Photonic and Optomechanical Thermometry
Abstract
:1. Introduction
2. Photonic Sensors
2.1. Concept and Instrumentation of Ring Resonator Based Photonic Thermometry
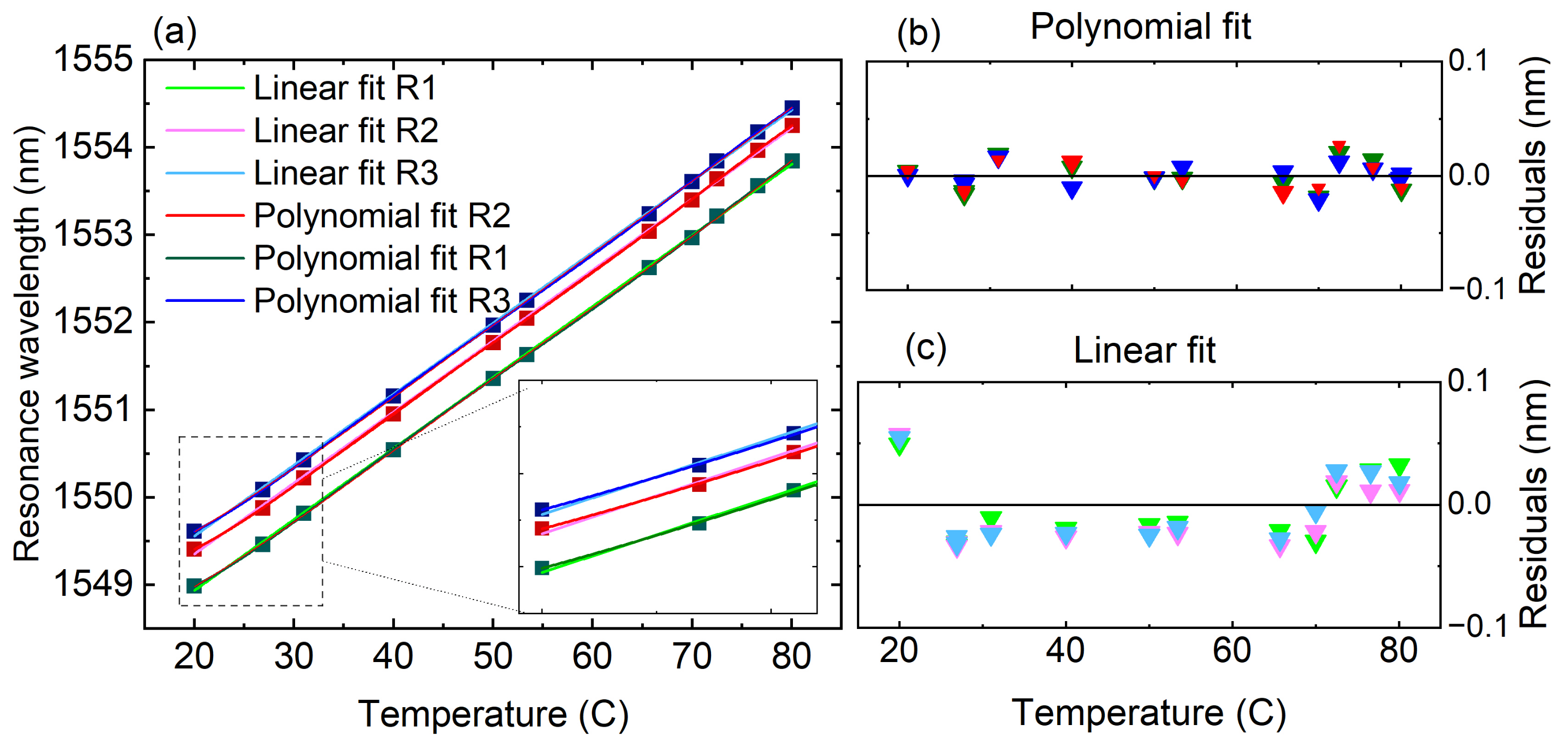
2.2. Characterization of the Optical and Thermal Response of the Photonic Thermometers
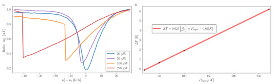
2.3. Effect of Optical Absorption on Thermal Equilibrium
3. Optical Noise-Thermometry with Optomechanical Sensors
3.1. Measurement Principle and Measurement Equations
3.2. Fabrication and Characterization of the Resonators
3.2.1. Fabrication of Suspended 2D Square Membranes
3.2.2. Fabrication and Characterization of 1D Optomechanical Crystals
3.3. Thermometry Measurements
3.3.1. Thermometry with Suspended Square Membranes
3.3.2. Thermometry with Optomechanical Crystals
3.4. Investigation of Systematic Errors
3.4.1. Effect of Optical Absorption on Suspended Membranes
3.4.2. Effect of Optical Absorption in Optomechanical Crystals
4. Conclusions
Author Contributions
Funding
Institutional Review Board Statement
Informed Consent Statement
Data Availability Statement
Acknowledgments
Conflicts of Interest
References
- Fellmuth, B.; Fischer, J.; Machin, G.; Picard, S.; Steur, P.P.M.; Tamura, O.; White, D.R.; Yoon, H. The kelvin redefinition and its mise en pratique. Phil. Trans. R. Soc. A 2016, 374. [Google Scholar] [CrossRef] [PubMed]
- Klimov, N.; Purdy, T.; Ahmed, Z. Towards replacing resistance thermometry with photonic thermometry. Sens. Actuators A Phys. 2018, 269, 308–312. [Google Scholar] [CrossRef] [PubMed]
- Purdy, T.P.; Grutter, K.E.; Srinivasan, K.; Taylor, J.M. Quantum correlations from a room-temperature optomechanical cavity. Science 2017, 356, 1265–1268. [Google Scholar] [CrossRef] [PubMed] [Green Version]
- Eisermann, R.; Krenek, S.; Winzer, G.; Rudtsch, S. Photonic contact thermometry using silicon ring resonators and tuneable laser-based spectroscopy. Tech. Mess. 2021, 88, 640–654. [Google Scholar] [CrossRef]
- Qu, J.F.; Benz, S.P.; Rogalla, H.; Tew, W.L.; White, D.R.; Zhou, K.L. Johnson noise thermometry. Meas. Sci. Technol. 2019, 30, 112001. [Google Scholar] [CrossRef]
