Influence of Temperature on Electron Transport, Current-Voltage Characteristics, and Capacitive Properties of MIM Nanostructures with Amorphous Niobium Pentoxide
Abstract
1. Introduction
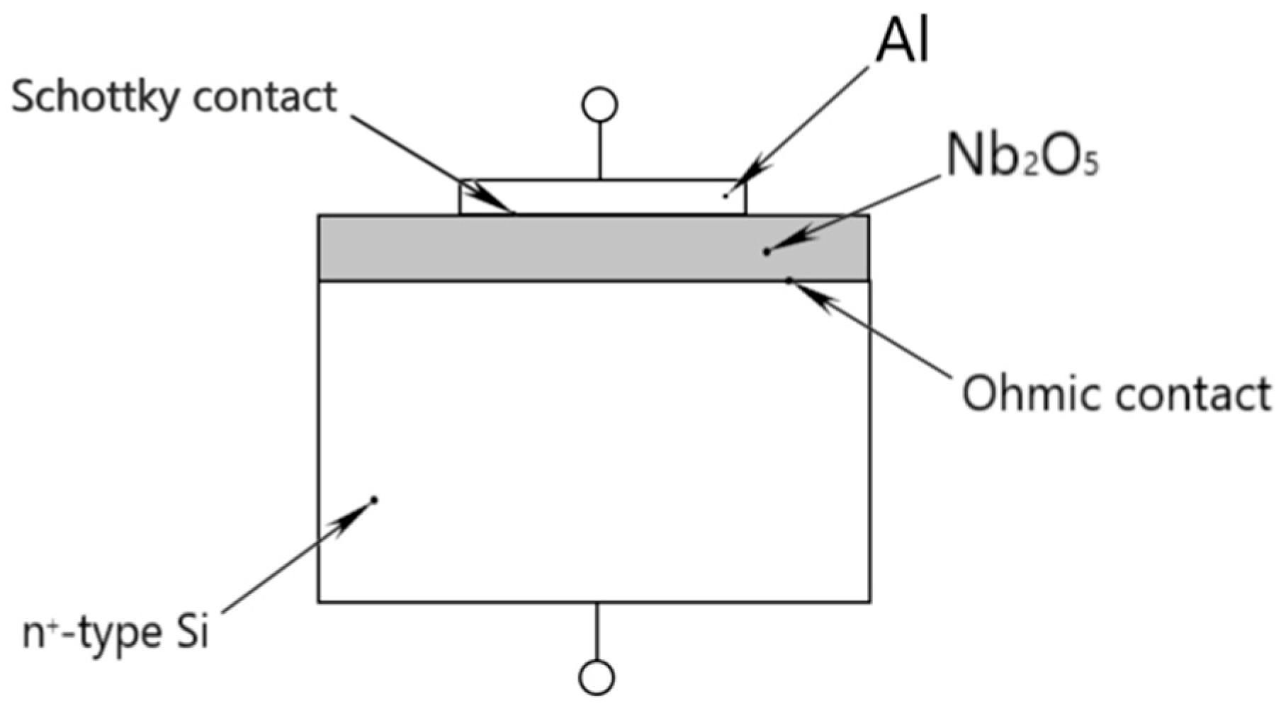
2. Materials and Methods
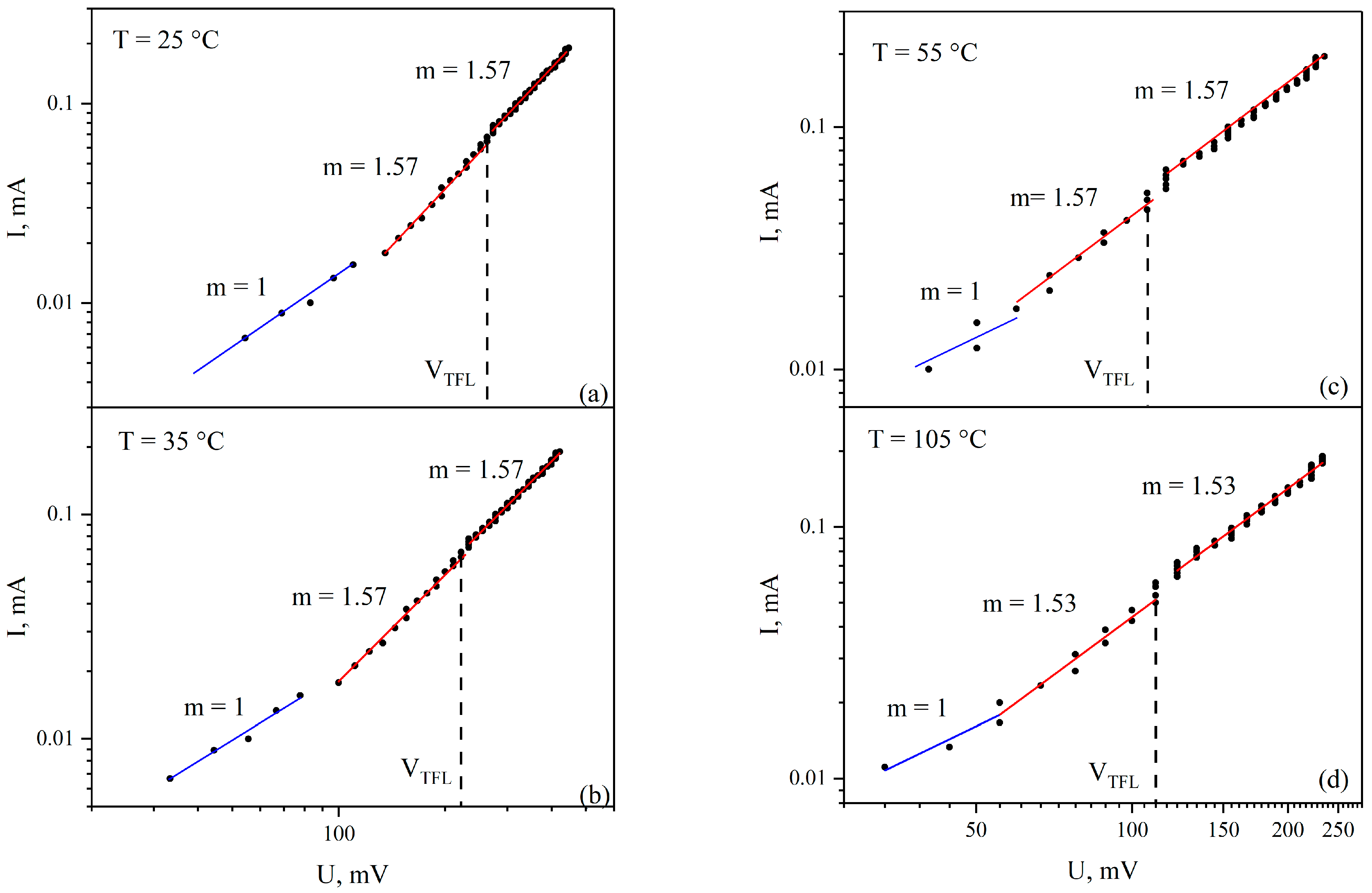
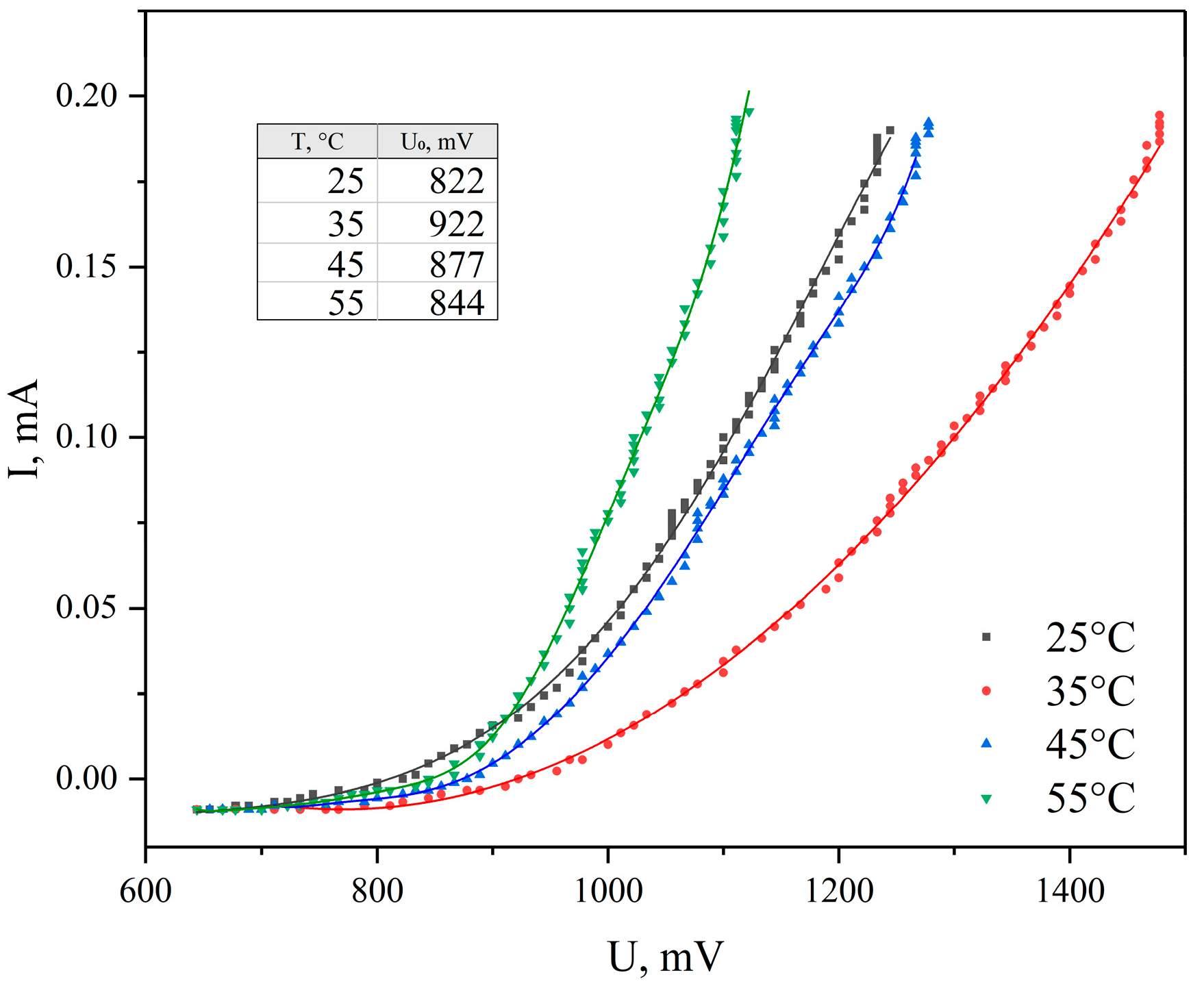
3. Results
4. Conclusions
Author Contributions
Funding
Data Availability Statement
Conflicts of Interest
Abbreviations
| SCLC | Space-Charge Limited Conduction |
| TFL | Trap-filled limit |
| MIM | Metal–Insulator–metal |
| I–V | Current–voltage characteristics |
References
- Ryabko, A.; Ovezov, M.; Tuchkovsky, A.K.; Korepanov, O.; Maximov, A.; Komolov, A.; Lazneva, E.; Muratova, E.; Vrublevsky, I.; Aleshin, A. Synthesis, Structure, and Optoelectronic Properties of a Hybrid Organic–Inorganic Perovskite with a Monoethanolammonium Cation MAxMEA1−xPbI3. Nanomaterials 2025, 15, 494. [Google Scholar] [CrossRef] [PubMed]
- Kim, J.Y.; Lee, J.-W.; Jung, H.S.; Shin, H.; Park, N.G. High-Efficiency Perovskite Solar Cells. Chem. Rev. 2020, 120, 7867–7918. [Google Scholar] [CrossRef] [PubMed]
- Moshnikov, V.A.; Muratova, E.N.; Vrublevsky, I.A.; Maximov, A.I.; Bessonov, V.B.; Parfenovich, S.E.; Tuchkovsky, A.K.; Kozodaev, D.A. Charge Carrier Transport and Localized States in Graphite-like Amorphous Carbon Films at Room Temperatures. Materials 2025, 18, 3977. [Google Scholar] [CrossRef] [PubMed]
- Nenashev, G.V.; Aleshin, A.N.; Ryabko, A.A.; Shcherbakov, I.P.; Moshnikov, V.A.; Muratova, E.N.; Kondratev, V.M.; Vrublevsky, I.A. Effect of barium doping on the behavior of conductivity and impedance of organic-inorganic perovskite films. Solid State Commun. 2024, 388, 115554. [Google Scholar] [CrossRef]
