A Multi-Spectral Thermal Gas Detection Imager Using Uncooled Infrared Camera
Abstract
1. Introduction
2. Multi-Spectral Gas Detection Principle
3. A Multi-Spectral Uncooled Camera for Gas Imaging and Radiation Correction Method
3.1. Multi-Spectral Uncooled Camera Prototype Instrument
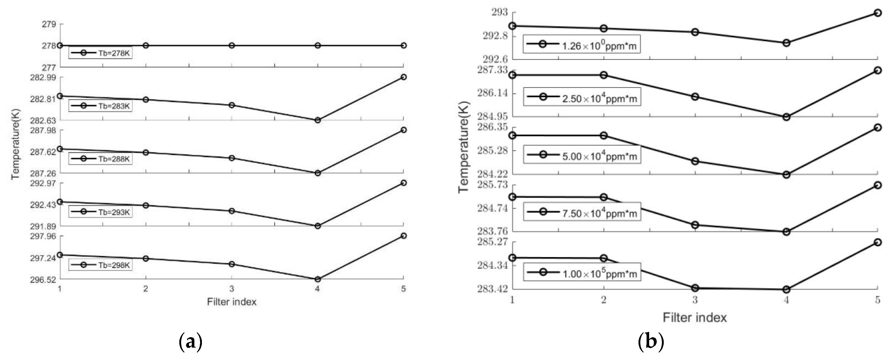
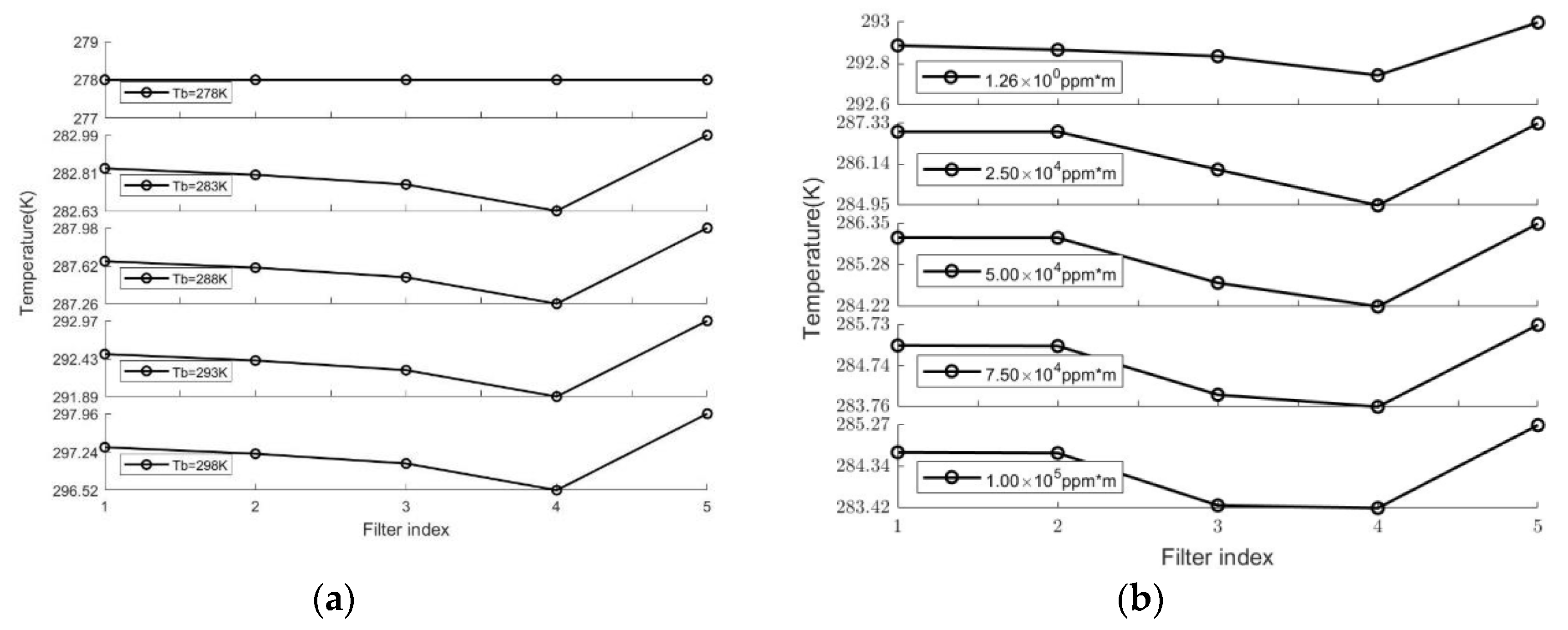
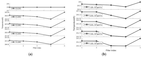
3.2. Filter Radiation Correction and Calibration
4. Gas Classification and SF6 Experiment
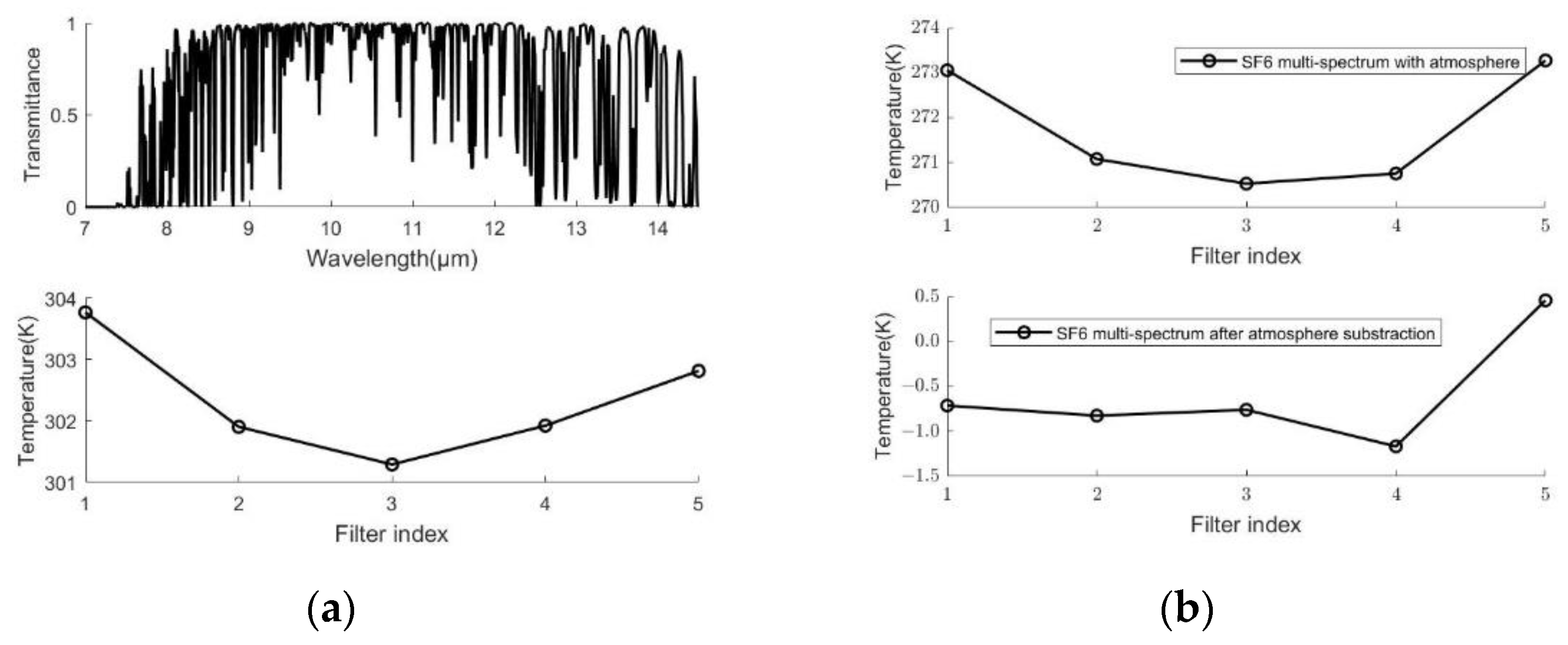
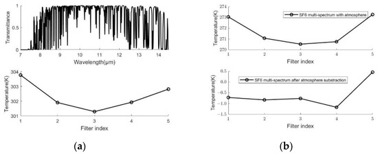
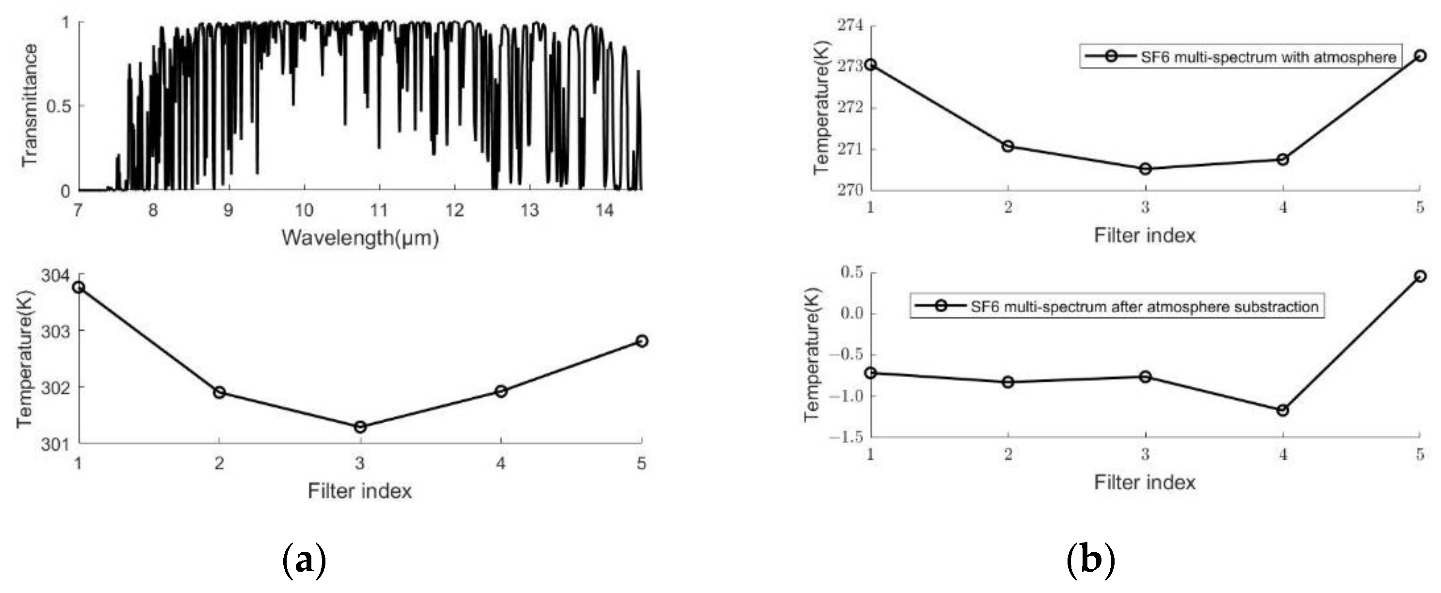
4.1. Multi-Spectra of SF6 and Classification Method
4.2. Atmosphere Interference
5. Conclusions
Author Contributions
Funding
Institutional Review Board Statement
Informed Consent Statement
Data Availability Statement
Conflicts of Interest
References
- Hagen, N. Survey of autonomous gas leak detection and quantification with snapshot infrared spectral imaging. J. Opt. 2020, 22, 103001. [Google Scholar] [CrossRef]
- Olbrycht, R.; Kaluza, M. Optical Gas Imaging With Uncooled Thermal Imaging Camera-Impact of Warm Filters and Elevated Background Temperature. IEEE Trans. Ind. Electron. 2020, 67, 9824–9832. [Google Scholar] [CrossRef]
- Hong, S.-Z.; Hu, Y.; Yu, H.-W. A VOCs Gas Detection Algorithm Based on Infrared Thermal Imaging. In Proceedings of the 31st Chinese Control and Decision Conference (CCDC), Nanchang, China, 3–5 June 2019. [Google Scholar]