- Bogaerts, W.; De Heyn, P.; Van Vaerenbergh, T.; De Vos, K.; Kumar Selvaraja, S.; Claes, T.; Dumon, P.; Bienstman, P.; Van Thourhout, D.; Baets, R. Silicon microring resonators. Laser Photonics Rev. 2012, 6, 47–73. [Google Scholar] [CrossRef]
- Zimmermann, L.; Knoll, D.; Kroh, M.; Lischke, S.; Petousi, D.; Winzer, G.; Yamamoto, Y. BiCMOS Silicon Photonics Platform. In Proceedings of the Optical Fiber Communication Conference. Optical Society of America, Los Angeles, CA, USA, 22–26 March 2015; p. Th4E.5. [Google Scholar] [CrossRef]
- Rabus, D.G. Ring resonators: Theory and modeling. In Integrated Ring Resonators: The Compendium; Springer: Cham, Switzerland, 2007; pp. 3–40. [Google Scholar]
- Weituschat, L.M.; Dickmann, W.; Guimbao, J.; Ramos, D.; Kroker, S.; Postigo, P.A. Photonic and thermal modelling of microrings in silicon, diamond and gan for temperature sensing. Nanomaterials 2020, 10, 934. [Google Scholar] [CrossRef]
- Dickmann, W.; Weituschat, L.M.; Eisermann, R.; Krenek, S.; Postigo, P.A.; Kroker, S. Heat dynamics in optical ring resonators. Model. Asp. Opt. Metrol. VIII 2021, 11783, 1178309. [Google Scholar]
- Gilbert, S.L.; Swann, W.C.; Wang, C.M. Hydrogen cyanide H13C14N absorption reference for 1530 nm to 1565 nm wavelength calibration–SRM 2519a. NIST Spec. Publ. 2005, 260, 137. [Google Scholar]
- Xu, H.; Hafezi, M.; Fan, J.; Taylor, J.M.; Strouse, G.F.; Ahmed, Z. Ultra-sensitive chip-based photonic temperature sensor using ring resonator structures. Optics Express 2014, 22, 3098–3104. [Google Scholar] [CrossRef]
- Streetman, B.G.; Banerjee, S. Solid State Electronic Devices, 7th ed.; Pearson Education: Harlow, UK, 2015; p. 580. [Google Scholar]
- Kittel, C. Introduction to Solid State Physics, 8th ed.; Wiley: Hoboken, NJ, USA, 2004; p. 190. [Google Scholar] [CrossRef]
- Almeida, V.R.; Barrios, C.A.; Panepucci, R.R.; Lipson, M. All-optical control of light on a silicon chip. Nature 2004, 431, 1081–1084. [Google Scholar] [CrossRef] [PubMed]
- Johnson, T.J.; Borselli, M.; Painter, O. Self-induced optical modulation of the transmission through a high-Q silicon microdisk resonator. Opt. Express 2006, 14, 817–831. [Google Scholar] [CrossRef] [PubMed]
- Hauer, B.; Doolin, C.; Beach, K.; Davis, J. A general procedure for thermomechanical calibration of nano/micro-mechanical resonators. Ann. Phys. 2013, 339, 181–207. [Google Scholar] [CrossRef] [Green Version]