- Rong, Y.; Hu, Y.; Mei, A.; Tan, H.; Saidaminov, M.I.; Seok, S.I.; McGehee, M.D.; Sargent, E.H.; Han, H. Challenges for commercializing perovskite solar cells. Science 2018, 361, eaat8235. [Google Scholar] [CrossRef]
- Correa-Baena, J.-P.; Saliba, M.; Buonassisi, T.; Grätzel, M.; Abate, A.; Tress, W.; Hagfeldt, A. Promises and challenges of perovskite solar cells. Science 2017, 358, 739–744. [Google Scholar] [CrossRef]
- Guerrero, A.; Bisquert, J.; Garcia-Belmonte, G. Interfacial Degradation of Perovskite Solar Cells: The Role of Charge Selective Layers. ACS Energy Lett. 2021, 6, 1006–1014. [Google Scholar] [CrossRef]
- Nico, C.; Monteiro, T.; Graça, M.P.F. Niobium oxides and niobates physical properties: Review and prospects. Prog. Mater. Sci. 2016, 80, 1–37. [Google Scholar] [CrossRef]
- Gagarina, A.Y.; Bezverkhniy, V.P.; Muratova, E.N.; Moshnikov, V.A.; Vrublevsky, I.A.; Tuchkovsky, A.K.; Lushpa, N.V. Preparation and properties of nanoscale titanium dioxide film for transport layer of n-type photovoltaic cell. Semiconductors 2024, 58, 545–593. [Google Scholar]
- Yang, G.; Tao, H.; Qin, P.; Ke, W.; Fang, G. Recent progress in electron transport layers for efficient perovskite solar cells. J. Mater. Chem. A 2016, 4, 3970–3990. [Google Scholar] [CrossRef]
- Kogo, A.; Numata, Y.; Ikegami, M.; Miyasaka, T. Nb2O5 blocking layer for high open-circuit voltage perovskite solar cells. Chem. Lett. 2015, 44, 829–830. [Google Scholar] [CrossRef]