- Eldon Puckrin, C.S.T.; Gagnon, M.; Bastedo, J. Vincent Farley and Martin Chamberland. In SPIE Defense, Security, and Sensing, Proceedings of the Airborne Infrared Hyperspectral Imager for Intelligence, Surveillance and Reconnaissance Applications, Baltimore, MD, USA, 23–27 April 2012; SPIE: Bellingham, WA, USA, 2012; Volume 8360, p. 836004. [Google Scholar]
- Thériault, J.-M.; Puckrin, E.; Lavoie, H.; Bouffard, F. Passive remote monitoring of multi-gas mixtures by FTIR radiometry. In Optics East, Proceedings of the Chemical and Biological Standoff Detection III, Boston, MA, USA, 23–26 October 2005; SPIE: Bellingham, WA, USA, 2005; Volume 5995, p. 59950F. [Google Scholar]
- Sabbah, S.; Harig, R.; Rusch, P.; Eichmann, J.; Keens, A.; Gerhard, J.H. Remote sensing of gases by hyperspectral imaging: System performance and measurements. Opt. Eng. 2012, 51, 111717. [Google Scholar] [CrossRef]
- Harig, R.; Keens, A.; Rusch, P.; Gerhard, J.; Sabbah, S. Hyperspectral Sensor for Analysis of Gases in the Atmosphere (HYGAS). In SPIE Defense, Security, and Sensing, Proceedings of the Algorithms and Technologies for Multispectral, Hyperspectral, and Ultraspectral Imagery XVI, Orlando, FL, USA, 5–9 April 2010; SPIE: Bellingham, WA, USA, 2010; Volume 7695, p. 76950B. [Google Scholar]
- Jean-Marc, T.; Puckrin, E. Remote sensing of chemical vapours by differential FTIR radiometry. Int. J. Remote Sens. 2005, 26, 981–995. [Google Scholar]