- Aspelmeyer, M.; Kippenberg, T.J.; Marquardt, F. Cavity optomechanics. Rev. Mod. Phys. 2014, 86, 1391–1452. [Google Scholar] [CrossRef]
- Steeneken, P.G.; Le Phan, K.; Goossens, M.J.; Koops, G.E.J.; Brom, G.J.A.M.; van der Avoort, C.; van Beek, J.T.M. Piezoresistive heat engine and refrigerator. Nat. Phys. 2011, 7, 354–359. [Google Scholar] [CrossRef]
- Verbridge, S.S.; Parpia, J.M.; Reichenbach, R.B.; Bellan, L.M.; Craighead, H.G. High quality factor resonance at room temperature with nanostrings under high tensile stress. J. Appl. Phys. 2006, 99, 124304. [Google Scholar] [CrossRef] [Green Version]
- Norte, R.A.; Moura, J.P.; Gröblacher, S. Mechanical Resonators for Quantum Optomechanics Experiments at Room Temperature. Phys. Rev. Lett. 2016, 116, 147202. [Google Scholar] [CrossRef]
- Tsaturyan, Y.; Barg, A.; Polzik, E.S.; Schliesser, A. Ultracoherent nanomechanical resonators via soft clamping and dissipation dilution. Nat. Nanotechnol. 2017, 12, 776–783. [Google Scholar] [CrossRef]
- Ghadimi, A.H.; Fedorov, S.A.; Engelsen, N.J.; Bereyhi, M.J.; Schilling, R.; Wilson, D.J.; Kippenberg, T.J. Elastic strain engineering for ultralow mechanical dissipation. Science 2018, 360, 764–768. [Google Scholar] [CrossRef] [Green Version]
- Shin, D.; Cupertino, A.; de Jong, M.H.J.; Steeneken, P.G.; Bessa, M.A.; Norte, R.A. Spiderweb Nanomechanical Resonators via Bayesian Optimization: Inspired by Nature and Guided by Machine Learning. Adv. Mater. 2022, 34, 2106248. [Google Scholar] [CrossRef]
- Schneider, K.; Baumgartner, Y.; Hönl, S.; Welter, P.; Hahn, H.; Wilson, D.J.; Czornomaz, L.; Seidler, P. Optomechanics with one-dimensional gallium phosphide photonic crystal cavities. Optica 2019, 6, 577–584. [Google Scholar] [CrossRef]
- Davidovikj, D.; Slim, J.J.; Cartamil-Bueno, S.J.; van der Zant, H.S.J.; Steeneken, P.G.; Venstra, W.J. Visualizing the Motion of Graphene Nanodrums. Nano Lett. 2016, 16, 2768–2773. [Google Scholar] [CrossRef] [PubMed]
- Sadeghi, P.; Tanzer, M.; Luhmann, N.; Piller, M.; Chien, M.H.; Schmid, S. Thermal Transport and Frequency Response of Localized Modes on Low-Stress Nanomechanical Silicon Nitride Drums Featuring a Phononic-Band-Gap Structure. Phys. Rev. Appl. 2020, 14, 024068. [Google Scholar] [CrossRef]