- Rani, R.A.; Zoolfakar, A.S.; O’Mullane, A.P.; Austin, M.W.; Kalantar-Zadeh, K. Thin films and nanostructures of niobium pentoxide: Fundamental properties, synthesis methods and applications. J. Mater. Chem. A 2014, 2, 15683–15703. [Google Scholar] [CrossRef]
- Kelly, P.J.; Arnell, R.D. Magnetron sputtering: A review of recent developments and applications. Vacuum 2000, 56, 159–172. [Google Scholar] [CrossRef]
- Al-Baradi, A.M.; El-Nahass, M.M.; Hassanien, A.M.; Atta, A.A.; Alqahtani, M.S.; Aldawsari, A.O. Influence of RF sputtering power on structural and optical properties of Nb2O5 thin films. Optik 2018, 168, 853–863. [Google Scholar] [CrossRef]
- Foroughi-Abari, A.; Cadien, K.C. Growth, structure and properties of sputtered niobium oxide thin films. Thin Solid Film 2011, 519, 3068–3073. [Google Scholar] [CrossRef]
- Shen, D.; Zhang, W.; Li, Y.; Abate, A.; Wei, M. Facile Deposition of Nb2O5 Thin Film as an Electron-Transporting Layer for Highly Efficient Perovskite Solar Cells. ACS Appl. Nano Mater. 2018, 1, 4101–4109. [Google Scholar] [CrossRef]
- Chen, K.-N.; Hsu, C.-M.; Liu, J.; Liou, Y.-C.; Yang, C.-F. Investigation of Antireflection Nb2O5 Thin Films by the Sputtering Method under Different Deposition Parameters. Micromachines 2016, 7, 151. [Google Scholar] [CrossRef]
- Fernandes, S.L.; Albano, L.G.; Affonço, L.J.; da Silva, J.H.; Longo, E.; Graeff, C.F. Exploring the Properties of Niobium Oxide Films for Electron Transport Layers in Perovskite Solar Cells. Front. Chem. 2019, 7, 50. [Google Scholar] [CrossRef]