- Naranjo, E.; Baliga, S.; Bernascolle, P. IR Gas Imaging in an Industrial Setting. In Thermosense Xxxii; Dinwiddie, R.B., Safai, M., Eds.; SPIE-Int Soc Optical Engineering: Bellingham, WA, USA, 2010. [Google Scholar]
- Bernascolle, P.; Pelous, G.; Grenier, L. Remote detection of natural gas clouds in open field by IR imagery. In AeroSense, Proceedings of the Conference on Thermosense XXI, Orlando, FL, USA, 5–9 April 1999; SPIE: Bellingham, WA, USA, 1999. [Google Scholar]
- Gagnon, M.A.; Jahjah, K.A.; Marcotte, F.; Tremblay, P.; Farley, V.; Guyot, É.; Chamberland, M. Time-resolved Thermal Infrared Multispectral Imaging of Gases and Minerals. In Proceedings of the Conference on Multispectral, Hyperspectral, and Ultraspectral Remote Sensing Technology, Techniques and Applications V, Beijing, China, 14–16 October 2014. [Google Scholar]
- Farley, V.; Vallières, A.; Chamberland, M.; Villemaire, A.; Legault, J.F. Performance of the FIRST, a Longwave Infrared Hyperspectral Imaging Sensor. In Optics/Photonics in Security and Defence, Proceedings of the Optically Based Biological and Chemical Detection for Defence III, Stockholm, Sweden, 11–14 September 2006; SPIE: Bellingham, WA, USA, 2006; Volume 6398. [Google Scholar]
- Gao, L.; Kester, R.T.; Tkaczyk, T.S. Compact Image Slicing Spectrometer (ISS) for hyperspectral fluorescence microscopy. Opt. Express 2009, 17, 12293–12308. [Google Scholar] [CrossRef] [PubMed]
