler/ (accessed on 13 December 2023).
- ERP Agroalimentaire InteGraal AGRO, Progiciel, Logiciel. s. d. Available online: https://www.a-g-i.fr/integraal-agro.html (accessed on 2 January 2023).
- Neghab, A.P.; Etienne, A.; Kleiner, M.; Roucoules, L. Performance evaluation of collaboration in the design process: Using interoperability measurement. Comput. Ind. 2015, 72, 14–26. [Google Scholar] [CrossRef]
- Rezaei, R.; Chiew, T.K.; Lee, S.P.; Aliee, Z.S. Interoperability evaluation models: A systematic review. Comput. Ind. 2014, 65, 1–23. [Google Scholar] [CrossRef]
- Ducq, Y. Contribution à Une Méthodologie D’analyse de la Cohérence des Systèmes de Production dans le Cadre du Modèle GRAI. Ph.D. Thesis, Bordeaux 1, Talence, France, 1999. [Google Scholar]
- Cardoso, J.; Sheth, A.; Miller, J.; Arnold, J.; Kochut, K. Quality of service for workflows and web service processes. J. Web Semant. 2004, 1, 281–308. [Google Scholar] [CrossRef]











| High Level | Behavioral View | Data Representation | Interoperability Representation | |
|---|---|---|---|---|
| BPMN 2.0 | Yes | Yes | Obvious | No |
| ARIS | Yes | Yes | Not obvious and now BPMN | No |
| IDEF | Yes | No | Intermediate | No |
| GRAI | Yes | No | Intermediate | No |
| CIMOSA | Yes | No | Not obvious | No |
| Conforms to Specification | Meets or Exceeds Consumer Expectation | |
|---|---|---|
| Product quality | Sound information | Useful information |
| Service quality | Dependable information | Usable information |
| Data | Failure mode | Failure causes | Effect | Evaluation | Corrective action | Result | ||||||
| F | N | G | C | F′ | N′ | G′ | C′ | |||||
| Document | Data | Failure mode | Cause | Effect | Evaluation | Corrective action | Result | ||||||
| F | N | G | C | F′ | N′ | G′ | C′ | ||||||
| Data | Failure Mode | Failure Causes | Effect | Evaluation | Corrective Action | Result | ||||||
|---|---|---|---|---|---|---|---|---|---|---|---|---|
| F | N | G | C | F′ | N′ | G′ | C′ | |||||
| Batch number | Not available | Not entered | Financial penalty | 4 | 1 | 4 | 16 | Staff awareness | 2 | 1 | 4 | 8 |
| Weight | False data | Input error | Customer claim | 4 | 1 | 3 | 12 | Monitoring | 1 | 1 | 3 | 3 |
| Document | Data | Failure Mode | Failure Causes | Effect | Evaluation | Corrective Action | Result | ||||||
|---|---|---|---|---|---|---|---|---|---|---|---|---|---|
| F | N | G | C | F′ | N′ | G′ | C′ | ||||||
| PDB 1 | Client Id | False data | Input error | Order reshipped | 3 | 1 | 4 | 12 | Monitoring | 1 | 1 | 4 | 4 |
| PDB 2 | Batch number | Not available | Not entered | Financial penalty | 4 | 1 | 4 | 16 | Staff awareness | 2 | 1 | 4 | 8 |
| PDB 2 | Weight | False data | Input error | Client’s claim | 4 | 1 | 3 | 12 | Monitoring | 1 | 1 | 3 | 3 |
Disclaimer/Publisher’s Note: The statements, opinions and data contained in all publications are solely those of the individual author(s) and contributor(s) and not of MDPI and/or the editor(s). MDPI and/or the editor(s) disclaim responsibility for any injury to people or property resulting from any ideas, methods, instructions or products referred to in the content. |
© 2024 by the authors. Licensee MDPI, Basel, Switzerland. This article is an open access article distributed under the terms and conditions of the Creative Commons Attribution (CC BY) license (https://creativecommons.org/licenses/by/4.0/).
Share and Cite
Heguy, X.; Tazi, S.; Zacharewicz, G.; Ducq, Y. Tracking Interoperability and Data Quality: A Methodology with BPMN 2.0 Extensions and Performance Evaluation. Modelling 2024, 5, 797-818. https://doi.org/10.3390/modelling5030042
Heguy X, Tazi S, Zacharewicz G, Ducq Y. Tracking Interoperability and Data Quality: A Methodology with BPMN 2.0 Extensions and Performance Evaluation. Modelling. 2024; 5(3):797-818. https://doi.org/10.3390/modelling5030042
Chicago/Turabian StyleHeguy, Xabier, Said Tazi, Gregory Zacharewicz, and Yves Ducq. 2024. "Tracking Interoperability and Data Quality: A Methodology with BPMN 2.0 Extensions and Performance Evaluation" Modelling 5, no. 3: 797-818. https://doi.org/10.3390/modelling5030042
APA StyleHeguy, X., Tazi, S., Zacharewicz, G., & Ducq, Y. (2024). Tracking Interoperability and Data Quality: A Methodology with BPMN 2.0 Extensions and Performance Evaluation. Modelling, 5(3), 797-818. https://doi.org/10.3390/modelling5030042