- Hossain, N.; Güneş, O.; Zhang, C.; Koughia, C.; Li, Y.; Wen, S.; Wong, R.; Kasap, S.O.; Yang, Q. Structural and physical properties of NbO2 and Nb2O5 thin films prepared by magnetron sputtering. J. Mater. Sci. Mater. Electron. 2019, 30, 9822–9835. [Google Scholar] [CrossRef]
- Moshnikov, V.A.; Muratova, E.N.; Vrublevsky, I.A.; Maximov, A.I.; Ryabko, A.A.; Gagarina, A.Y.; Kozodaev, D.A. Electrical properties and charge transfer mechanisms innanoscale anodic tio2 films at low applied voltages. Inorganics 2026, 14, 29. [Google Scholar] [CrossRef]
- Rhoderick, E.H. The physics of Schottky barriers. J. Phys. D 1970, 3, 1153–1167. [Google Scholar] [CrossRef]
- Werner, J.H.; Güttler, H.H. Barrier inhomogeneities at Schottky contacts. J. Appl. Phys. 1991, 69, 1522–1533. [Google Scholar] [CrossRef]
- Ou, J.Z.; Rani, R.A.; Ham, M.H.; Field, M.R.; Zhang, Y.; Zheng, H.; Reece, P.; Zhuiykov, S.; Sriram, S.; Bhaskaran, M.; et al. Elevated Temperature Anodized Nb2O5: A Photoanode Material with Exceptionally Large Photoconversion Efficiencies. ACS Nano 2012, 6, 4045–4053. [Google Scholar] [CrossRef]
- Ling, X.; Yuan, J.; Liu, D.; Wang, Y.; Zhang, Y.; Chen, S.; Wu, H.; Jin, F.; Wu, F.; Shi, G.; et al. Room-Temperature Processed Nb2O5 as the Electron Transporting Layer for Efficient Planar Perovskite Solar Cells. ACS Appl. Mater. Interfaces 2017, 9, 23181–23188. [Google Scholar] [CrossRef]
- Zhang, X.; Cai, W.; Zhang, J.; Brownless, J.; Wilson, J.; Zhang, Y.; Song, A. Solution-Processed TiO2-Based Schottky Diodes With a Large Barrier Height. IEEE Electron Device Lett. 2019, 40, 1378–1381. [Google Scholar] [CrossRef]