- Hagen, N.; Kester, R.T.; Walker, C. Real-time quantitative hydrocarbon gas imaging with the gas cloud imager (GCI). In SPIE Defense, Security, and Sensing, Proceedings of the Conference on Chemical, Biological, Radiological, Nuclear, and Explosives (CBRNE) Sensing XIII, Baltimore, MD, USA, 23–27 April 2012; SPIE: Bellingham, WA, USA, 2012. [Google Scholar]
- Nugent, P.W.; Shaw, J.A. Calibration of uncooled LWIR microbolometer imagers to enable long-term field deployment. In SPIE Defense + Security, Proceedings of the Conference on Infrared Imaging Systems—Design, Analysis, Modeling, and Testing XXV, Baltimore, MD, USA, 5–9 May 2014; SPIE: Bellingham, WA, USA, 2014. [Google Scholar]
- Beil, A.; Daum, R.; Harig, R.; Matz, G. Remote sensing of atmospheric pollution by passive FTIR spectrometry. In Remote Sensing, Proceedings of the Spectroscopic Atmospheric Environmental Monitoring Techniques, Barcelona, Spain, 21–25 September 1998; SPIE: Bellingham, WA, USA, 1998; Volume 3493, pp. 32–44. [Google Scholar]
- Chang, C.C.; Lin, C.J. LIBSVM: A Library for Support Vector Machines. ACM Trans. Intell. Syst. Technol. 2011, 2, 27. [Google Scholar] [CrossRef]
- Chang, C.C.; Lin, C.J. Training nu-support vector regression: Theory and algorithms. Neural Comput. 2002, 14, 1959–1977. [Google Scholar] [CrossRef] [PubMed]








| Detector Type | Vanadium Oxide Uncooled Infrared Focal Plane Detector |
|---|---|
| Spatial resolution | 640 × 512 pixels |
| Field of view (horizontal × vertical) | 89° × 75° |
| Detector frame rate | 30Hz |
| Response wave band | 7–14 μm |