- Chien, M.H.; Brameshuber, M.; Rossboth, B.K.; Schütz, G.J.; Schmid, S. Single-molecule optical absorption imaging by nanomechanical photothermal sensing. Proc. Natl. Acad. Sci. USA 2018, 115, 11150–11155. [Google Scholar] [CrossRef] [PubMed] [Green Version]












| R1 | R2 | R3 | |
|---|---|---|---|
| Radius/µm | 35.048 | 35.149 | 35.037 |
| /nm (@ 1550 nm) | 2.836 | 2.827 | 2.836 |
| Q-factor / | 1.17 ± 0.08 | 1.50 ± 0.08 | 1.24 ± 0.07 |
| /pm | 13.3 ± 0.9 | 10.4 ± 0.6 | 12.5 ± 0.8 |
| Extinction ratio/dB | 6 …12 | 8 …21 | 8 …20 |
| Sensitivity/pm/K | 81.18 | 81.15 | 81.15 |
Publisher’s Note: MDPI stays neutral with regard to jurisdictional claims in published maps and institutional affiliations. |
© 2022 by the authors. Licensee MDPI, Basel, Switzerland. This article is an open access article distributed under the terms and conditions of the Creative Commons Attribution (CC BY) license (https://creativecommons.org/licenses/by/4.0/).
Share and Cite
Briant, T.; Krenek, S.; Cupertino, A.; Loubar, F.; Braive, R.; Weituschat, L.; Ramos, D.; Martin, M.J.; Postigo, P.A.; Casas, A.; et al. Photonic and Optomechanical Thermometry. Optics 2022, 3, 159-176. https://doi.org/10.3390/opt3020017
Briant T, Krenek S, Cupertino A, Loubar F, Braive R, Weituschat L, Ramos D, Martin MJ, Postigo PA, Casas A, et al. Photonic and Optomechanical Thermometry. Optics. 2022; 3(2):159-176. https://doi.org/10.3390/opt3020017
Chicago/Turabian StyleBriant, Tristan, Stephan Krenek, Andrea Cupertino, Ferhat Loubar, Rémy Braive, Lukas Weituschat, Daniel Ramos, Maria Jose Martin, Pablo A. Postigo, Alberto Casas, and et al. 2022. "Photonic and Optomechanical Thermometry" Optics 3, no. 2: 159-176. https://doi.org/10.3390/opt3020017
APA StyleBriant, T., Krenek, S., Cupertino, A., Loubar, F., Braive, R., Weituschat, L., Ramos, D., Martin, M. J., Postigo, P. A., Casas, A., Eisermann, R., Schmid, D., Tabandeh, S., Hahtela, O., Pourjamal, S., Kozlova, O., Kroker, S., Dickmann, W., Zimmermann, L., ... Briaudeau, S. (2022). Photonic and Optomechanical Thermometry. Optics, 3(2), 159-176. https://doi.org/10.3390/opt3020017