- Sun, Z.; Fang, Y. Electrical tuning effect for Schottky barrier and hot-electron harvest in a plasmonic Au/TiO2 nanostructure. Sci. Rep. 2021, 11, 338. [Google Scholar] [CrossRef]
- Khairir, N.S.; Abdul Rani, R.; Ab Kadir, R.; Soin, N.; Abdullah, W.F.; Mamat, M.H.; Rusop, M.; Zoolfakar, A.S. Electrical Behavior of a Nanoporous Nb2O5/Pt Schottky Contact at Elevated Temperatures. J. Electron. Mater. 2018, 47, 7462–7469. [Google Scholar] [CrossRef]
- Mardare, D.M.; Rusu, G. Electrical conduction mechanism in polycrystalline titanium oxide thin films. J. Non-Cryst. Solids 2010, 356, 1395–1399. [Google Scholar] [CrossRef]










| Electrode | Semiconductor | Schottky Barrier Height (eV) | Synthesis Method | Source |
|---|---|---|---|---|
| Ag | TiO2 | 0.85 | Solution-based deposition | [25] |
| Pt | 1.05 | |||
| 1.14–1.23 | ||||
| Si | 0.73 | |||
| Au | 0.8 | DC Reactive Sputtering. | [26] | |
| Pt | Nb2O5 | 0.91–1.05 | Sol–gel process | [27] |
| Al | 0.45 | Magnetron Sputtering | This work |
Disclaimer/Publisher’s Note: The statements, opinions and data contained in all publications are solely those of the individual author(s) and contributor(s) and not of MDPI and/or the editor(s). MDPI and/or the editor(s) disclaim responsibility for any injury to people or property resulting from any ideas, methods, instructions or products referred to in the content. |
© 2026 by the authors. Licensee MDPI, Basel, Switzerland. This article is an open access article distributed under the terms and conditions of the Creative Commons Attribution (CC BY) license.
Share and Cite