| Temperature measurement range | −20 °C–150 °C |
| Temperature accuracy | ±2 °C or ±2% of the readout (whichever is greater) @ ambient temperature −20 °C to 60 °C |
Publisher’s Note: MDPI stays neutral with regard to jurisdictional claims in published maps and institutional affiliations. |
© 2022 by the authors. Licensee MDPI, Basel, Switzerland. This article is an open access article distributed under the terms and conditions of the Creative Commons Attribution (CC BY) license (https://creativecommons.org/licenses/by/4.0/).
Share and Cite
Cui, F.-X.; Zhao, Y.; Wang, A.-J.; Ma, F.-X.; Wu, J.; Li, Y.-Y.; Li, D.-C.; Dong, W.-C. A Multi-Spectral Thermal Gas Detection Imager Using Uncooled Infrared Camera. Optics 2022, 3, 473-482. https://doi.org/10.3390/opt3040040
Cui F-X, Zhao Y, Wang A-J, Ma F-X, Wu J, Li Y-Y, Li D-C, Dong W-C. A Multi-Spectral Thermal Gas Detection Imager Using Uncooled Infrared Camera. Optics. 2022; 3(4):473-482. https://doi.org/10.3390/opt3040040
Chicago/Turabian StyleCui, Fang-Xiao, Yue Zhao, An-Jing Wang, Feng-Xiang Ma, Jun Wu, Yang-Yu Li, Da-Cheng Li, and Wang-Chao Dong. 2022. "A Multi-Spectral Thermal Gas Detection Imager Using Uncooled Infrared Camera" Optics 3, no. 4: 473-482. https://doi.org/10.3390/opt3040040
APA StyleCui, F.-X., Zhao, Y., Wang, A.-J., Ma, F.-X., Wu, J., Li, Y.-Y., Li, D.-C., & Dong, W.-C. (2022). A Multi-Spectral Thermal Gas Detection Imager Using Uncooled Infrared Camera. Optics, 3(4), 473-482. https://doi.org/10.3390/opt3040040