Moshnikov, V.A.; Muratova, E.N.; Vrublevsky, I.A.; Bessonov, V.B.; Parfenovich, S.E.; Maximov, A.I.; Gagarina, A.Y.; Kavalenka, D.A.; Kozodaev, D.A. Influence of Temperature on Electron Transport, Current-Voltage Characteristics, and Capacitive Properties of MIM Nanostructures with Amorphous Niobium Pentoxide. Appl. Nano 2026, 7, 8. https://doi.org/10.3390/applnano7010008
Moshnikov VA, Muratova EN, Vrublevsky IA, Bessonov VB, Parfenovich SE, Maximov AI, Gagarina AY, Kavalenka DA, Kozodaev DA. Influence of Temperature on Electron Transport, Current-Voltage Characteristics, and Capacitive Properties of MIM Nanostructures with Amorphous Niobium Pentoxide. Applied Nano. 2026; 7(1):8. https://doi.org/10.3390/applnano7010008
Chicago/Turabian StyleMoshnikov, Vyacheslav Alekseevich, Ekaterina Nikolaevna Muratova, Igor Alfonsovich Vrublevsky, Viktor Borisovich Bessonov, Stepan Evgenievich Parfenovich, Alexandr Ivanovich Maximov, Alena Yuryevna Gagarina, Danila Andreevich Kavalenka, and Dmitry Alexandrovich Kozodaev. 2026. "Influence of Temperature on Electron Transport, Current-Voltage Characteristics, and Capacitive Properties of MIM Nanostructures with Amorphous Niobium Pentoxide" Applied Nano 7, no. 1: 8. https://doi.org/10.3390/applnano7010008
APA StyleMoshnikov, V. A., Muratova, E. N., Vrublevsky, I. A., Bessonov, V. B., Parfenovich, S. E., Maximov, A. I., Gagarina, A. Y., Kavalenka, D. A., & Kozodaev, D. A. (2026). Influence of Temperature on Electron Transport, Current-Voltage Characteristics, and Capacitive Properties of MIM Nanostructures with Amorphous Niobium Pentoxide. Applied Nano, 7(1), 8. https://doi.org/10.3390/applnano7010008

